Моделирование параметров плазмы двухструйного плазмотрона с промежуточным электродом
- Authors: Петреня Ю.К.1, Фролов В.Я.1, Иванов Д.В.1
-
Affiliations:
- Санкт-Петербургский политехнический университет Петра Великого
- Issue: Vol 62, No 3 (2024)
- Pages: 329 - 340
- Section: Plasma Investigations
- URL: https://bakhtiniada.ru/0040-3644/article/view/274397
- DOI: https://doi.org/10.31857/S0040364424030025
- ID: 274397
Cite item
Full Text
Abstract
Рассмотрены физические процессы, происходящие при воздействии плазменного потока дуги двухструйного плазмотрона на промежуточный электрод – вращающуюся вокруг своей оси со скоростью 10 тыс. об/мин металлическую заготовку диаметром 5 см. Нагреваемая поверхность металлической заготовки оплавляется, за счет центробежных сил происходит отрыв материала от заготовки в виде капель, после их охлаждения в среде инертного газа получается порошок сферических металлических частиц (PREP-процесс). Этот порошок применяется в аддитивных технологиях. Представлена трехмерная стационарная модель двухструйного плазмотрона с дугой, замыкающейся через промежуточный электрод – вращающуюся металлическую заготовку (приэлектродные процессы не учитываются). Рассмотрено влияние величины тока дуги и расхода плазмообразующего газа на эффективность нагрева заготовки. Представлены как распределенные (температура, скорость плазмы и др.), так и интегральные (мощность в заготовку, мощность потерь на излучение и др.) результаты расчета. Показано, что зависимость мощности в заготовку от расхода плазмообразующего газа имеет «насыщение», т.е. при превышении определенного расхода мощность в заготовку перестает увеличиваться. В этом случае увеличение тока дуги – наиболее эффективный способ увеличения мощности в заготовку.
Full Text
Введение
Для эффективного внедрения в промышленность аддитивных технологий необходима разработка соответствующей теории, анализ особенностей и направлений использования процесса получения металлического порошка со сферическими частицами.
Процесс распыления при вращении электрода, получивший название REP (rotating electrode process – процесс вращающегося электрода) или PREP (plasma rotating electrode process – процесс вращающегося электрода в плазме), был изобретен в 1963 г. [1, 2]. Первоначальная конструкция короткого стержня была изменена на конструкцию длинного стержня в 1974 г. С момента изобретения REP широко использовался для производства чистых сферических порошков из низкоуглеродистой стали в качестве носителя технического углерода в офисных копировальных аппаратах. В течение последних десяти лет этот метод распыления применялся для производства порошков кобальт-хромовых и титановых сплавов для протезных устройств. Он также был адаптирован для получения сверхчистых порошков титанового сплава для потенциальных применений в аэрокосмической отрасли [3].
Чтобы повысить производительность процесса получения металлических порошков, источником нагрева электрода в данной работе выбран двухструйный плазмотрон, который является частным случаем многодугового плазмотрона.
Многодуговые плазмотроны [4–7] характеризуются наличием нескольких индивидуальных электрических дуг и отличаются между собой лишь их расположением: последовательным, параллельным или произвольным (под углом к общему потоку плазмы).
Системы с электрическими дугами, расположенными под углом к общему потоку плазмы, обеспечивают высокоэффективное проведение многих технологических процессов, в частности, обработку порошковых материалов. Однако отсутствие специализированных источников электропитания, относительная трудность зажигания электрических дуг и некоторая сложность сдерживают их широкое промышленное использование, в результате чего в настоящее время применяются плазмотроны с наиболее простыми схемами. В частности, распространение получил двухструйный плазмотрон, у которого анодный и катодный участки дуги расположены под углом к общему потоку плазмы.
Первый промышленный вариант двухструйного плазмотрона был создан фирмой Thermal Dynamics Соrр (США) и назван Y-образной горелкой [4, 5]. Следует отметить, что более ранние разработки двухструйного плазмотрона выполнялись со стабилизацией дуг и зоны смешения потоков плазмы горючими газами. В конструкции вышеназванной фирмы стабилизация дуг осуществляется с помощью камеры смешения, но также не исключалась возможность стабилизации приэлектродных участков дуги плазмообразующим газом. Промышленное опробование плазмотрона было проведено при мощности до 7 МВт. При мощности 4.6 МВт КПД плазмотрона составил 65%. Относительно низкий КПД устройства связан с наличием камеры смешения.
Другой двухструйный плазмотрон – ДГП-50 [4, 5], в отличие от вышеописанного, выполнен без камеры смешения и поэтому имеет высокий КПД (до 90%). В нем (промышленный вариант мощностью до 50 кВт) стабилизация зоны смешения плазменных потоков производится определенным расположением катодных и анодных узлов, формирующими соплами и расходом плазмообразующего газа. Защита электродов осуществляется аргоном.
Работа [8] посвящена разработке модели процессов в мощном двухструйном плазмотроне постоянного тока (мощность – 1 МВт, ток – 1500 А), который используется для сжигания и разложения отходов, а также для металлургических применений. Дуговой разряд, генерируемый двухструйным плазмотроном, характеризуется сложной формой и гидродинамикой и требует трехмерного описания. Увеличенная длина дуги, замкнутой между вольфрамовым заточенным катодом и плоским медным анодом без какой-либо конкретной удерживающей стенки, а также динамика жидкости и магнитного поля приводят к неустойчивому поведению плазменной струи. Чтобы отразить динамическое поведение двухструйного дугового разряда, в работе [8] была разработана трехмерная нестационарная модель плазменной дуги с использованием коммерческого кода Fluent. В дальнейшем авторы этой работы применили разработанную модель при моделировании процесса синтеза медного нанопорошка [9].
В работе [10] проведены теоретические и экспериментальные исследования многокатодного дугового плазмотрона (6 катодов). Для расчетов использовалась модель двухтемпературной плазмы.
Рассмотренные примеры свидетельствуют об актуальности данной тематики, а также заинтересованности ученых и промышленных компаний в современных и более эффективных способах получения металлических порошков.
С целью повышения производительности получения металлических порошков был предложен метод, защищенный патентом авторов данной работы [11]. Отличительной особенностью этого метода от распространенных способов получения порошка, в том числе с вращением оплавляемого электрода, является то, что используются струйные плазмотроны, у которых через генерируемую струю плазмы протекает ток, замыкающийся на промежуточный электрод – оплавляемый объект [1, 12]. Это позволило регулировать энергию генерируемой струи плазмы с высокой энергетической эффективностью при оплавлении вращающегося металлического электрода, а также с целью увеличения мощности источника плазмы управлять длиной генерируемой дуги с помощью изменения размеров внутреннего канала плазмотрона.
Предлагаемый технологический объект – дуга многоструйного дугового плазмотрона, замыкающаяся через вращающийся промежуточный электрод, – мало изучен. Поэтому с целью разработки фундаментальных основ плазменных технологий для получения металлических порошков необходимо выполнить анализ закономерностей взаимодействия потоков плазмы многоструйных дуговых плазмотронов с оплавляемым вращающимся металлическим электродом.
Математическая модель
Для выполнения анализа взаимодействия потоков плазмы разработана математическая модель тепловых, газодинамических и электромагнитных процессов. Основные допущения модели:
- плазма находится в состоянии локального термодинамического равновесия (ЛТР);
- плазма оптически тонкая, перенос энергии за счет излучения не учитывается;
- пренебрегается вязкой диссипацией.
Для дуговой плазмы атмосферного давления при токах до 1 кА эти допущения оправданы и общеупотребимы [13]. Основные уравнения применяемой модели плазменных процессов выражают фундаментальные законы сохранения и включают в себя:
- уравнение баланса энергии (закон сохранения энергии);
- уравнение движения (закон сохранения импульса);
- уравнение неразрывности (закон сохранения массы).
Вид этих уравнений стандартен и может быть найден, например, в [14–16].
Так как плазма существует в электромагнитном поле, то данная система уравнений дополняется системой уравнений Максвелла, которая сводится к уравнениям относительно скалярного и векторного потенциалов:
,
где .
Для учета зависимости плотности плазмы от температуры и давления использовалось уравнение состояния идеального газа:
,
где pатм – атмосферное давление, pизб – избыточное давление, Mпл – молярная масса плазмы, R – универсальная газовая постоянная.
В качестве плазмообразующего газа взят аргон. Термодинамические и транспортные свойства аргоновой плазмы в зависимости от температуры были предварительно рассчитаны по методике, описанной в книге [17]. Температурная зависимость удельной мощности излучения urad аргоновой плазмы взята из книги [18].
Таким образом, основные уравнения модели образуют систему, которая должна быть решена с целью получения распределений необходимых параметров плазмы, таких как температура, скорость, давление, электромагнитные величины. Для учета турбулентности была использована SST-модель [19]. Данная задача решалась в трехмерной стационарной постановке.
Исходные данные для расчетов и граничные условия
В расчетах использовалась геометрия плазмотрона ПН-ПА1, представленная на рис. 1а. Диаметр сопла – 5 мм, длина сопла – 10 мм, зазор (минимальное расстояние) между центральным электродом и соплом – 1 мм. В плазмотроне за счет присутствия в конструкции газоформирователя организуется аксиальный поток газа, поступающий в сопло.
Выбор взаимного расположения двухструйного плазмотрона и вращающегося электрода – это вопрос отдельного исследования. В данной работе рассматривается их взаимное расположение, при котором угол между плазменными струями – 90° (каждая струя двухструйного плазмотрона создается плазмотроном ПН-ПА1). С вращающегося электрода снята фаска 15×45° для того, чтобы поток плазмы падал на поверхность электрода по нормали, расстояние от среза сопла плазмотронов до металлического электрода – 10 мм.
Базовый режим работы двухструйного плазмотрона, выбранный на основе предварительных опытов: ток дуги – 200 А, расход аргона в каждой струе – 0.8 г/с.
Металлический электрод диаметром 5 см вращается вокруг своей оси с частотой 10 000 об/ мин. Материал металлического электрода – медь. Расчетная область, окружающая двухструйный плазмотрон и металлический электрод, представляет собой цилиндр диаметром 200 мм и высотой 200 мм. В качестве граничного условия на поверхности электродов задается параболический профиль плотности тока [8]:
,
где Jmax – максимальное значение плотности тока, r – расстояние от оси электрода, R0 = 1.5 мм. На одном электроде задавалось положительное значение Jmax, на другом – отрицательное. На нижней поверхности металлического электрода – нулевой электрический потенциал.
Для векторного потенциала на радиальной границе расчетной области задавалось граничное условие
А = 0,
которое необходимо для стабилизации итерационного процесса. На остальных границах задавалось условие
,
где n – направление, перпендикулярное границе.
На электродах задается следующее граничное условие для температуры:
,
где Tmax = 10000 К, RT0 = 2 мм. На остальных границах задана температура T = 300 К.
Расчеты по разработанной модели были проведены в программе ANSYS Fluent. К сожалению, в программной среде ANSYS Fluent нет встроенной возможности решения электромагнитных задач. С другой стороны, в этой программе существует возможность дополнять существующие модели собственным кодом, определять и решать уравнения в частных производных. Такая возможность называется функциями UDF (user defined functions), которые необходимо задать на языке программирования C. С помощью UDF в программе ANSYS Fluent были заданы уравнения электромагнитной задачи для скалярного и векторного потенциалов, температурные зависимости теплофизических свойств плазмы, граничные условия на электродах и др.
Для расчетов использовалась полигональная сетка, число элементов расчетной сетки – 1.97 млн ячеек (см. рис. 1б).
Рис. 1. Геометрия и расчетная сетка: (а) – разрез плазмотрона ПН-ПА1 (уплотнения не показаны), (б) – расчетная сетка (разрез в центральном сечении).
Были проведены следующие исследования взаимодействия потоков плазмы с оплавляемым вращающимся металлическим электродом:
- влияние тока дуги;
- влияние расхода плазмообразующего газа.
Результаты и обсуждение
Результаты моделирования для базового режима работы двухструйного плазмотрона показаны на рис. 2–4. Из распределений температуры и скорости видно (рис. 2, 3), что максимальная температура (22400 К) находится в области сопла вблизи электрода (т.е. в области, где диаметр плазмы наименьший), после выхода из сопла диаметр дуги увеличивается и температура плазмы уменьшается, при этом скорость становится максимальной (1.52 км/с). При достижении металлического электрода плазма растекается по его поверхности. При этом ток замыкается между двумя струями через металлический электрод.
Рис. 2. Температура плазмы в базовом режиме работы (I = 200 А, G = 0.8 г/с): (а) – трехмерное распределение (в тыс. К); (б) – двухмерное распределение в центральном сечении.
Рис. 3. Скорость плазмы в базовом режиме работы (I = 200 А, G = 0.8 г/с): (а) – трехмерное распределение (в м/с); (б) – двухмерное распределение в центральном сечении.
Вращательное движение цилиндрического электрода не оказывает существенного влияния на движение плазменных струй. Это объясняется тем, что при частоте 10 000 об/мин (166.67 об/с) и радиусе электрода 25 мм линейная скорость поверхности электрода равна 26.18 м/с, что существенно меньше скорости плазменной струи.
Из распределения давления (рис. 4а) видно, что внутри плазмотронов абсолютное давление достигает 1.23 атм и падает до 1 атм на выходе из сопла. Распределение z-составляющей плотности тока показывает (рис. 4б), что дуга замыкается через металлический электрод.
Рис. 4. Двумерные распределения параметров плазмы в центральном сечении в базовом режиме работы (I = 200 А, G = 0.8 г/с): (а) – избыточное газостатическое давление; (б) – z-составляющая плотности тока.
В работе [8], посвященной расчетам двухструйного плазмотрона, в котором дуга замыкается между двумя струями (т.е. без металлического электрода между струями), отмечается, что режим работы характеризуется пульсациями, связанными с повторным замыканием дуги выше по потоку (так называемым шунтированием дуги), что приводит к вычислительной нестабильности стационарных расчетов. Необходимо отметить, что в рассматриваемой конструкции такой нестабильности расчетов не наблюдается.
Влияние тока дуги. Результаты расчетов при изменении тока дуги от 150 до 250 А приведены на рис. 5 и 6. Расход плазмообразующего газа во всех случаях G = 0.8 г/с. На рис. 5 показаны усредненные радиальные распределения температуры и скорости плазмы в выходном сечении плазмотрона. На рис. 6 даны распределения температуры, скорости и избыточного давления вдоль оси плазмотрона. Интегральные результаты расчета приведены в табл. 1.
Таблица 1. Результаты исследования влияния тока дуги
№ | Параметр | Значение | ||
1 | Расход газа, г/с | 000.8 | 000.8 | 000.8 |
2 | Ток дуги, А | 150 | 200 | 250 |
3 | Напряжение на дуге, В | 113.1 | 121.2 | 126.4 |
4 | Мощность в плазме, кВт | 016.958 (100%) | 024.160 (100%) | 031.424 (100%) |
5 | Мощность потерь за счет излучения, кВт | 001.061 0 (6.26%) | 001.545 0 (6.40%) | 002.105 0 (6.70%) |
6 | Мощность в электрод (среднее значение для двух электродов), кВт (%) | 000.229 0 (1.35%) | 000.339 0 (1.40%) | 000.467 0 (1.49%) |
7 | Мощность в сопло (среднее значение для двух сопел), кВт (%) | 000.002 0 (0.01%) | 000.003 0 (0.01%) | 000.005 0 (0.02%) |
8 | Мощность в заготовку, кВт (%) | 008.240 (48.6%) | 12.858 (53.2%) | 016.319 (51.9%) |
9 | Максимальная температура, К | 18692 | 22453 | 24246 |
10 | Максимальная скорость, м/с | 1150 | 1522 | 1895 |
11 | Максимальное избыточное давление, Па | 17405 | 23080 | 29079 |
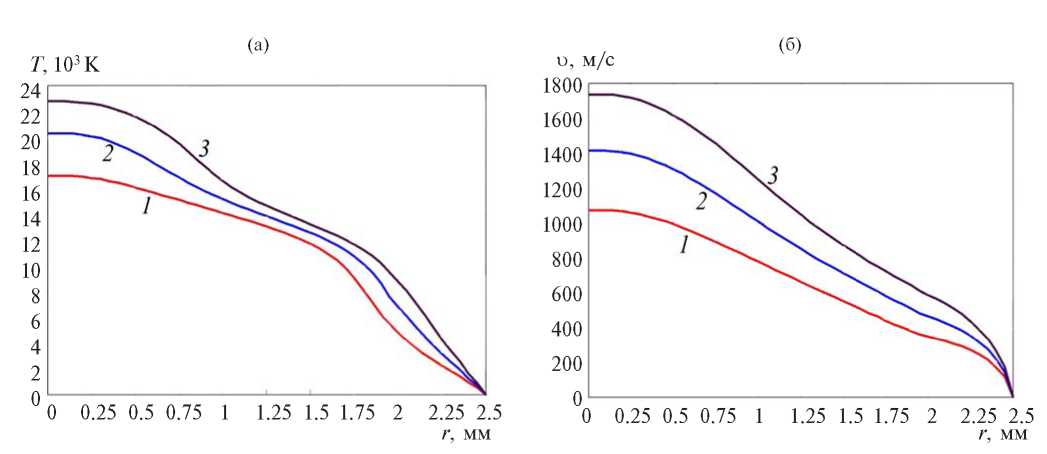
Рис. 5. Усредненные радиальные зависимости температуры (а) и скорости (б) плазмы в выходном сечении плазмотрона при расходе аргона G = 0.8 г/с и различных значениях тока дуги: 1 – 150 А, 2 – 200, 3 – 250.
Анализ полученных результатов позволяет сделать следующие выводы.
- Повышение тока дуги приводит к повышению практически всех величин, указанных в табл. 1. Однако доля мощности, передаваемая в заготовку, повышается при увеличении тока со 150 до 200 А и здесь имеет максимум (53%), а при дальнейшем повышении тока до 250 А понижается до 52% (табл. 1).
- Из радиальных распределений температуры (рис. 5а) и скорости (рис. 5б) видно, что увеличение тока ведет к росту удельной мощности джоулева нагрева в токопроводящем канале дуги (в приосевой области). Это приводит в свою очередь к уменьшению плотности плазмы в этой области и, как следствие, росту ее скорости. Кроме того, рост тока дает увеличение электромагнитной силы, сжимающей плазму (пинч-эффект), что также ведет к росту скорости плазмы в осевом направлении.
- Осевые распределения температуры (рис. 6а) показывают, что максимальная температура достигается внутри сопла вблизи электрода плазмотрона, т.е. там, где канал плазмы сжат больше всего. По мере движения газа в сопле он нагревается от плазмы, канал плазмы расширяется, и его максимальная температура уменьшается. После выхода из сопла канал плазмы расширяется еще больше, и максимальная температура плазмы уменьшается.
- Максимальное давление плазмы наблюдается внутри плазмотрона у входа в сопло (рис. 6в), по мере движения плазмы внутри сопла ее скорость растет (рис. 6б), а давление уменьшается. Максимальное значение скорости достигается на расстоянии около 2 мм после выхода из сопла, а давление плазмы при этом становится равным атмосферному. При приближении к стенке вращающегося электрода скорость уменьшается, а давление растет (рис. 6б, 6г), достигая 1.2 атм при токе 250 А.
Рис. 6. Распределения температуры (а), скорости (б) и избыточного давления (в) плазмы вдоль оси плазмотрона при расходе аргона G = 0.8 г/с и токах дуги: 1 – 150 А, 2 – 200, 3 – 250, 4 – граница плазмотрона.
5. Из табл. 1 следует, что повышение тока дуги является эффективным способом повышения мощности, передаваемой в заготовку (мощность в заготовку увеличивается с 8.2 до 16.3 кВт при увеличении тока дуги со 150 до 250 А), хотя КПД процесса может при этом несколько уменьшаться (с 53.2% до 51.9% при увеличении тока с 200 до 250 А).
Влияние расхода плазмообразующего газа. Результаты расчетов при изменении расхода плазмообразующего газа от 0.1 до 1.5 г/с (через каждое сопло) приведены на рис. 7–10. Ток дуги во всех случаях I = 200 А. На рис. 9 показаны усредненные радиальные распределения температуры и скорости плазмы в выходном сечении плазмотрона. На рис. 10 даны осевые распределения температуры, скорости и избыточного давления вдоль оси плазмотрона. Интегральные результаты расчета приведены в табл. 2.
Рис. 7. Двумерные распределения температуры (а) и скорости (б) плазмы в центральном сечении при малом расходе плазмообразующего газа (I = 200 А, G = 0.1 г/с).
Рис. 8. Двумерные распределения температуры (а) и скорости (б) плазмы в центральном сечении при большом расходе плазмообразующего газа (I = 200 А, G = 1.5 г/с).
Рис. 9. Усредненные радиальные зависимости температуры (а), (б) и скорости (в), (г) плазмы в выходном сечении плазмотрона при токе дуги 200 А и различных значениях расхода аргона: 1 – 0.1 г/с, 2 – 0.3, 3 – 0.5, 4 – 0.8, 5 – 1.0, 6 – 1.2, 7 – 1.5.
Рис. 10. Распределения температуры (а), (б), скорости (в), (г) и избыточного давления (д), (е) плазмы вдоль оси плазмотрона при токе дуги I = 200 А и различных значениях расхода аргона: 1 – 0.1 г/с, 2 – 0.3, 3 – 0.5, 4 – 0.8, 5 – 1.0, 6 – 1.2, 7 – 1.5, 8 – граница плазмотрона.
Таблица 2. Результаты исследования влияния расхода плазмообразующего газа
№ | Параметр | Значение | ||||||
1 | Расход газа, г/с | 000.1 | 000.3 | 000.5 | 000.8 | 001.0 | 001.2 | 001.5 |
2 | Ток дуги, А | 200 | 200 | 200 | 200 | 200 | 200 | 200 |
3 | Напряжение на дуге, В | 074.1 | 104.4 | 110.8 | 121.2 | 127.3 | 133.5 | 142.5 |
4 | Мощность в плазме, кВт | 014.795 (100%) | 020.838 (100%) | 022.109 (100%) | 024.160 (100%) | 025.385 (100%) | 026.509 (100%) | 0 28.068 (100%) |
5 | Мощность потерь за счет излучения, кВт | 002.506 0(16.9%) | 001.935 0 (9.28%) | 001.692 0 (7.65%) | 001.545 0 (6.40%) | 001.474 0 (5.81%) | 001.416 0 (5.34%) | 001.342 0 (4.78%) |
6 | Мощность в электрод (среднее значение для двух электродов), кВт | 000.292 0 (1.97%) | 000.308 0 (1.48%) | 000.321 0 (1.45%) | 000.339 0 (1.40%) | 000.351 0 (1.38%) | 000.358 0 (1.35%) | 000.378 0 (1.35%) |
7 | Мощность в сопло (среднее значение для двух сопел), кВт | 000.899 0 (6.08%) | 000.095 0 (0.46%) | 000.011 0 (0.05%) | 000.003 0 (0.01%) | 000.002 0 (0.009%) | 000.002 0 (0.007%) | 000.001 0 (0.005%) |
8 | Мощность в заготовку, кВт | 007.581 (51.2%) | 013.523 (64.9%) | 012.127 (54.9%) | 012.858 (53.2%) | 012.688 (50.0%) | 012.712 (48.0%) | 012.804 (45.6%) |
9 | Максимальная температура, К | 19336 | 21383 | 21987 | 22453 | 22638 | 22767 | 22927 |
10 | Максимальная скорость, м/с | 00423 | 00915 | 01204 | 01522 | 01708 | 01878 | 02112 |
11 | Максимальное избыточное давление, Па | 2022 | 8228 | 14147 | 23080 | 29588 | 36496 | 47529 |
Анализ полученных результатов позволяет сделать следующие выводы.
- При малом расходе плазмообразующего газа (0.1 г/с) плазма занимает все пространство внутри сопла, так что вблизи его стенки существует высокий градиент температуры, и потери в стенку сопла относительно высоки (900 Вт), поэтому есть опасность его прогорания. После выхода из сопла плазменный канал резко расширяется (рис. 7) за счет относительно малой скорости плазмы (максимальная скорость плазмы – 420 м/с) и мощность, передаваемая в заготовку, составляет 51% от мощности дуги. Для сравнения на рис. 8 показаны распределения температуры и скорости плазмы при расходе аргона 1.5 г/с (видно, что между дугой и стенкой есть слой холодного газа, резкого расширения плазмы после сопла нет, максимальная скорость существенно выше – 2.1 км/с).
- Повышение расхода плазмообразующего газа до 0.3 г/с приводит к росту мощности, передаваемой в заготовку, до 65% от мощности дуги (см. табл. 2). При этом потери в стенку сопла снижаются до 95 Вт.
- Дальнейшее увеличение расхода приводит к плавному снижению доли мощности, передаваемой в заготовку, до 45% при расходе 1.5 г/с. Потери мощности в сопло становятся пренебрежимо малы уже при расходе 0.5 г/с.
- Увеличение расхода плазмообразующего газа приводит к сжатию дугового канала. Резкое сжатие происходит при увеличении расхода с 0.1 до 0.3 г/с. Это сопровождается увеличением (см. табл. 2) мощности дуги с 14.8 до 22.1 кВт, напряжения на дуге – с 74.1 до 110.8 В, температуры плазмы – с 19.3 до 22 тыс. К, скорости плазмы – с 420 до 1200 м/с.
- Дальнейшее увеличение расхода приводит к более плавному увеличению вышеназванных величин.
- Из рис. 9б и 10б видно, что увеличение расхода аргона с 0.8 до 1.5 г/с практически не приводит к росту температуры в приосевой зоне дуги. Это происходит за счет того, что в этом диапазоне расходов диаметр токопроводящего канала практически не меняется, при этом скорость плазмы в приосевой зоне увеличивается (см. рис. 9г и 10г).
- Из рис. 9б также видно, что увеличение расхода аргона с 0.8 до 1.5 г/с приводит к «захолаживанию» пристеночного слоя (r = 1.5–2.5 мм) плазмы внутри сопла. При этом распределение скорости в пристеночном слое практически не меняется (рис. 9г).
- Потери мощности за счет излучения невелики (1–2% от мощности дуги), они уменьшаются при увеличении расхода плазмообразующего газа (табл. 2), так как при этом уменьшается объем плазмы.
- Максимальное давление линейно растет с 1.02 до 1.48 атм при повышении расхода с 0.1 до 1.5 г/с (см. рис. 10д, 10е и табл. 2).
- Необходимо заметить, что влияние расхода плазмообразующего газа на эффективность технологического процесса на основе двухструйного плазмотрона намного ниже, чем на основе плазмотронов косвенного действия. Причина этого в том, что в двухструйном плазмотроне с дугой, замыкающейся через вращающийся электрод, дуга существует по всей длине плазмы, и, значит, по всей длине плазмы выделяется мощность джоулева нагрева. В плазмотроне же косвенного действия (струйном плазмотроне) дуга существует только внутри канала плазмотрона (горит между катодом и анодом плазмотрона), и повышение расхода газа приводит к повышению той доли мощности, которая выносится из плазмотрона.
- Исходя из условия работы при максимально возможной эффективности (см. табл. 2), в дальнейшем рекомендуется использовать расход плазмообразующего газа, лежащий в пределах 0.3–0.8 г/с.
Заключение
В статье рассмотрен способ получения металлического порошка при помощи распыления плазменной дугой вращающейся заготовки. В данной технологии получение металлических частиц происходит при воздействии плазменного потока дуги многоструйного плазмотрона на вращающуюся вокруг своей оси металлическую заготовку диаметром 5 см со скоростью 10 тыс. об/мин. Отрыв порошкового материала от заготовки происходит за счет центробежных сил. Распыление производится в среде инертного газа для исключения образования оксидных пленок на поверхности частиц.
Представлена трехмерная стационарная модель двухструйного плазмотрона с дугой, замыкающейся через промежуточный электрод – вращающуюся металлическую заготовку. Приведены результаты исследований влияния тока дуги и расхода плазмообразующего газа на параметры плазмы.
Показано, что вращательное движение цилиндрического электрода не оказывает существенного влияния на движение плазменных струй.
Анализ результатов показал, что повышение тока дуги является эффективным способом повышения мощности, передаваемой в заготовку (мощность в заготовку растет с 8.2 до 16.3 кВт при увеличении тока дуги со 150 до 250 А), хотя КПД процесса может при этом несколько уменьшаться (с 53.2% до 51.9% при увеличении тока с 200 до 250 А).
При этом влияние расхода плазмообразующего газа на эффективность технологического процесса на основе двухструйного плазмотрона намного ниже по сравнению с плазмотронами косвенного действия. Причина этого в том, что в двухструйном плазмотроне с дугой, замыкающейся через вращающийся электрод, дуга существует по всей длине плазмы, и значит, по всей длине плазмы выделяется мощность джоулева нагрева. В плазмотроне же косвенного действия (струйном плазмотроне) дуга существует только внутри канала плазмотрона (замыкается между катодом и анодом плазмотрона), и повышение расхода газа приводит к повышению той доли мощности, которая выносится из плазмотрона.
Исходя из условия работы при максимально возможной эффективности взаимодействия потока плазмы и порошкового материала [20, 21], в дальнейшем при токе дуги 200 А рекомендуется использовать расход плазмообразующего газа, лежащий в пределах 0.3–0.8 г/с.
Возможные направления дальнейших исследований связаны с развитием разработанной трехмерной математической модели.
- Проведение расчетов двухфазного потока, т.е. добавление в модель расчета движения капель, распыленных с поверхности промежуточного электрода, и учет взаимного влияния плазменных струй и потока распыленных частиц.
- Переход от модели двухструйного плазмотрона к модели трехструйного трехфазного плазмотрона с промежуточным электродом для получения сферического металлического порошка.
- Переход к нестационарной модели и проведение расчетов при различной частоте питающего трехфазного напряжения.
Работа выполнена в рамках исследований по госзаданию Министерства науки и высшего образования РФ (тема FSEG-2023-0012).
About the authors
Ю. К. Петреня
Санкт-Петербургский политехнический университет Петра Великого
Email: d.ivanov@spbstu.ru
Russian Federation, Санкт-Петербург
В. Я. Фролов
Санкт-Петербургский политехнический университет Петра Великого
Email: d.ivanov@spbstu.ru
Russian Federation, Санкт-Петербург
Д. В. Иванов
Санкт-Петербургский политехнический университет Петра Великого
Author for correspondence.
Email: d.ivanov@spbstu.ru
Russian Federation, Санкт-Петербург
References
- Zdujić M., Uskoković D. Production of Atomized Metal and Alloy Powders by the Rotating Electrode Process // Powder Metall Met. Ceram. 1990. V. 29. P. 673.
- Кадыров А.А. Разработка плазменной технологии для получения металлических порошков, используемых в аддитивных технологиях. Дис. … канд. техн. наук. СПб.: СПбПУ, 2020. 116 с.
- Ничипоренко О.С., Найда Ю.И., Медведовский А.Б. Распыленные металлические порошки. Киев: Наукова думка, 1980. 238 с.
- Фролов В.Я., Клубникин В.С., Петров Г.К., Юшин Б.А. Техника и технологии нанесения покрытий. СПб.: Изд-во Политехн. ун-та, 2008. 387 с.
- Электротехнологические промышленные установки / Под ред. Фролова В.Я. СПб.: Изд-во Политехн. ун-та, 2010. 572 с.
- Рутберг Ф.Г., Сафронов А.А., Попов С.Д., Суров А.В., Наконечный Г.В. Многофазные электродуговые плазмотроны переменного тока для плазменных технологий // ТВТ. 2006. Т. 44. № 2. С. 205.
- Сафронов А.А., Васильева О.Б., Дудник Ю.Д., Кузнецов В.Е., Ширяев В.Н. Исследование работы высоковольтных плазмотронов со стержневыми электродами // ТВТ. 2018. Т. 56. № 6. С. 871.
- Colombo V., Ghedini E., Boselli M., Sanibondi P., Concetti A. 3D Static and Time-dependent Modelling of a DC Transferred Arc Twin Torch System // J. Phys. D: Appl. Phys. 2011. V. 44. 194005.
- Boselli M., Gherardi M., Colombo V. 3D Modelling of the Synthesis of Copper Nanoparticles by Means of a DC Transferred Arc Twin Torch Plasma System // J. Phys. D: Appl. Phys. 2019. V. 52. 444001.
- Zhang Z., Sun Q., Wang C., Shui T., Xia W. Numerical Simulation and Experimental Study on a DC Multi-cathode Arc Plasma Generator // Plasma Chem. Plasma Proc. 2023. https://doi.org/10.1007/s11090-023-10377-0.
- Фролов В.Я., Юшин Б.А., Кадыров А.А. Способ получения металлического порошка. Патент на изобретение РФ № 2769116. Кл. МПК-6: B22F9/10; B22F9/14. 28.03.2022.
- Frolov V.Ya., Ivanov D.V., Kadyrov A.A., Yushin B.A. Numerical Simulation of Cooling of Fine Metal Powder in Various Gaseous Environment // Materials. Technologies. Design. 2023. V. 5. № 4(14). P. 115.
- Boulos M.I., Fauchais P.L., Pfender E. Handbook of Thermal Plasmas. Springer Int. Publ., 2023. 1973 p.
- ANSYS Fluent Theory Guide // 2022. https://ansyshelp.ansys.com
- Фролов В.Я., Иванов В.Н., Иванов Д.В. Математические модели плазменных электротехнологических процессов // Электричество. 2018. № 7. С. 54.
- Ivanov D.V., Zverev S.G. Mathematical Simulation of Plasma Processes in a Radio Frequency Inductively Coupled Plasma Torch in ANSYS Fluent and COMSOL Multiphysics Software Packages // IEEE Trans. Plasma Sci. 2022. V. 50. № 6. P. 1700.
- Дресвин С.В., Иванов Д.В. Физика плазмы. СПб.: Изд-во Политехн. ун-та, 2013. 544 с.
- Теория столба электрической дуги / Отв. ред. Энгельшт В.С., Урюков Б.А. Новосибирск: Наука, 1990. 376 с. (Низкотемпературная плазма. Т. 1).
- Иванов Д.В., Зверев С.Г. 3D Model of Plasma Processes in Radio Frequency Inductively Coupled Plasma Torch of 30 kW, 5.28 MHz for Powder Treatment // Вестн. Башкирск. ун-та. 2023. Т. 28. № 3 С. 222.
- Petrenya Y.K., Frolov V.Y., Kriskovets D.S., Yushin B.A., Ivanov D.V. The Influence of Electric Arc Plasma Turbulence on Heat Transfer Processes Involving Powder Materials // Energies. 2023. V. 16. P. 5632.
- Крисковец Д.С., Фролов В.Я., Юшин Б.А. Analysis of the Turbulence Influence in the Electric ARC Plasma Flow by the Laboratory Study Method // Вестн. Башкирск. ун-та. 2023. Т. 28. № 3. С. 242.
Supplementary files












