Анализ механизмов воспламенения стехиометрической топливно-воздушной смеси
- Authors: Битюрин В.А.1, Бочаров А.Н.1, Добровольская А.С.1, Иванов П.П.1, Кузнецова Т.Н.1, Филимонова Е.А.1
-
Affiliations:
- Объединенный институт высоких температур РАН
- Issue: Vol 62, No 3 (2024)
- Pages: 414-424
- Section: Heat and Mass Transfer and Physical Gasdynamics
- URL: https://bakhtiniada.ru/0040-3644/article/view/276024
- DOI: https://doi.org/10.31857/S00403644240301
- ID: 276024
Cite item
Full Text
Abstract
В работе проведено сравнение различных механизмов активации стехиометрической смеси метана и воздуха в адиабатической элементарной ячейке постоянного объема в нуль-мерном приближении. Эволюция состава смеси от начального состояния описывается соответствующими уравнениями химической кинетики в рамках схемы с 224 реакциями для 32 компонентов, которая включает ионизованные компоненты окислителя и их зависимости от приведенного поля. В качестве базового механизма рассматривается активация треугольным импульсом тока длительностью 50 нс с амплитудами, обеспечивающими актуальный энерговклад для воспламенения смеси при начальных атмосферных условиях, т.е. порядка 1–2 МДж/м3. В качестве вариантов для сравнения рассмотрены идеализированные случаи процесса воспламенения, инициированные либо предварительным нагревом, либо частичной диссоциацией молекулярных компонентов окислителя. Отмечается определяющая роль как суммарного энерговклада, так и характерной мощности активации.
Full Text
Введение
Устойчивое воспламенение топливно-воз-душных смесей (рабочих тел) является важнейшим технологическим требованием для всех силовых установок, работающих на энергии топлива. Как правило, в термодинамическом цикле должен присутствовать элемент активации исходной топливно-воздушной смеси, который предопределяет переход смеси из исходного состояния в равновесное высокотемпературное, в котором рабочее тело может совершать полезную работу. Кроме того, важен и временной интервал этапа активации. Естественное требование эффективности активации подразумевает оценку необходимых энергетических затрат. В практических устройствах протекание термодинамического цикла извлечения полезной работы элементарного «заряда» топливно-воздушной смеси происходит в сложных пространственно-временных условиях. В этом случае процесс воспламенения не синхронизирован по различным точкам рабочего объема. Поэтому для количественного описания требуется привлечение сложных пространственно-временных моделей, которые и обеспечивают каждый раз необходимые характеристики для конкретных граничных и начальных условий.
Ключевыми элементами технологии использования топливно-воздушных смесей являются воспламенение и стабилизация горения. Для достижения первого часто применяются те или иные виды электрического разряда, например искровой разряд в свече зажигания двигателя внутреннего сгорания. Можно выделить три пути влияния разрядной плазмы на горение [1]: тепловой, кинетический и транспортный. В первом случае реакции горения ускоряются при нагреве смеси, во втором – высокоэнергетические электроны и ионы приводят к появлению активных радикалов, которые меняют кинетический механизм горения (например, ускоряют низкотемпературную стадию горения), и в третьем – меняется скорость диффузии топлива при разложении крупных молекул. Несмотря на большое количество исследований плазменно-стимулированного горения, количественное или даже полное качественное понимание механизмов влияния плазмы на трансформацию топливно-воздушной смеси не достигнуто. Таким образом, постановка экспериментов, в том числе численных, позволяющих прояснить механизмы воздействия плазмы на горение, очень важна для понимания фундаментальных свойств плазменно-стимулированного горения.
В последние годы для решения технологических задач ускорения воспламенения и стабилизации горения стали рассматриваться и импульсные разряды наносекундного диапазона. Анализу физико-химических характеристик таких разрядов в топливно-воздушных смесях посвящено большое количество исследований (см., например, [2–6] и ссылки в них). В работе [2] представлен анализ статических состояний топливно-воздушной смеси в зависимости от приведенного электрического поля, а также распределений вкладываемой энергии по степеням свободы.
Влияние наносекундного импульсно-периодического коронного разряда на воспламенение с учетом кинетических особенностей смеси представлено в [7, 8], а на распространение волны горения в цилиндре двигателя внутреннего сгорания – в [9]. В данных работах было показано значительное влияние высокочастотного коронного разряда на воспламенение и режим распространения волны горения в компрессионном двигателе, которое объясняется стимуляцией кинетического механизма окисления при низких и промежуточных температурах и зависит от удельного энерговклада в стримерный канал и момента инициации разряда относительно верхней мертвой точки.
В [8] представлены результаты моделирования, которые показывают чувствительность процесса воспламенения, инициированного высокочастотным коронным разрядом в камере сгорания, к наличию химически активных частиц, температуре подогрева газа во входном тракте и к коэффициенту избытка топлива. Приведено сравнение равновесного воздействия разряда, когда предполагается, что вся энергия разряда идет на нагрев газа, с неравновесным воздействием разряда, когда такая же энергия идет на наработку химически активных частиц электронным ударом и дополнительный нагрев газа. Воздействие разряда описывается опосредованно через формализм фактора G, вычисляемого независимо во внешней задаче для того или иного типа разряда в смеси. Фактор G определяет эффективность наработки химически активных частиц электронным ударом при фиксированном значении приведенного электрического поля.
Данная работа, примыкающая к [7–9], представляет первый этап исследования процессов воспламенения топливно-воздушных смесей электрическими разрядами разных типов. Основной особенностью этого цикла исследований является использование самосогласованных моделей формирования плазмы в конкретных химически реагирующих смесях, процессов конвективного и диффузионно-дрейфового переноса в различных начальных и граничных условиях. Первый опыт решения подобной многофакторной задачи активации окислителя комбинированным наносекундным разрядом в конфигурации острие – острие [10] показал целесообразность проведения предварительного анализа в локально нульмерной постановке для определения основных особенностей воздействия собственно электрического разряда на воспламенение топливно-воздушной смеси. Основной особенностью этого этапа является использование в рамках общей постановки задачи специальных граничных и начальных условий для обеспечения нульмерного характера детально разрешенного во времени процесса эволюции химического состава топливно-воздушной смеси от начала активации до достижения стационарного состояния продуктов сгорания. В определенном смысле, этот этап концептуально близок к подходу работы [2]. Нульмерный характер постановки существенно упрощает проведение широкомасштабного параметрического исследования на примере практически значимой метан-воздушной смеси.
Постановка задачи
В качестве основного механизма активации топливно-воздушной смеси рассматривается импульсный электрический разряд, мощности и интегрального энерговклада которого достаточно для инициации интенсивных химических реакций для перехода исходной смеси химически неравновесного состава в продукты сгорания равновесного состава. Как правило, в качестве начального объекта исследования приводится топливно-воздушная смесь при атмосферных условиях (300 К и 100 кПа). После того или иного шага активации процесс протекает в постоянном адиабатическом объеме. Все стадии перехода из начального состояния при атмосферных условиях в конечное равновесное состояние продуктов сгорания описываются в рамках пакета PlasmAero [11] и системы реакций химической кинетики окисления углеводородов в воздухе [7], редуцированной до 121 реакции для 24 компонентов, которая дополнена несколькими «полевыми» реакциями с участием заряженных компонентов с прямой функциональной зависимостью от приведенного электрического поля (см., например, [12–14]). Полная система включает 224 реакции для 32 компонентов. Возникающая газоразрядная плазма в силу принятых предположений строго нейтральна. Этот подход был использован ранее в [10, 11].
В целях упрощения анализа роли различных локальных механизмов воспламенения в данной работе рассматривается термохимическая эволюция однородной стехиометрической смеси топлива (метана и воздуха) при нормальных начальных условиях в элементарном постоянном адиабатическом объеме, схематически представленном на рис. 1.
Рис. 1. Схема области решения и внешних воздействий.
Основным фактором воздействия является треугольный импульс тока с линейным нарастанием электрического тока от нуля до амплитудного значения и мгновенным отключением после максимума. Длительность импульса и его амплитуда – суть управляющие параметры, которые определяют максимальную мощность и суммарный энерговклад. В данной постановке какие-либо приэлектродные эффекты, волны ионизации, фотоионизация и прочие сторонние факторы воздействия не рассматриваются. Для начала прохождения тока задается малая начальная концентрация электронов (и ионов) на уровне 106 м–3.
В качестве механизмов активации рассматриваются три типа воздействия: 1) обработка однородным треугольным импульсом тока, 2) создание частичной сверхравновесной диссоциации кислорода и/или азота, 3) предварительный нагрев (или сжатие). Электрический разряд в различных конфигурациях давно используется в разнообразных технологических процессах воспламенения и горения и, строго говоря, включает в себя в той или иной комбинации как прямой нагрев по механизму джоулевой диссипации, так и вклад энергии во «внутренние» непоступательные степени свободы рабочего тела (диссоциация при этом является одной из многих возможностей). Предположение об однородности рассматриваемого объема является важнейшим элементом используемой физико-химической модели, поскольку в этом случае исчезает необходимость включать эффекты объемного электрического заряда, возникновение которых неизбежно при рассмотрении импульсных электрических разрядов нано- и микросекундных диапазонов. Интегральный энерговклад в электроразрядном процессе определялся интегрированием мощности энерговклада по времени действия, во втором, «химическом», – суммарной энергией диссоциации молекул (или суммарной начальной энтальпией образования атомарных компонентов N или O), в третьем, тепловом, – по изменению суммарной энтальпии.
При анализе полученных результатов также применялись термодинамические расчеты равновесных состояний [15, 16] с использованием полной базы данных ИВТАНТЕРМО [17].
Результаты
Активация окислителя импульсным электрическим разрядом.
Рассматривается эволюция топливно-воздушной смеси от начального состояния при атмосферных температуре и давлении в постоянном адиабатическом объеме 1 × 1 × 1000 мм3 под воздействием треугольного импульса тока длительностью 10, 50 нс и 50 мкс. Амплитуда импульса варьировалась для каждой длительности в интервалах, обеспечивающих актуальный диапазон интегрального энерговклада ~1 МДж/м3, при котором достигается фаза воспламенения на временах, меньших 1 с. Для импульса длительностью 50 нс, например, этот интервал лежит между 5 и 30 кА/м. Далее в качестве начального состава топливно-воздушной смеси, как правило, рассматривается смесь со следующими концентрациями: ZN2 = 0.79, ZО2 = 0.21, ZСH4 = 0.105. Для обеспечения начального «подхвата» тока вводятся начальные концентрации электронов Ze = 5 × 10–18 и соответствующих ионов ZN2+ = ZN+ = ZO2+ = ZO+ = ZNO+ = 10–18. На рис. 2 приведена структура импульса в линейной и логарифмической шкалах по времени (использование логарифмической шкалы обусловлено широким диапазоном изменения величин и их важностью на границах интервала).
Рис. 2. Структура треугольного импульса разряда длительностью 50 нс: 1 – суммарный ток, 2 – напряжение на промежутке размером 1 мм, 3 – суммарная мощность.
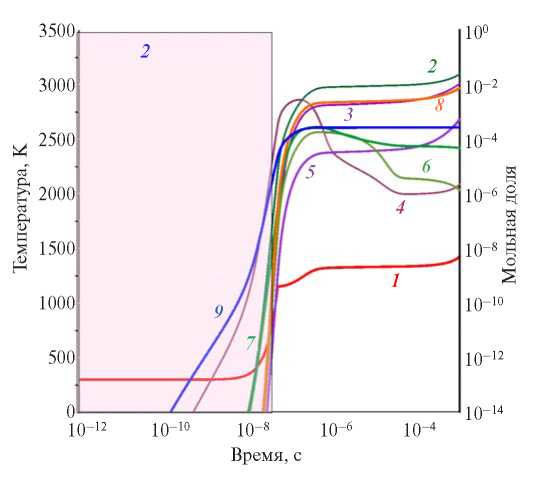
На рис. 3 для того же импульса представлен типичный случай «стадийной» эволюции основных компонентов топливно-воздушной смеси во всем рассматриваемом временном интервале от начального момента 10–13 с до достижения практически равновесного состава продуктов сгорания. Видно, что на первой стадии – стадии активации – мольные доли основных активных компонентов – атомарных азота и кислорода – достигают максимальных значений как раз в конце действия электрического разряда при t = 50 нс. При этом температура рабочего тела приближается к значениям из диапазона термической активации рассматриваемого состава топливно-воздушной смеси в окрестности 900–1200 К лишь в самом конце периода энерговклада. На последующих стадиях полная энергия (в этой постановке и энтальпия) остается неизменной. При достаточном уровне энерговклада (и только при этом условии!), который всегда характеризуется суммарным вкладом энергии и длительностью действия, система проходит три последовательные стадии: I – частичной термализации наиболее высоких энергетических состояний в поступательные степени свободы, II – близкой к изотермической химической конверсии промежуточных углеводородов, которая затем обеспечивает III – практически мгновенный (в масштабе всех прочих стадий) скачок параметров к значениям, характеризующим равновесное состояние продуктов сгорания (горение). Длительность стадии конверсии (углеводородов) определяется, как это видно, например, из рис. 3, уровнем температуры, достигнутым на предыдущих стадиях. В качестве количественного критерия эффективности активации обычно используется время индукции, которое здесь определяется как время задержки воспламенения по отношению к моменту завершения активирующего энерговклада. Для коротких, наносекундных, интервалов активации можно с хорошей точностью оценивать время индукции по моменту воспламенения, отсчитываемому от начала процесса.
Рис. 3. Эволюция температуры (1), вложенной энергии (2) и состава метано-воздушной смеси, активированной треугольным импульсом (50 нс, 24 кА/м), в логарифмических координатах: 3 – мольная доля CH4, 4 – e, 5 – O, 6 – H, 7 – N, 8 – H2O, 9 – CO, 10 – OH.
Воздействие электрического разряда на среду в данной постановке определяется двумя параметрами: вложенной энергией и мощностью. Нетрудно видеть, что вложенная энергия определяет на этапе активации поступательную температуру, в то время как мощность, которая тесно связана с мгновенным значением электрического поля, определяет заселенность неравновесных высокоэнергетических состояний (ионизация, возбуждение, диссоциация и т.д.). В использованной здесь кинетической схеме степень возбуждения практически учитывается лишь опосредованно через температурные зависимости теплоемкостей от поступательной температуры. Правомерность такого приближения требует специального анализа. В то же время кривые атомарных распределений неплохо коррелируют именно с мощностью на начальных участках активизации, а их релаксация (рекомбинация) на этапе термализации дает заметный вклад в повышение температуры перед стадией конверсии.
Химическая активация.
Для более точной оценки роли неравновесных атомарных состояний рассмотрим умозрительные случаи «химической» активации путем изменения начального элементного состава заменой части молекулярного состава окислителя эквивалентным атомарным без нарушения общего соотношения топлива и окислителя. На рис. 4 представлено сравнение изменения мольных долей атомарных состояний азота, кислорода и водорода на временном интервале от начального неравновесного состояния при атмосферных условиях вплоть до достижения стационарного состояния при полном сгорании метана для двух случаев: частичной диссоциации кислорода (кривые 1, 3, 6, 8) либо азота (кривые 2, 4, 5, 7) с практически одинаковыми энергетическими возмущениями начального состояния, которые определялись здесь как разность энтальпий исходной смеси (стехиометрической топливно-воздушной) и активированной привнесенной диссоциацией молекулярного азота либо кислорода. Видно, во-первых, что характер изменения мольных долей и температуры идентичен и, во-вторых, кривые эволюции температуры практически совпадают с графической точностью. На основании этого можно сделать вывод о приоритетном влиянии собственно энергии, а не ее носителя, при том что химическая активность этих носителей принципиально различна. Последнее обстоятельство подтверждается поведением атомарных компонентов азота и кислорода: вне зависимости от начальных значений атомарный азот исчезает в реакциях рекомбинации и образования NO и диссоциации молекулярного кислорода, и уже атомарный кислород участвует в сложном процессе термализации, конверсии и в горении. По этой причине эволюция температуры для двух типов химической активации практически одинакова.
Рис. 4. Эволюция температуры и концентраций основных компонентов метано-воздушной смеси после химической активации путем частичной диссоциации азота или кислорода при равных затратах энергии: 1, 2 – температура; 3, 6, 8 – мольные доли атомарных кислорода, азота, водорода (при О-активации); 4, 5, 7 – при N-активации.
Термическая активация.
Под термической активацией подразумевается некоторый умозрительный процесс подвода энергии, который обеспечивает необходимые начальные условия. При этом энергетическая цена такой активации характеризуется разностью начальных энтальпий активированного и стандартного состояний при атмосферном давлении, температуре и, что важно, при том же значении плотности. На рис. 5 представлены графики изменения температуры стехиометрической метано-воздушной смеси совместно с аналогичными графиками для случая химической активации. Начальная температура термической активации подбиралась из условия приблизительного совпадения моментов воспламенения (положение на временной оси рис. 3) – практически вертикальных участков быстрого (<1 мкс) почти полного выгорания метана и продуктов его конверсии для случаев тепловой (кривая 1) и химической активаций путем сверхравновесной диссоциации азота (кривая 2) Отметим, что характерная температура практически изотермических участков химической конверсии, выбранная для обеспечения близости моментов времени воспламенения «химической» и тепловой активаций, для последней значительно выше, что находит затем отражение и в уровнях температуры квазистационарных состояний продуктов сгорания.
Рис. 5. Эволюция температуры и концентраций основных компонентов состава метано-воздушной смеси после температурной и химической активаций путем частичной диссоциации азота: 1, 2 – температура; 3, 6, 8 – мольные доли атомарных кислорода, азота, водорода (при термической активации); 2, 4, 5, 7 – при N-активации.
Обсуждение
Как видно из рис. 3–6, актуальные для задач энергетики значения суммарного энерговклада (и, соответственно, температуры) для всех рассмотренных механизмов активации метано-воздушной смеси при начальных атмосферных условиях в адиабатическом постоянном объеме лежат в интервале от десятых долей до нескольких единиц МДж/м3. При меньших значениях суммарного энерговклада задержка воспламенения становится значительно больше секунды, а при больших (как видно на рис. 6) – характер перехода в равновесное высокотемпературное состояние теряет специфику горения и соответствует, скорее всего, импульсному нагреву до высокотемпературного сильно диссоциированного состояния. Практическое применение такого рабочего тела лежит вне интересов традиционной энергетики.
Рис. 6. Эволюция температуры смеси при активации треугольными импульсами тока (50 нм) сверху вниз: 30, 27, 24, 20, 17, 14, 11, 8 кА/м.
В энергетическом же диапазоне процесс получения высокотемпературного рабочего тела при повышенном давлении, как отмечалось выше, имеет устойчивую «стадийную» структуру, что иллюстрирует представленное на рис. 6 семейство кривых эволюции температуры рабочего тела, активированного треугольным импульсом тока (50 нс) в качестве основного параметра активации. На логарифмической шкале времени эволюции температуры смеси можно выделить три участка с практически постоянной температурой: два участка с быстрым, близким к скачкообразному, ростом температуры и еще два, менее выраженных, и сравнительно плавного температурного перехода между соседними изотермами. Стадийность воспламенения рассмотрим на примере стехиометрической топливно-воздушной смеси, активированной треугольным импульсом тока (50 нс) с амплитудой 24 кА/м.
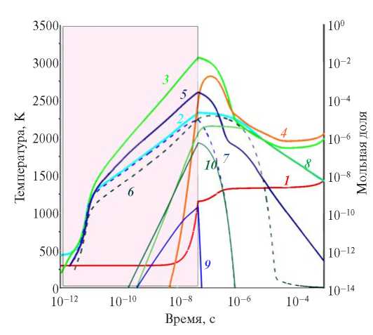
Первая стадия (совпадающая, как правило, с длительностью импульса тока) протекает в основном при постоянной температуре. Энергия разряда расходуется на заполнение высоких энергетических состояний (возбуждение, диссоциация, ионизация и т.п. [2]) и лишь в конце интервала при достижении максимума мощности происходит быстрое повышение поступательной температуры до некоторого промежуточного уровня. Для этого механизма активации промежуточный уровень является монотонной, практически линейной функцией энерговклада. По завершении работы разряда степень неравновесности заполнения высоких энергетических состояний достигает максимума и наступает стадия термолизации (на временах, немного меньших 0.5 мкс) – продолжения передачи части вложенной энергии в поступательные степени свободы, но уже в отсутствии внешнего электрического поля. Основные параметры этой стадии – длительность и приращение поступательной температуры – являются функциями интегрального энерговклада и уровня поступательной температуры, достигнутого к моменту отключения разряда. Это хорошо видно из рис. 7, на котором представлены изменения во времени наиболее «неравновесных» компонентов состава из используемой здесь 32-компонентной кинетической схемы, а именно, электроны, однократные ионы и атомы. Температура по завершении стадии термолизации определяет длительность следующей стадии – стадии конверсии промежуточных углеводородов. На этой стадии помимо представленного на рис. 8 многокомпонентного процесса образования углеводородов идет и практически изотермический процесс образования конечных окислов (рис. 9). Эта стадия завершается формированием начальных условий для перехода к стадии «горение» – практически мгновенного повышения температуры от уровня конверсии до практически равновесной температуры продуктов сгорания топливно-воздушной смеси заданного состава. Этот состав и характеризует последнюю стадию квазиравновесного высокотемпературного рабочего тела высокого давления, используемого затем в тех или иных технологиях преобразования тепловой энергии в механическую.
Рис. 7. Изменение мольных долей заряженных и атомарных компонентов стехиометрической метано-воздушной смеси, активированной импульсом тока (50 нс, 24 кА): 1 – температура, 2 – концентрация электронов, 3 – атомов O, 4 – атомов H, 5 – атомов N, 6 – ионов O2+, 7 – N2+, 8 – NO+, 9 – N+, 10 – O+; закрашенный прямоугольник – интервал действия разряда.
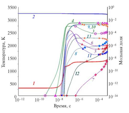
Рис. 8. Изменение мольных долей углеводородов в стехиометрической метано-воздушной смеси, активированной импульсом тока (50 нс, 20 кА/м): 1 – температура, 2 – концентрация CH4, 3 – CH3, 4 – CH2O, 5 – CHO, 6 – CH3O, 7 – C2H2, 8 – C2H4, 9 – CH3CHO, 10 – CH3OH, 11 – CH2OH, 12 – C3H6, 13 – C2H5OH.
Рис. 9. Изменение мольных долей окислов и радикалов в стехиометрической метано-воздушной смеси, активированной импульсом тока (50 нс, 20 кА/м): 1 – температура, 2 – концентрация H2O, 3 – CO, 4 – OH, 5 – CO2, 6 – H2O2, 7 – HO2, 8 – H2, 9 – NO; закрашенный прямоугольник – интервал действия разряда.
Описанный процесс воспламенения топ-ливно-воздушной смеси удобно показать в виде групповой характеристики (рис. 10). Здесь каждая группа представляет собой суммарную мольную долю соответствующих компонентов и адекватно описывает процесс воспламенения в значительно более компактной форме.
Рис. 10. Эволюция температуры и состава метано-воздушной смеси, активированной импульсом тока (50 нс, 20 кА/м) в групповом представлении: 1 – начальный состав и концентрация молекулярного водорода, 2 – концентрации окислов и радикалов, 3 – промежуточных углеводородов, 4 – ионов, электронов и атомов, 5 – температура.
Иногда полезно представить весь описанный выше процесс в несколько иных координатах, когда в качестве аргумента используется не время, а температура (при условии, конечно, что поступательная температура сохраняет монотонность во времени на всем рассматриваемом интервале). Пример такого представления стадийности воспламенения топливно-воздушной смеси, активированной импульсом тока (50 нс) в 20 кА/м, приведен на рис. 11.
Рис. 11. Температурные стадии состава метано-воздушной смеси, активированной импульсом тока (50 нс, 20 кА/м) в групповом представлении: 1 – начальный состав и концентрация молекулярного водорода, 2 – окислов и радикалов, 3 – промежуточных углеводородов, 4 – ионов, электронов и атомов, 5 – время.
При моделировании эффектов активации путем предварительной диссоциации первая стадия не рассматривается, а принимается, что ее воздействие сводится лишь к модификации начального состава, когда определенная часть молекулярных компонентов замещается атомарными без нарушения элементного состава исходной смеси. Подобный подход используется и при формализации термической активации, когда неявный процесс термической активации отражается лишь в повышении начальной температуры и давления в начальных условиях при расчетах кинетики воспламенения. И в том, и в другом случаях энергетическая цена активации определяется по изменению энтальпии топливно-воздушной смеси.
Основной результат данного этапа работы – зависимость задержки воспламенения топливно-воздушной смеси в адиабатической ячейке постоянного объема от суммарного энерговклада, мощности и механизма активации – представлен на рис. 12. Показаны зависимости для трех вариантов активации треугольным импульсом тока длительностью 10, 50 нс и 50 мкс, двух вариантов предварительного подогрева той же полной массы топливно-воздушной смеси, а также для случая предварительной диссоциации азота.
Рис. 12. Время задержки воспламенения при различных механизмах активации: 1 – активация импульсом тока длительностью 10 нс, 2 – 50 нс, 3 – 50 мкс, 4 – N-активация, 5 – термоактивация, 6 – термоактивация (обедненная смесь).
Данные, приведенные на рис. 12, отражают, во-первых, принципиально важную зависимость времени задержки воспламенения от интегрального энерговклада для всех рассмотренных здесь вариантов активации и, во-вторых, демонстрируют зависимость времени задержки воспламенения от существа того или иного механизма активации. В качестве второго сущностного фактора можно рассматривать мощность энерговклада, причем при использовании электрического разряда это может быть та или иная действительная величина (средняя, максимальная) в конкретном процессе. Для диссоциативных процессов можно говорить об очень большой мощности, а для термических, напротив, как об очень малой. Это соответствует последовательности в целом подобных кривых зависимости времени задержки воспламенения от левой, самой «быстрой» для N-активации, через 10, 50 нс и 50 мкс с падением средней мощности обратно пропорционально длительности импульса.
С учетом принятого в настоящем исследовании акцента на энергетический фактор в анализе механизмов управления воспламенением топливно-воздушной смеси целесообразно сопоставить результаты расчетов конечных равновесных состояний используемой здесь редуцированной кинетической схемы с результатами стандартного термодинамического расчета, используемого при анализе характеристик рабочих циклов различных энергетических устройств. В качестве тестового примера рассмотрен переход в равновесное высокотемпературное состояние изначально атомарного состава стехиометрической метано-воздушной смеси (в связи с отсутствием в тестируемой редуцированной схеме атомарного углерода вместо него включено необходимое количество оксида углерода). Таким образом, есть начальные условия: температура – 300 К, давление – 0.1 МПа, ZN = 6.54 × 10–1, ZH = 1.73 × 10–1, ZO = 1.30 × 10–1, ZCO = 4.32 × 10–2. Результаты кинетического и термодинамического расчетов установления равновесия в адиабатном изохорном процессе для системы, заданной этими условиями, приведены в табл. 1, соответствующие составы в конечном состоянии – в табл. 2.
Таблица 1. Начальное и конечное состояния мольного состава в адиабатическом изохорном процессе установления равновесия, полученные в результате кинетического и термодинамического расчетов
Характеристика | Кинетический расчет | Термодинамический расчет | Скорректированный термодинамический расчет | |||
начало | конец | начало | конец | начало | конец | |
Плотность, 10–1 кг/м3 | 5.06 | 0005.06 | 5.06 | 0005.04 | 5.06 | 0005.04 |
Давление, 105 Па | 1.00 | 0023.50 | 1.00 | 0021.8 | 1.00 | 0023.4 |
Температура, К | 300.00 | 8609.91 | 300.00 | 8046 | 300.00 | 8610 |
Энтальпия, 107 Дж/кг | 2.97 | 0003.05 | 3.00 | 0003.00 | 3.21 | 0003.21 |
Молекулярный вес, 10–2 кг/моль | 1.26 | 0001.54 | 1.26 | 0001.54 | 1.26 | 0001.54 |
Таблица 2. Молекулярный состав смеси в конце адиабатического изохорного процесса установления равновесия как результат кинетического и термодинамического расчетов (мольные доли меньше 1 ppm опущены)
Компоненты смеси | Кинетический расчет | Термодинамический расчет |
e | 6.73 × 10–4 | 8.46 × 10–4 |
N | 3.60 × 10–1 | 3.17 × 10–1 |
N2 | 2.17 × 10–1 | 2.36 × 10–1 |
H | 2.10 × 10–1 | 2.09 × 10–1 |
O | 1.52 × 10–1 | 1.75 × 10–1 |
CO | 5.29 × 10–2 | 4.96 × 10–2 |
NO | 5.45 × 10–3 | 5.87 × 10–3 |
NO+ | 3.89 × 10–4 | 3.35 × 10–4 |
H2 | 3.54 × 10–4 | 3.36 × 10–4 |
OH | 3.42 × 10–4 | 5.39 × 10–4 |
N+ | 1.14 × 10–4 | 3.10 × 10–5 |
O+ | 1.13 × 10–4 | 4.83 × 10–5 |
O2 | 8.69 × 10–5 | 1.23 × 10–4 |
N2+ | 5.61 × 10–5 | 3.10 × 10–5 |
CHO | 2.95 × 10–6 | – |
CO+ | – | 2.12 × 10–5 |
O2+ | 7.68 × 10–7 | – |
В термодинамическом расчете температура и давление получаются ниже, чем в кинетическом. Для согласования расчетных значений давления, полученного по термодинамической схеме и по кинетической, энергия диссоциации азота была формально увеличена в 1.0856 раз (последний столбец табл. 1), что, однако, не решает проблему, так как переносит рассогласования на другие характеристики. По-видимому, основная причина лежит в значительном отличии компонентного состава в кинетической и термодинамических моделях. При этом соответствие по составу основных компонентов можно признать приемлемым при анализе качественных эффектов.
Представленные выше процессы протекают в условиях, далеких от реальных особенно в отношении пространственной однородности электрического разряда и его временных характеристик. Вклад требуемой для воспламенения энергии определяется при прочих равных условиях предысторией воздействий, обусловливающих энергетическое состояние перед очередным электрическим импульсом. Для (быстрого) воспламенения из начального состояния требуется энерговклад того же порядка величины, что и теплотворная способность смеси (топливо + окислитель). Для смягчения требований к источнику часто используется многоимпульсная технология с накоплением как тепловых, так и композиционных эффектов активации, последние так или иначе деградируют, приближая состояние термической активации, на фоне которой эффективность электроразрядной активации растет практически экспоненциально, как это и можно заключить из данных на рис. 12. Определенную замедляющую роль могут оказывать процессы затраты энергии на работу расширения рабочего объема и/или , по-видимому, в меньшей степени также процессы диффузии и теплопроводности, что однако полезно для повышения активности объемов, не подвергаемых прямому воздействию разряда. Более детальный анализ эволюции горючих газофазных смесей с учетом пространственных эффектов предполагается провести в рамках аналогичного подхода на следующем этапе работы.
Заключение
Проведенный анализ процессов активации метано-воздушной смеси одноимпульсным разрядом большой мощности показал, что воздействие разряда с точки зрения обеспечения необходимых значений времени задержки воспламенения эквивалентно некоторой комбинации химической и тепловой активации, включая их отдельное использование. Этот вывод аналогичен выводу в [8] при активации смеси высокочастотным коронным разрядом в камере сгорания компрессионного двигателя с гомогенной смесью при использовании формализма G-фактора. При этом ключевыми параметрами являются как суммарный удельный энерговклад, так и некоторая характерная (средняя или максимальная) мощность. В рассматриваемой постановке для наиболее эффективной химической активации не имеет значение, какой (или какие) компонент является носителем активирующего энерговклада. В этой связи наличие или отсутствие заряженных частиц само по себе не является важным. В рамках использованной кинетической модели все рассмотренные механизмы представляются аддитивными.
Предложенная групповая интерпретация стадийного характера процесса воспламенения является полезной, по крайней мере, на этапе качественных оценок. Правомерность использования такого подхода для оптимизации вычислительных процедур требует специальной проверки.
Количественные характеристики кинетики воспламенения возможно потребуют верификации на более полных схемах. Представленные результаты ориентированы в первую очередь на качественный анализ в идеализированной постановке. На последующих этапах этих исследований предполагается представить результаты аналогичного анализа с учетом пространственных эффектов и дополнительную верификацию редуцированной кинетики на базе расширенной кинетической схемы.
Работа поддержана Министерством науки и образования РФ (госзадание № 075-01129-23-00). Часть работы выполнена в рамках Программы-10 НЦФМ.
About the authors
В. А. Битюрин
Объединенный институт высоких температур РАН
Author for correspondence.
Email: valentin.bityurin@gmail.com
Russian Federation, Москва
А. Н. Бочаров
Объединенный институт высоких температур РАН
Email: valentin.bityurin@gmail.com
Russian Federation, Москва
А. С. Добровольская
Объединенный институт высоких температур РАН
Email: valentin.bityurin@gmail.com
Russian Federation, Москва
П. П. Иванов
Объединенный институт высоких температур РАН
Email: valentin.bityurin@gmail.com
Russian Federation, Москва
Т. Н. Кузнецова
Объединенный институт высоких температур РАН
Email: valentin.bityurin@gmail.com
Russian Federation, Москва
Е. А. Филимонова
Объединенный институт высоких температур РАН
Email: valentin.bityurin@gmail.com
Russian Federation, Москва
References
- Ju Y., Sun W. Plasma Assisted Combustion: Dyna-mics and Chemistry // Prog. Energy Combust. Sci. 2015. V. 48. P. 21.
- Starikovskiy A., Aleksandrov N. Plasma-assisted Ignition and Combustion // Prog. Energy Combust. Sci. 2013. V. 39. № 1. P. 61.
- Анохин Е.М., Киндышева С.В., Александров Н.Л. Воспламенение углеводород-кислородных смесей с помощью наносекундного поверхностного диэлектрического барьерного разряда // Физика плазмы. 2018. T. 44. № 11. C. 927.
- Discepoli G., Cruccolini V., Ricci F., Giuseppe A.Di., Papi S., Grimaldi C.N. Experimental Characterisation of the Thermal Energy Released by a Radio Frequency Corona Igniter in Nitrogen and Air // Appl. Energy. 2020. V. 263. P. 114617.
- Boumehdi M.A., Stepanyan S.A., Desgroux P., Vanhove G., Starikovskaia S.M. Ignition of Methane- and n-butane-containing Mixtures at High Pressures by Pulsed Nanosecond Discharge // Combust. Flame. 2015. V. 162. P. 1336.
- Cathey C.D., Tang T., Shiraishi T., Urushihara T., Kuthi A., Gundersen M.A. Nanosecond Plasma Ignition for Improved Performance of an Internal Combustion Engine // IEEE Trans. Plasma Sci. 2007. V. 35. P. 1664.
- Filimonova E.A. Discharge Effect on the Negative Temperature Coefficient Behaviour and Multistage Ignition in C3H8–Air Mixture // J. Phys. D: Appl. Phys. 2015. V. 48. P. 015201.
- Filimonova E., Bocharov A., Bityurin V. Influence of a Non-equilibrium Discharge Impact on the Low Temperature Combustion Stage in the HCCI Engine // Fuel. 2018. V. 228. P. 309.
- Filimonova E.A., Dobrovolskaya A.S., Bocharov A.N., Bityurin V.A., Naidis G.V. Formation of Combustion Wave in Lean Propane-air Mixture with a Non-uniform Chemical Reactivity Initiated by Nanosecond Streamer Discharges in the HCCI Engine // Combust. Flame. 2020. V. 215. P. 401.
- Bityurin V.A., Bocharov A.N., Dobrovolskaya A.S., Kuznetsova T.N., Popov N.A., Filimonova E.A. Numerical Modeling of Pulse-Periodic Nanosecond Discharges // J. Phys.: Conf. Ser. 2021. V. 2100. № 1. P. 012032.
- Битюрин В.А., Бочаров А.Н. Магнитогидродинамическое взаимодействие при обтекании затупленного тела гиперзвуковым воздушным потоком // МЖГ. 2006. № 5. C. 188.
- Aleksandrov N.L., Kindusheva S.V., Nudnova M.M., Starikovskii A.Yu. Mechanism of Ultra-fast Heating in a Non-equilibrium Weakly Ionized Air Discharge Plasma in High Electric Fields // J. Phys. D: Appl. Phys. 2010. V. 43. P. 255201.
- Popov N.A. Fast Gas Heating in a Nitrogen-Oxygen Discharge Plasma: I. Kinetic Mechanism // J. Phys. D: Appl. Phys. 2011. V. 44. P. 285201.
- Popov N.A., Starikovskaia S.M. Relaxation of Electronic Excitation in Nitrogen/Oxygen and Fuel/Air Mixtures: Fast Gas Heating in Plasma-assisted Ignition and Flame Stabilization // Prog. Energy Combust. Sci. 2022. V. 89. 100928.
- Белов Г.В., Иориш В.С., Юнгман В.С. Моделирование равновесных состояний термодинамических систем с использованием ИВТАНТЕРМО для Windows // ТВТ. 2000. Т. 38. № 2. С. 209.
- Битюрин В.А., Иванов П.П., Корягина Г.М., Любимов Г.А., Медин С.А., Морозов Г.Н., Прокоп А.С. Численное моделирование работы МГД-генератора на переменных режимах в составе МГДЭС // ТВТ. 1982. Т. 20. № 4. С. 347.
- Термодинамические свойства индивидуальных веществ. Электр. спр. М.: Наука, 1978–2004. http://twt.mpei.ac.ru/tthb/2/oivt/IVTANThermo/Rus/index.htm
Supplementary files














