Исследование применимости инфракрасных пикосекундных лазерных импульсов для микродиссекции блестящей оболочки эмбриона мыши
- Authors: Ситников Д.С.1, Мухдина Д.Е.1, Овчинников М.А.1
-
Affiliations:
- ФГБУН Объединенный институт высоких температур РАН (ОИВТ РАН)
- Issue: Vol 62, No 3 (2024)
- Pages: 450-457
- Section: New energy and modern technologies
- URL: https://bakhtiniada.ru/0040-3644/article/view/276030
- DOI: https://doi.org/10.31857/S0040364424030141
- ID: 276030
Cite item
Full Text
Abstract
В работе диссекция оболочки эмбриона мыши осуществлялась с использованием пикосекундных лазерных импульсов инфракрасного диапазона спектра (длина волны излучения – 1028 нм, длительность – 25 ± 5 пс, частота следования импульсов – 2.5 кГц). С помощью оптической микроскопии исследовалась зависимость ширины надреза D, формируемого лазерным излучением на блестящей оболочке эмбриона, от энергии E лазерных импульсов и скорости υ перемещения луча. Выполнено сравнение полученных значений с результатами микрохирургии импульсами фемтосекундной длительности (1028 нм, 280 фс). Показано, что применение как фемто-, так и пикосекундных лазерных импульсов для микрохирургии блестящей оболочки эмбриона позволяет получить надрез, ширина которого меньше геометрического размера сфокусированных лазерных пучков. При этом диссекция пикосекундными импульсами возможна лишь при существенно меньшей скорости перемещения лазерного пучка (в 20 и более раз), что увеличивает время, затрачиваемое на процедуру. Применение пикосекундных лазерных импульсов не выявило каких-либо преимуществ перед фемтосекундными.
Full Text
Введение
История применения пикосекундных лазеров в биологии и медицине насчитывает несколько десятилетий. Примером успешного применения рассматриваемых лазерных источников на тканевом уровне является косметология. Взаимодействие лазерного излучения с тканями включает ряд процессов, таких как фотомеханический (фотоакустический) и фотохимический эффекты, а также фотобиомодуляцию (биостимуляцию) [1]. Первый обусловлен сверхбыстрым повышением температуры и давления в результате поглощения излучения хромофором ткани, что приводит к созданию мощной акустической ударной волны и возникновению растягивающих напряжений, превышающих порог разрушения ткани [2]. Фотохимический эффект обусловливается запуском химических реакций, приводящих к разрыву химических связей между молекулами и разрушению ткани. Фотобиомодуляция [3] нацелена на доставку энергии к митохондриям, изменение проницаемости клеточных мембран, стимулирование фибробластов к синтезу большего количества коллагена и эластина или на регулирование путей передачи клеточного сигнала для повышения или понижения экспрессии определенных генов. Преимущество пикосекундных импульсов заключается в способности индуцировать фотоакустическое разрушение [4, 5] (в отличие от наносекундного фототермолиза) и отсутствии термического повреждения окружающих тканей [5]. Детальный обзор и описание современных подходов в косметической дерматологии можно найти в [1, 2, 6, 7].
На клеточном уровне ситуация меняется кардинальным образом. Несмотря на наличие успешных примеров применения пикосекундных лазерных импульсов, количество исследований с их использованием на порядки меньше. Использование пикосекундных лазерных источников для оптопорации клеток растений [8] явилось результатом эволюции лазерных источников и послужило переходным методом от ультрафиолетового наносекундного [9, 10] воздействия для перфорации плазматической мембраны клеток. Однако количество публикаций, выданных по запросу «фемтосекундный» и «оптопорация» системами PubMed и Google Scholar, свидетельствует о безоговорочной победе фемтосекундных лазеров при решении указанной задачи. Больших результатов удалось достичь в области нанохирургии клетки, например, в задачах пикосекундной абляции микротрубочек митотического веретена [11], а также энуклеации клеточных ядер [12, 13]. Сводную таблицу лазерных источников, успешно примененных для нанохирургии клеток, можно найти в работе [14] (гл. 8, табл. 2). Попытка применения пикосекундных импульсов в такой области, как биология развития, увенчалась успехом при решении задачи слияния бластомеров в эмбрионах мыши на преимплантационной стадии [15]. Авторы добились слияния двух и даже трех бластомеров в четырехклеточном эмбрионе мыши без нарушения его целостности и жизнеспособности.
Совокупность рассмотренных выше работ является прекрасной демонстрацией деликатности пикосекундного лазерного воздействия и возможности решения задач микрохирургии на клеточном и субклеточном уровнях. Вместе с тем авторам не удалось найти исследований по применению пикосекундных импульсов для воздействия на блестящую оболочку самого эмбриона, например, для ее диссекции. Важнейшим этапом развития, необходимым для имплантации эмбриона в эндометрий матки, является его хетчинг (от англ. hatching – вылупление), т.е. высвобождение эмбриона из блестящей оболочки (zona pellucida, ZP). В клиниках репродуктивной медицины применяется технология вспомогательного хетчинга, когда целостность оболочки эмбриона нарушается искусственным образом (либо химически, либо механически, либо с помощью лазерного излучения). В последние годы наиболее распространенным и успешным методом микрохирургии ZP стал вспомогательный лазерный хетчинг (ВЛХ), предложенный более 30 лет назад [16], с использованием инфракрасных лазерных диссекторов миллисекундной длительности. Альтернативой им могут выступать фемтосекундные диссекторы, неприменяемые пока в клинической практике, но продемонстрировавшие ряд преимуществ в научных исследованиях. Фемтосекундные импульсы [17], в отличие от миллисекундных [18], не приводят к нагреву в области воздействия до нескольких сотен градусов при микрохирургии блестящей оболочки, а также позволяют достичь ширины надреза ZP ≤1 мкм [19] при бесконтактной фемтосекундной лазерной маркировке эмбрионов [20].
Как отмечено выше, пикосекундные лазерные импульсы для диссекции блестящей оболочки эмбриона ранее не применялись и исследование данной возможности представляет интерес как с научной, так и с практической точек зрения. Длительность пикосекундных импульсов достаточно коротка для реализации нелинейных механизмов поглощения излучения (например, многофотонного поглощения и лавинной ионизации) в водной среде [21, 22], что открывает перспективы локализации области взаимодействия в пределах геометрических размеров сфокусированного лазерного пучка. Целью настоящего исследования является проверка применимости пикосекундных импульсов для диссекции блестящей оболочки эмбриона млекопитающих на примере эмбриона мыши в рамках вспомогательных репродуктивных технологий. Рассмотрена возможность повторения успеха пикосекундных лазеров, достигнутого в области эстетических услуг, при решении задач репродуктивной медицины.
Экспериментальная установка
Микрохирургия эмбрионов выполнялась на установке «фемтосекундный лазерный скальпель – оптический пинцет», представленной на рис. 1 [23, 24]. В качестве лазерного скальпеля использовалось излучение фемтосекундного лазера ТЕТА (ООО «Авеста Проект»). Данный лазерный источник построен по принципу усиления чирпированных импульсов. Согласно этому принципу, широкополосный импульс растягивается по времени в дисперсионной оптической системе (узел стретчера) перед процессом усиления (узел регенеративного усилителя) с последующим сжатием импульса оптической системой с обратной дисперсией (узел временного компрессора). Импульсы излучения длительностью 25 ± 5 пс (по данным производителя) были выведены из корпуса лазера в обход блока временного компрессора. Центральная длина волны излучения составила λ = 1028 нм, частота следования импульсов f ≤ 2.5 кГц, энергия E ≤ 400 мкДж. Другое отличие от установки, использованной в предыдущих исследованиях [23–25], состояло в использовании излучения на основной частоте против второй гармоники (λ = 514 нм). В остальном схема установки [26] изменений не претерпела. Узел поляризационного ослабителя, состоящий из полуволновой пластинки и призменного поляризатора, служил для регулировки энергии лазерных импульсов, контролируемой с помощью фотодиода DET36A2 (Thorlabs Inc.). Лазерное излучение заводилось в правый боковой порт инвертированного микроскопа Olympus IX–71 и фокусировалось микрообъективом 20×UPlanFL (Olympus) с числовой апертурой NA = 0.5. Узел телескопа, установленный на пути лазерного излучения до заведения в микроскоп, служил для согласования диаметра лазерного пучка с апертурой микрообъектива. Вторая функция телескопа заключалась в регулировке расходимости лазерного излучения за счет изменения расстояния между линзами. Для калибровки амплитуды сигнала фотодиода на предметный столик микроскопа SCAN IM 120×80 (Märzhäuser Wetzlar) устанавливался измеритель мощности, регистрирующий лазерное излучение на выходе микрообъектива. Измеритель состоял из фотодиодного детектора S120VC и консоли PM100D (Thorlabs Inc.).
Рис. 1. Схема экспериментальной установки: 1 – пикосекундный лазер; 2 – узел ослабления лазерного излучения; 3 – стеклянная пластина; 4 – фотодиод; 5 – узел телескопа; 6 – механический прерыватель лазерного излучения; 7, 8 – зеркала на длину волны лазерного излучения; 9 – микрообъектив; 10 – моторизованный предметный столик; 11 – чашка Петри с эмбрионами; 12 – конденсор микроскопа; 13 – осветитель; 14 – видеокамера; 15 – инвертированный микроскоп.
Для микрохирургии эмбрионов использовались специальные чашки Петри со стеклянным дном (кат. № 200350, SPL Lifesciences). Капля питательной среды с эмбрионами на дне чашки была покрыта слоем минерального масла, препятствовавшего испарению. Сфокусированный лазерный луч оставался неподвижен, диссекция эмбрионов осуществлялась посредством их перемещения с помощью моторизованного предметного столика по заданной траектории. Плоскость перетяжки лазерного пучка совмещалась с «экваториальной» плоскостью – плоскостью максимального сечения эмбриона. Изображение эмбриона регистрировалось КМОП–камерой (КМОП – комплементарная структура на транзисторах металл–оксид–полупроводник) DFK 72AUC02 (The Imaging Source).
Для автоматизации процедуры микрохирургии использовалось программное обеспечение, написанное в среде LabView (National Instruments), позволявшее оператору управлять такими параметрами, как энергия, частота следования импульсов и расходимость лазерного излучения, а также задавать траекторию движения лазерного луча поверх изображения эмбриона, регистрируемого КМОП-камерой. Включение/выключение лазерного излучения, синхронизованное с движением моторизованного предметного столика, управлялось программным обеспечением.
Оценка размера лазерного пучка
Пространственное распределение плотности энергии лазерного импульса в плоскости перетяжки сфокусированного пучка определяется функцией Гаусса
(1)
где E – энергия лазерного импульса, r0 – радиус перетяжки лазерного пучка по уровню 1/e, r – радиальная координата. Когда плотность энергии F превышает пороговое значение абляции материала Fabl, происходит унос материала мишени с последующим формированием кратера радиусом rabl. Квадрат радиуса кратера абляции связан с энергией лазерного импульса уравнением линейной регрессии по переменной ln(E) [27]:
Значение r0 и пороговую плотность энергии абляции материала мишени Fabl можно определить, измерив размеры кратеров rabl для серии лазерных импульсов с различной энергией E и вычислив коэффициенты регрессии α1 = и α2 = . В отличие от исследования с использованием инфракрасных фемтосекундных лазерных импульсов [26], в настоящей работе вместо образца монокристаллического арсенида галлия в качестве мишени была взята тонкопленочная мишень меди на стеклянной подложке. Порог абляции Fabl меди выше, что позволило выполнить измерения размера кратера при больших значениях энергии лазерных импульсов и меньшем превышении плотности энергии лазерного импульса порога абляции Fabl (оптимальным считается соотношение F0 /Fabl ≤ 10).
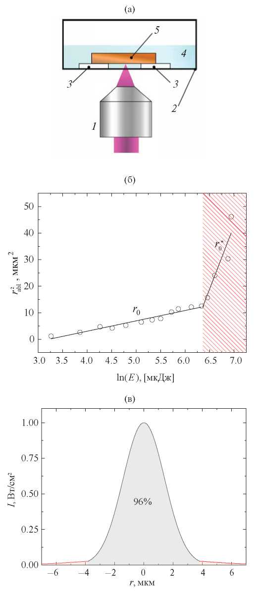
Микрохирургия блестящей оболочки эмбриона осуществлялась в культуральной среде на водной основе. Поэтому значение r0 лазерного пучка также было определено в водной среде. Медная мишень, установленная на дне чашки Петри (рис. 2а) на проставки-спейсеры толщиной ~100 мкм, была покрыта дистиллированной водой, показатель преломления которой слабо отличался от показателя культуральной среды для эмбрионов (1.333 против 1.336). Далее осуществлялась настройка микрообъектива для достижения резкого изображения поверхности мишени на экране персонального компьютера.
Рис. 2. Измерение размера лазерного пятна: (а) – мишенный узел: 1 – микрообъектив, 2 – чашка Петри со стеклянным дном, 3 – проставки, 4 – вода, 5 – мишень из Cu; (б) – зависимость квадрата размера кратера r 2abl от логарифма энергии ln(E): маркеры – экспериментальные данные, прямые – линейная аппроксимация; (в) – пространственное распределение интенсивности излучения.
Полученная зависимость размера кратера абляции от энергии лазерных импульсов вида представлена на рис. 2б. Размер лазерного пучка, вычисленный на основе коэффициентов регрессии, составил r0 = 2.1 мкм. Начиная с определенного значения энергии E > 560 нДж, наклон зависимостей увеличивался. На практике это означает следующее. Чем больше энергия лазерного импульса, тем на большем расстоянии от оптической оси происходит превышение плотности энергии порога абляции материала мишени и тем шире формируется кратер на поверхности мишени согласно уравнению (1). Изменение угла наклона на рис. 2б (заштрихованная область) свидетельствует о том, что пространственное распределение энергии на периферии пучка подчиняется другому закону с новым значением параметра r*0 = 5.4 мкм. Наличие подобного распределения на периферии лазерного пучка (в данном случае при r > 3.5 мкм) является следствием аберраций лазерного луча, однако доля энергии в периферийной области не превышала 4% от энергии импульса (рис. 2в).
Объект исследования
Объектом исследования в настоящей работе являлись эмбрионы мыши, остановившиеся в развитии (от четырехклеточной стадии до морулы) и оказавшиеся непригодными для исследований [28] на стадии бластоцисты (отбраковка). Процесс подготовки эмбрионов был стандартным, подробности можно найти в работе [29]. Морфология эмбрионов обеспечивала достаточно большое расстояние (около 10–15 мкм) между клетками эмбриона и его оболочкой, облегчая проведение микрохирургических процедур.
Результаты и обсуждение
По аналогии с работой [26] диссекция блестящей оболочки осуществлялась с применением последовательности лазерных импульсов при линейном перемещении эмбриона относительно лазерного луча с заданной скоростью υ в радиальном направлении от внешней границы блестящей оболочки эмбриона к внутренней. В опубликованных ранее работах по микрохирургии блестящей оболочки эмбриона с использованием импульсов фемтосекундной длительности [19, 20, 29] значение скорости υ = 0.01 мм/с было выбрано с учетом следующих соображений: минимизация времени, затрачиваемого на процедуру, и отсутствие больших ускорений при перемещении эмбриона. При исследовании зависимости ширины надреза от энергии инфракрасных лазерных импульсов [26] номинальное значение υ = 0.01 мм/с было дополнено измерениями как при меньших (υ = 0.0025 мм/с), так и больших (υ = 0.05 мм/с) значениях скорости.
Применение пикосекундного лазерного источника для задач микрохирургии имело свои особенности. Так, обнаружено, что при выбранном ранее номинальном значении скорости перемещения луча υ = 0.01 мм/с формирования надреза на блестящей оболочке эмбриона не происходило даже при максимальной энергии лазерных импульсов. Максимально допустимой в эксперименте считалась энергия, не вызывающая оптического пробоя среды (E < 1.2 мкДж). Лазерно-индуцированный оптический пробой представляет собой процесс нелинейного поглощения, приводящий к формированию плазмы [30]. Последний сопровождается генерацией ударной волны и кавитацией, что в ряде случаев способствует достижению желаемого эффекта, например, при лазерной литотрипсии или процедурах, направленных на омоложение кожи [31].
Интенсивность в перетяжке лазерного луча Ith = 0.36 ± 0.08 ТВт/см2, при которой в среде наблюдался оптический пробой при микрохирургии эмбрионов, коррелирует со значением 0.4 ТВт/см2 (оценено по приведенным значениям параметра импульса: λ = 1064 нм, τ = 30 пс, r0 = 5.8 мкм по уровню 1/е2, E = 7 мкДж) [32], а также с 0.45 ± 0.11 ТВт/см2 – экспериментальным значением в дистиллированной воде, осредненным для различных размеров r0 лазерного луча [33]. Согласно оценкам [32], скорость движения фронта ударной волны при пробое может достигать нескольких км/с, а давление – единиц ГПа. Если в ходе эксперимента пробой происходил на границе эмбрион/водная среда, ударная волна отбрасывала эмбрион в сторону на расстояние ~50 мкм. При пробое в толще блестящей оболочки происходило разрушение мембраны клеток эмбриона, прилегающих к оболочке изнутри, и их вытекание (рис. 3а), что свидетельствовало о непригодности выбранных параметров воздействия. Для определения ширины надреза строился профиль сечения его изображения (перпендикулярно надрезу), который представлял собой зависимость яркости от пространственной координаты. Методика оценки ширины надреза подробно изложена в работе [26]. При определении ширины выполненного надреза D осуществлялось осреднение измерений по 50 сечениям, обозначенным прямоугольником на рис. 3б.
Рис. 3. Микрофотографии эмбриона после оптического пробоя в ZP (а) и фрагмента блестящей оболочки эмбриона (б) после выполнения микрохирургии (υ = 0.0005 мм/с, f = 2.5 кГц); Emin = 0.3 мкДж, Emax = 1.17 мкДж, масштаб – 25 мкм, прямоугольником отмечена область для построения профилей сечения; (в) – зависимость (2) квадрата ширины надреза D 2 от логарифма энергии пикосекундных лазерных импульсов ln(E).
В результате проведения серии пробных экспериментов установлено, что при энергии лазерных импульсов E = 1.17 мкДж формирование надрезов возможно для значений скорости υ ≤ 0.001 мм/с. Зависимость ширины надреза от энергии лазерных импульсов D(E) исследовалась при скорости υ = 0.0005 мм/с. Как и для фемтосекундных импульсов, экспериментальные значения хорошо аппроксимировались зависимостью вида (рис. 3в)
D2(E) = α1 – α2ln(E), (2)
где значения коэффициентов при υ = 0.005 мм/с составили α1= – 15.5, α2 = 2.95.
Надрезы на блестящей оболочке становились видимыми при достижении энергией лазерных импульсов определенного значения Emin, которое тем меньше, чем ниже скорость перемещения луча υ. Максимально допустимые значения Emax определялись интенсивностью лазерных импульсов, вызывающих оптический пробой водной среды. В предыдущих исследованиях было отмечено, что для фемтосекундных импульсов видимого диапазона (λ = 514 нм) соотношение Emax/Emin составляло ~3 [20], а для инфракрасных импульсов (λ = 1028 нм) – Emax/Emin ≈ 1.5 [26] при одинаковой скорости υ = 0.01 мм/с, что объяснялось меньшей энергией кванта излучения на длине волны 1028 нм. При снижении скорости в пять раз (до υ = 0.002 мм/с) диапазон энергий ИК-импульсов расширялся до Emax/Emin ≈ 2 [26]. В настоящей работе для инфракрасных импульсов пикосекундной длительности диапазон значений составил Emax/Emin ≈ 3.3, что, вероятно, обусловлено меньшей скоростью перемещения (υ = 0. 0005 мм/с), при которой оценивалась зависимость D(E).
Ширина надреза определяется совокупностью параметров, включающих скорость υ перемещения лазерного пучка, радиус его перетяжки r0, а также частоту следования импульсов f, определяющих их пространственное перекрытие при перемещении лазерного пучка по траектории D ~Er0 f /υ. Для определения диапазона значений параметров пикосекундных лазерных импульсов, пригодных для диссекции блестящей оболочки эмбриона, проведена серия экспериментов при различных υ, фиксированной частоте импульсов f = 2.5 кГц и заданной энергии E = 1.17 мкДж. Зависимость ширины надреза от скорости перемещения D(υ) исследовалась в диапазоне 0.0001 ≤ υ ≤ 0.001 мм/с (закрашенные маркеры на рис. 4). Значения D(υ) и D(Eps) демонстрируют согласие с точностью ~ 0.2 мкм (индекс ps на рис. 4 относится к энергиям импульсов пикосекундной длительности, fs – фемтосекундной). Пунктирная линия – аппроксимация экспериментальных значений D(υ) уравнением линейной регрессии по переменной lg(υ):
D(υ) = β1 – β2lg(υ).
Значения коэффициентов составили β1 = = – 3.35 и β2 = –1.67.
Рис. 4. Зависимость ширины надреза блестящей оболочки от скорости лазерного пучка D(υ) при f = 2.5 кГц: 1 – D(υ), воздействие при Eps= 1174 нДж; 2 – D(Eps*) при υ = 0.0005 мм/с, Eps* = 307, 353, 390, 501, 680, 819, 1005, 1174 нДж; 3 – D(υ), Efs = 174 нДж, данные [26], 4 – D(Efs**) при υ = 0.01 мм/с, Efs** = = 152, 159, 167, 174, 189 нДж [26].
Анализ ширины формируемого надреза с использованием пикосекундных лазерных импульсов (λ = 1028 нм, τ = 25 ± 5 пс, r0 = 2.1 мкм) удобно проводить в сравнении с результатами диссекции блестящей оболочки импульсами фемтосекундной длительности (λ = 1028 нм, τ = 280 фс, r0=1.6 мкм) [26], также представленными на рис. 4. Минимальная ширина надреза D при воздействии лазерного излучения составляет ~1 мкм для пикосекундных и ~0.8 мкм для фемтосекундных импульсов. Различия в минимальных значениях D предположительно обусловлены разницей в размере перетяжки сфокусированных пучков r0. Можно сделать вывод, что применение как фемто-, так и пикосекундных лазерных импульсов для микрохирургии блестящей оболочки эмбриона позволяет получить надрез шириной меньше геометрического размера самих лазерных пучков.
Существенное различие в оказываемом воздействии импульсов рассматриваемых длительностей заключается в допустимой скорости перемещения лазерного пучка. Значения υ > 0.002 мм/с оказались непригодными для микрохирургии пикосекундными импульсами: для диссекции блестящей оболочки эмбриона требовалось перемещать лазерный пучок со скоростью примерно в 20 раз медленнее, чем при использовании фемтосекундных импульсов. Максимальная скорость υ = 0.002 мм/с оказывалась достижимой только при значениях энергии лазерных импульсов, близких к порогу оптического пробоя, что увеличивало риск повреждения эмбриона.
Реализация процедуры вспомогательного лазерного хетчинга на установке «фемтосекундный лазерный скальпель – оптический пинцет» предполагает свободное расположение эмбриона на дне чашки Петри без необходимости использования микроманипуляторов с пипетками-присосками. Обратной стороной практикуемого бесконтактного подхода является возможность дрифта эмбриона, в отдельных случаях со скоростью до 0.002 мм/с. При использовании пикосекундных лазерных импульсов эти значения сопоставимы со скоростью движения лазерного луча. Данное обстоятельство делает невозможным микрохирургию оболочки без закрепления эмбриона в чашке Петри.
В заключение необходимо отметить еще один фактор – общее время, затрачиваемое на процедуру ВЛХ пикосекундными импульсами, увеличивается более чем на порядок по сравнению с фемтосекундными и может достигать 30–60 с. Совокупность перечисленных особенностей делает применение лазерных импульсов пикосекундной длительности более время- и трудозатратным и позволяет сделать вывод об отсутствии каких-либо преимуществ перед фемтосекундными лазерными импульсами, доказавшими свою эффективность в предыдущих исследованиях.
Заключение
В настоящей работе были впервые проведены экспериментальные исследования влияния параметров лазерного воздействия на ширину надреза, формируемого в блестящей оболочке при выполнении микрохирургии ZP эмбриона мыши инфракрасными лазерными импульсами пикосекундной длительности (λ = 1028 нм, τ = 25 ± 5 пс). Исследована зависимость ширины надреза как от энергии лазерных импульсов(308–1174 нДж) при заданной скорости перемещения лазерного луча υ = 0.0005 мм/с, так и от скорости (0.0001–0.002 мм/с) при максимально допустимой энергии лазерных импульсов E = 1174 нДж. Проведено сравнение полученных значений с результатами микрохирургии инфракрасными фемтосекундными импульсами (λ = 1028 нм, τ = 280 фс). Показано, что пикосекундные импульсы не имеют явных преимуществ перед фемтосекундными, и их применение для микрохирургии блестящей оболочки представляется нецелесообразным.
Авторы выражают благодарность коллегам из Института биологии гена Российской академии наук М.А. Филатову и Ю.Ю. Силаевой и УНУ Трансгенбанк за предоставленный объект исследования.
Исследование выполнено при финансовой поддержке Министерства образования и науки РФ в рамках госзадания № 075-00270-24-00 на оборудовании УНУ «Лазерный тераваттный фемтосекундный комплекс», входящем в состав ЦКП «Лазерный фемтосекундный комплекс» ОИВТ РАН.
Соблюдение этических стандартов. Исследование одобрено этическим комитетом ИБГ РАН (протокол № 1 от 26 сентября 2023 г. ) и проведено в строгом соответствии с положениями Директивы 2010/63/EU Европейского Парламента и Совета Европейского Союза от 22 сентября 2010 г. по охране животных, используемых в научных целях.
About the authors
Д. С. Ситников
ФГБУН Объединенный институт высоких температур РАН (ОИВТ РАН)
Author for correspondence.
Email: Sitnik.ds@gmail.com
Russian Federation, Москва
Д. Е. Мухдина
ФГБУН Объединенный институт высоких температур РАН (ОИВТ РАН)
Email: Sitnik.ds@gmail.com
Russian Federation, Москва
М. А. Овчинников
ФГБУН Объединенный институт высоких температур РАН (ОИВТ РАН)
Email: Sitnik.ds@gmail.com
Russian Federation, Москва
References
- Zhou Y., Hamblin M.R., Wen X. An Update on Fractional Picosecond Laser Treatment: Histology and Clinical Applications // Lasers Med. Sci. 2023. V. 38. № 1. P. 45.
- Wu D.C., Goldman M.P., Wat H., Chan H.H.L. A Systematic Review of Picosecond Laser in Dermato- logy: Evidence and Recommendations // Lasers Surg. Med. 2021. V. 53. № 1. P. 9.
- Малиновская С.Л., Другова О.В., Борзиков В.В., Баврина А.П. Фотобиомодуляция как альтернативный подход к коррекции физиологически измененных состояний живой ткани // Медицинский альманах. 2019. Т. 4. № 69. С. 6.
- Kasai K. Picosecond Laser Treatment for Tattoos and Benign Cutaneous Pigmented Lesions (Secondary publication) // Laser Ther. 2017. V. 26. № 4. P. 274.
- Dong W., Wang N., Yuan X., Zhang W. Treatment of Pigmentary Disorders Using Picosecond Laser in Asian Patients: A Meta-analysis and Systematic Review // Dermatol. Ther. 2021. V. 34. P. e14709.
- Haykal D., Cartier H., Maire C., Mordon S. Picosecond Lasers in Cosmetic Dermatology: Where Are We Now? An Overview of Types and Indications // Lasers Med. Sci. 2023. V. 39. № 1. P. 8.
- Серая И.В., Мураков С.В. Применение лазерных аппаратов в эстетической косметологии и дерматологии // Клиническая дерматология и венерология. 2024. Т. 23. № 2. С. 206.
- Schinkel H., Jacobs P., Schillberg S., Wehner M. Infrared Picosecond Laser for Perforation of Single Plant Cells // Biotechnol. Bioeng. 2008. V. 99. № 1. P. 244.
- Guo Y., Liang H., Berns M. W. Laser-Mediated Gene Transfer in Rice // Physiol. Plant. 1995. V. 93. № 1. P. 19.
- Badr Y A., Kereim M.A., Yehia M.A., Fouad O.O., Bahieldin A. Production of Fertile Transgenic Wheat Plants by Laser Micropuncture // Photochem. Photobiol. Sci. 2005. V. 4. № 10. P. 803.
- Botvinick E.L., Venugopalan V., Shah J.V., Liaw L.H., Berns M.W. Controlled Ablation of Microtubules Using a Picosecond Laser // Biophys. J. Elsevier, 2004. V. 87. № 6. P. 4203.
- Raabe I., Vogel S.K., Peychl J., Tolić-Nørrelykke I.M. Intracellular Nanosurgery and Cell Enucleation Using a Picosecond Laser // J. Microsc. 2009. V. 234. № 1. P. 1.
- Karmenyan A.V., Shakhbazyan A.K., Sviridova-Chailakhyan T.A., Krivokharchenko A.S., Chiou A.E., Chailakhyan L.M. Use of Picosecond Infrared Laser for Micromanipulation of Early Mammalian Embryos // Mol. Reprod. Dev. 2009. V. 76. № 10. P. 975.
- Vegesna N. V. G., Ronchi P., Durdu S., Terjung S., Pepperkok R. Targeted Ablation Using Laser Nanosurgery. In: Light Microscopy: Methods and Protocols, Methods in Molecular Biology / Eds. Markaki Y., Harz H. N.Y. : Springer, 2017. V. 1563. P. 107.
- Krivokharchenko A., Karmenyan A., Sarkisov O., Bader M., Chiou A., Shakhbazyan A. Laser Fusion of Mouse Embryonic Cells and Intra-Embryonic Fusion of Blastomeres without Affecting the Embryo Integrity // PLoS One. 2012. V. 7. № 12. P. e50029.
- Tadir Y., Wright W.H., Vafa O., Liaw L.H., Asch R., Berns M.W. Micromanipulation of Gametes Using Laser Microbeams // Hum. Reprod. 1991. V. 6. № 7. P. 1011.
- Ситников Д.С., Ильина И.В., Пронкин А.А. Оценка теплового воздействия лазерных импульсов фемто- и миллисекундной длительности при выполнении микрохирургических процедур на эмбрионах млекопитающих // Квантовая электроника. 2022. Т. 52. № 5. С. 482.
- Douglas-Hamilton D.H., Conia J. Thermal Effects in Laser-assisted Pre-embryo Zona Drilling // J. Biomed. Opt. 2001. V. 6. № 2. P. 205.
- Ilina I.V., Khramova Y.V., Filatov M.A., Sitnikov D.S. Femtosecond Laser is Effective Tool for Zona Pellucida Engraving and Tagging of Preimplantation Mammalian Embryos // J. Assist. Reprod. Genet. 2019. V. 36. № 6. P. 1251.
- Ilina I.V., Khramova Y.V., Filatov M.A., Sitnikov D.S. Application of Femtosecond Laser Microsurgery in Assisted Reproductive Technologies for Preimplantation Embryo Tagging // Biomed. Opt. Express. 2019. V. 10. № 6. P. 2985.
- Vogel A., Venugopalan V. Mechanisms of Pulsed Laser Ablation of Biological Tissues // Chem. Rev. 2003. V. 103. № 2. P. 577.
- Vogel A., Noack J., Hüttman G., Paltauf G. Mechanisms of Femtosecond Laser Nanosurgery of Cells and Tissues // Appl. Phys. B. 2005. V. 81. № 8. P. 1015.
- Ilina I.V., Ovchinnikov A.V., Sitnikov D.S., Rakityanskiy M.M., Agranat M.B., Khramova Y.V., Semenova M.L. Application of Femtosecond Laser Pulses in Biomedical Cell Technologies // High Temp. 2013. V. 51. № 2. P. 173.
- Sitnikov D.S., Ovchinnikov A.V., Ilina I.V., Chefonov O.V., Agranat M.B. Laser Microsurgery of Cells by Femtosecond Laser Scalpel and Optical Tweezers // High Temp. 2014. V. 52. № 6. P. 803.
- Ситников Д.С., Ильина И.В., Филатов М.А., Силаева Ю.Ю. Исследование влияния микродиссекции блестящей оболочки эмбрионов млекопитающих на ее толщину // Вестн. РГМУ. 2023. Т. 1. № 1. С. 41.
- Ситников Д.С., Мухдина Д.Е., Филатовa М.А., Силаева Ю.Ю. Определение оптимальных параметров воздействия при микродиссекции блестящей оболочки эмбриона с помощью инфракрасных фемтосекундных лазерных импульсов // ТВТ. 2024. Т. 62. № 1. С. 121.
- Liu J. M. Simple Technique for Measurements of Pulsed Gaussian-beam Spot Sizes // Opt. Lett. 1982. V. 7. № 5. P. 196.
- Кубекина М.В., Филатов М.А., Силаева Ю.Ю., Ситников Д.С. Исследование теплового воздействия фемтосекундных лазерных импульсов на эмбрионы мыши в рамках процедуры вспомогательного хетчинга // Вестн. РГМУ. 2023. № 6. C. 76.
- Ilina I.V., Khramova Y.V., Ivanova A.D., Filatov M.A., Silaeva Y.Y., Deykin A.V., Sitnikov D.S. Controlled Hatching at the Prescribed Site Using Femtosecond Laser for Zona Pellucida Drilling at the Early Blastocyst Stage // J. Assist. Reprod. Genet. 2021. V. 38. № 2. P. 517.
- Noack J., Vogel A. Laser-induced Plasma Formation in Water at Nanosecond to Femtosecond Time Scales: Calculation of Thresholds, Absorption Coefficients, and Energy Density // IEEE J. Quantum Electron. 1999. V. 35. № 8. P. 1156.
- Habbema L., Verhagen R., Van Hal R., Liu Y., Varghese B. Efficacy of Minimally Invasive Nonthermal Laser-induced Optical Breakdown Technology for Skin Rejuvenation // Lasers Med. Sci. 2013. V. 28. № 3. P. 935.
- Vogel A., Busch S., Parlitz U. Shock Wave Emission and Cavitation Bubble Generation by Picosecond and Nanosecond Optical Breakdown in Water // J. Acoust. Soc. Am. 1996. V. 100. № 1. P. 148.
- Vogel A., Nahen K., Theisen D., Noack J. Plasma Formation in Water by Picosecond and Nanose- cond Nd:YAG Laser Pulses - Part I: Optical Breakdown at Threshold and Superthreshold Irradiance // IEEE J. Sel. Top. Quantum Electron. 1996. V. 2. № 4. P. 847.
Supplementary files






