Удельное сопротивление циркония в окрестности плавления: эксперимент и первопринципный расчет
- Authors: Дороватовский А.В.1, Шейндлин М.А.1, Фокин В.Б.1, Минаков Д.В.1
-
Affiliations:
- Объединенный институт высоких температур РАН
- Issue: Vol 62, No 1 (2024)
- Pages: 24-28
- Section: Thermophysical Properties of Materials
- URL: https://bakhtiniada.ru/0040-3644/article/view/272363
- DOI: https://doi.org/10.31857/S0040364424010041
- ID: 272363
Cite item
Full Text
Abstract
Представлены данные об удельном электрическом сопротивлении циркония в твердом и жидком состояниях в окрестности плавления, полученные в экспериментах по импульсному нагреву проволочек, а также в расчетах методом квантовой молекулярной динамики с использованием формулы Кубо–Гринвуда. Проанализировано влияние примеси гафния на результаты расчетов и измерений.
Full Text
ВВЕДЕНИЕ
Цирконий является одним из основных конструкционных материалов ядерных энергетических установок и используется в качестве оболочек тепловыделяющих элементов водо-водяных реакторов благодаря низкому сечению поглощения нейтронов и устойчивости к коррозии. Высокая температура плавления (Tпл = 2128 К [1]), высокая реакционная способность и риск загрязнения жидкого Zr затрудняют измерение его теплофизических свойств в окрестности плавления стационарными методами. Интенсивное развитие динамических методов исследования [2] теплофизических свойств веществ позволяет решить проблему получения данных в высокотемпературной области [3]. Однако трудности в интерпретации результатов таких экспериментов и сопутствующие физические явления [4] приводят к тому, что измерения, выполненные разными авторами, часто не согласуются между собой. В настоящее время появилась возможность произвести так называемый численный эксперимент с помощью первопринципных расчетов методом квантовой молекулярной динамики, который может помочь устранить такую неопределенность [5–8]. Тем не менее при описании транспортных свойств теоретическими методами все еще имеются проблемы [9, 10].
В случае циркония, в отличие от большинства металлов, присутствует дополнительный источник расхождения экспериментальных результатов – это чистота образцов Zr, используемых разными авторами [11]. В образцах циркония практически всегда присутствуют примеси гафния, которые могут достигать 4.5%, и следовательно, достоверно оценить степень влияния примеси Hf на результаты измерений довольно сложно, особенно если измерения выполняются на разных экспериментальных установках.
В настоящей работе использовались образцы циркония двух видов: йодидного циркония высокой чистоты российского производства и широко используемого в большинстве исследований циркония производства компании Alfa Aesar с заявленными примесями Hf до 4.5%. В связи с этим представляется возможность исследовать влияние примесей в Zr на получаемые результаты в ходе исследования, выполненного на одной экспериментальной установке.
В данной работе используется метод импульсного нагрева током высокой плотности со скоростью нагрева около 108 К/с. В таком эксперименте обычно исследуется ряд термодинамических свойств электропроводного вещества: энтальпия (теплоемкость) [11–15], электрическое сопротивление [16–18] и плотность [19–21]. Причем указанным методом удается провести измерения как в твердом, так и в жидком состояниях в широком диапазоне температур. Регистрация зависимостей тока и напряжения позволяет рассчитать количество джоулева тепла, выделяющегося в образце, при одновременной регистрации температуры с помощью пирометра.
Целью работы являются получение новых данных об удельном электрическом сопротивлении циркония в твердом и жидком состояниях в окрестности температуры плавления и анализ возможного влияния примеси гафния в образцах. Также выполнено сравнение результатов, полученных экспериментально и первопринципными расчетами методом квантовой молекулярной динамики с использованием формулы Кубо–Гринвуда (КМД + КГ).
ЭКСПЕРИМЕНТАЛЬНАЯ УСТАНОВКА
Для измерений теплофизических свойств металлов используется установка импульсного нагрева, изображенная на рис. 1. Энтальпия образца в определенный момент времени и, соответственно, при определенной температуре определялась как интеграл произведения тока на напряжение. При этом потери тепла, связанные с теплопроводностью, конвекцией и излучением, оказываются пренебрежимо малыми из-за высокой скорости нагрева. Оценки показывают, что при используемой скорости нагрева суммарные теплопотери составляют менее 1% от введенной энергии [22]. Так как в работе используется аппаратура, предназначенная для экспериментов в весьма широком диапазоне давлений (до 7 кбар), измерение напряжения возможно только на электровводе в камеру высокого давления, как схематично показано на рис. 1. Поэтому для получения величины падения напряжения на исследуемом образце необходима соответствующая поправка на сопротивление самого электроввода и индуктивность сборки электроввода с образцом. Ток через образец регистрируется трансформатором тока. Конструкция электроввода рассчитана на напряжение на образце не более 1 кВ и ток до 10 кА. Коммутация осуществляется ваккумным разрядником. Для того чтобы изменение электросопротивления исследуемого образца слабо влияло на форму импульса тока, использовались балластный резистор и дополнительная индуктивность, обеспечивающая плавное нарастание тока в начале импульса нагрева. Для измерения яркостной температуры использовался специально сконструированный широкодиапазонный микропирометр с высокоскоростным логарифмическим усилителем и временем отклика менее 1 мкс, позволяющий выполнять измерения в диапазоне температур не менее 1300–6000 К с допустимыми темпами нагрева до 2 ×108 К/с. Такие характеристики необходимы в связи с требованиями надежных измерений яркостной температуры на “полочке” плавления и уверенной оценки излучательной способности при температуре плавления. Эффективная длина волны пирометра составляет 885 нм. Пирометр калибруется по высокотемпературной модели абсолютно черного тела, температура которой, в свою очередь, измеряется прецизионным пирометром Chino IR-RST90H.
Рис. 1. Схема экспериментальной установки по импульсному нагреву: 1 – образец в камере высокого давления; 2 – керамический изолятор; 3 – сапфировое окно; 4 – электроввод (бронза); 5 – управляемый разрядник; 6 – трансформатор тока; 7 – камера теневой съемки; 8 – пирометр; 9 – лазер подсветки 660 нм; 10 – дихроическое зеркало; 11 – сменные защитные стекла; 12 – подача газа, гелий 1–7000 бар.
ПЕРВОПРИНЦИПНОЕ МОДЕЛИРОВАНИЕ
Для расчетов удельного электросопротивления на основе данных первопринципного моделирования методом квантовой молекулярной динамики, основанном на теории функционала плотности, используется код GreeKuP [23]. Данный программный модуль позволяет выполнять расчеты действительной части динамической электропроводности в рамках формализма Кубо–Гринвуда (КГ) [24]:
Здесь ω – частота; e, me – заряд и масса электрона; W(k) – вес k-точки в зоне Бриллюэна при использовании схемы Монкхорста–Пака; – функция Ферми–Дирака; – собственное значение (уровень энергии) состояния i в заданной и собственная волновая функция k-точке. Суммирование выполняется по всем начальным (i) и конечным (j) состояниям среди N дискретных уровней, которые учитываются в расчете кубической суперячейки объемом Ω. Матричные элементы оператора скорости ∇α вдоль каждого направления (α = x, y, z) рассчитываются в программном пакете VASP [25] на основе метода функционала плотности. После расчета динамической электропроводности в некотором диапазоне частот величина статической электропроводности определяется путем экстраполяции к нулевой частоте. КМД-моделирование выполнялось для 250 атомов. Использовались обобщенно-градиентное приближение в параметризации PBE (Perdew–Burke–Ernzerhof) для обменно-корреляционного функционала и PAW-потенциал [26] с 12 валентными электронами для описания электрон-ионного взаимодействия.
РЕЗУЛЬТАТЫ
Содержание примесей в образцах определялось с помощью электронно-микроскопического анализа (СЭМ-ЭДС). В образцах проволоки из йодидного циркония диаметром 0.87 мм наличие примеси гафния не детектировалось. Вторым типом образцов являлись циркониевые проволоки Alfa Aesar диаметром 1 мм. Эти образцы имели матовую поверхность и были заметно менее пластичными, чем образцы из йодидного циркония. Согласно паспорту на проволоку Alfa Aesar доля циркония с примесями гафния в ней составляет не менее 99.2%, при этом доля гафния – не более 4.5% и неметаллических примесей – не более 0.8%. Выполненный анализ показал наличие 1.5% гафния в этих образцах. Количество и состав неметаллических примесей в образцах обоих типов достоверно установить не удалось.
Эксперименты по импульсному нагреву выполнялись при давлении около 1 бар в атмосфере гелия, образцы нагревались со скоростями от 5 × 107 до 1.5 × 108 К/с. Для оценки нормальной спектральной излучательной способности образца циркония на эффективной длине волны пирометра 885 нм наблюдаемая яркостная температура плавления сопоставлялась с известной справочной температурой плавления 2128 К [1]. При этом сам факт плавления образца регистрировался на термограммах по ярко выраженному плато. В экспериментах с проволокой Alfa Aesar было получено значение излучательной способности 0.45, а также электросопротивление при комнатной температуре 50 ± 1 мкОм см, более чем на 10% превышающее справочное значение для циркония. Для образцов йодидного циркония диаметром 0.87 мм измеренная величина удельного электросопротивления при комнатной температуре была равна 45 ± 1 мкОм см. Эти образцы имели почти зеркальную поверхность. Их излучательная способность составила около 0.35, что хорошо согласуется с результатами первопринципных расчетов [27], выполненных ранее.
Энтальпии плавления образцов первого и второго типов совпали в пределах экспериментальной погрешности, данные по теплоемкости в жидком состоянии также сопоставимы, эти результаты будут представлены отдельно. Полученные зависимости удельного сопротивления, отнесенного к начальному объему, от молярной энтальпии для образцов первого и второго типов представлены на рис. 2. Для Zr от Alfa Aesar наблюдается более высокое удельное сопротивление во всем диапазоне измерений, чем для чистого йодидного Zr. Здесь разница составляет от 3 до 5 мкОм см или от 2 до 3%. Полученные результаты для йодидного циркония хорошо согласуются с измерениями [19], при этом результаты работы [12] превышают значения, полученные в настоящей работе для циркония в β-фазе и жидком состоянии. Все показанные на рисунке экспериментальные данные отнесены к исходным размерам. Из графика также видно, что расчет КМД + КГ предсказывает систематически более низкое удельное сопротивление для Zr, чем наблюдается в экспериментах. Для удобства сравнения на рис. 2 также нанесены данные моделирования, отнесенные к расчетной плотности Zr при нормальных условиях. Можно отметить, что в этом случае наклоны расчетной и экспериментальных кривых хорошо согласуются. Заметим, что выполнены дополнительные расчеты КМД + КГ с добавлением атомов Hf в расчетную систему, чтобы численно оценить влияние примесей Hf. При добавлении 1.5% Hf расчет в кристаллической фазе предсказывает рост удельного сопротивления на 0.5%, при увеличении количества Hf до 4.5% различие составляет 1.3%, а в жидкой фазе предсказывается сдвиг на 0.3 и 1% соответственно. Таким образом, можно сделать вывод, что примеси гафния действительно приводят к увеличению удельного сопротивления, однако существенная разница между двумя образцами, по-видимому, обусловлена не только металлическими, но и неметаллическими примесями.
Рис. 2. Удельное сопротивление циркония в зависимости от молярной энтальпии (данная работа): 1 – йодидный цирконий; 2 – цирконий марки Alfa Aesar (1.5% Hf); 3 – результаты расчета КМД + КГ; 4 – результаты расчета КМД + КГ, отнесенные к начальному объему; штриховая линия – линейная аппроксимация расчетных точек для β-Zr и жидкости; 5 – [19], 6 – [12].
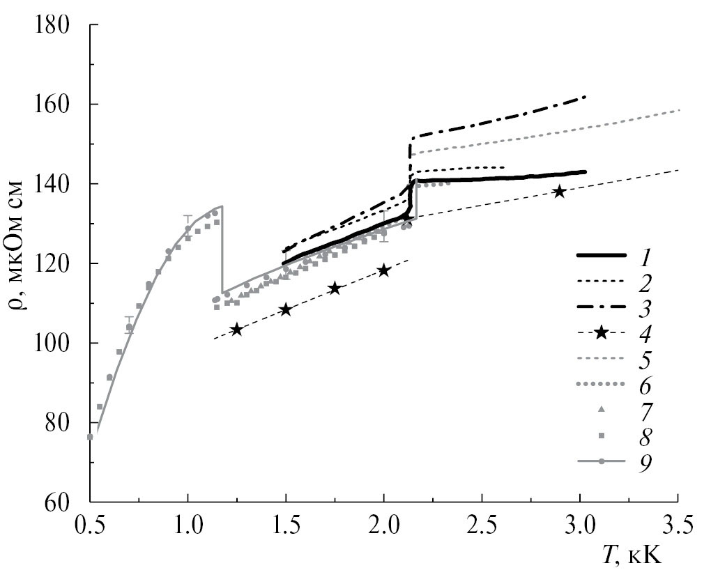
Зависимости удельного сопротивления от температуры представлены на рис. 3. Наклон кривой удельного сопротивления, полученной в расчете КМД + КГ, для β-Zr находится в отличном согласии с данными из обзора [28] и данными других экспериментов для кристаллического Zr [29, 30]. Величина скачка удельного сопротивления при плавлении из расчета КМД + КГ также хорошо согласуется с экспериментальными данными. Наклон кривой КМД + КГ для удельного сопротивления в жидкой фазе согласуется с данными работы [19], которые скорректированы на измеренный в эксперименте объем. Измеренное сопротивление для йодидного циркония отлично согласуется с результатами работы [17]. На графике также изображена кривая, соответствующая данным для йодидного циркония, скорректированным на изменение плотности от температуры из КМД-расчета. Данная кривая находится выше, чем экспериментальная кривая [19].
Рис. 3. Удельное сопротивление циркония в зависимости от температуры (данная работа): 1 – йодидный цирконий; 2 – цирконий марки Alfa Aesar (1.5% Hf); 3 – йодидный цирконий с коррекцией на объем из первопринципных расчетов; 4 – расчеты КМД + КГ; 5 – [19], 6 – [17], 7 – [29], 8 – [30], 9 – [28].
ЗАКЛЮЧЕНИЕ
Получены новые данные о температурной зависимости удельного электрического сопротивления кристаллического циркония в β-фазе и жидкого циркония в окрестности плавления. Проанализировано влияние металлических и неметаллических примесей в исследуемых образцах и выполнено сравнение с результатами первопринципных расчетов методом квантовой молекулярной динамики с использованием формулы Кубо–Гринвуда. Наклон кривой удельного сопротивления, полученной методом КМД + КГ, согласуется с экспериментальными данными. Однако первопринципный расчет предсказывает систематически более низкое удельное сопротивление для Zr, чем наблюдаемое в эксперименте. Впервые зависимость плотности от температуры, полученная в КМД-расчете, использована для учета влияния термического расширения на зависимость удельного сопротивления от температуры.
Работа выполнена при поддержке Российского научного фонда (соглашение № 20-79-10398, https://rscf.ru/en/project/20-79-10398/).
Авторы выражают благодарность Межведомственному суперкомпьютерному центру РАН и Центру коллективного пользования “Дальневосточный вычислительный ресурс” ИАПУ ДВО РАН за предоставленное вычислительное время.
About the authors
А. В. Дороватовский
Объединенный институт высоких температур РАН
Email: minakovd@jiht.ru
Russian Federation, Москва
М. А. Шейндлин
Объединенный институт высоких температур РАН
Email: minakovd@jiht.ru
Russian Federation, Москва
В. Б. Фокин
Объединенный институт высоких температур РАН
Email: minakovd@jiht.ru
Russian Federation, Москва
Д. В. Минаков
Объединенный институт высоких температур РАН
Author for correspondence.
Email: minakovd@jiht.ru
Russian Federation, Москва
References
- CRC Handbook of Chemistry and Physics. 89th ed. / Ed. Lide D.R. Boca Raton: CRC Press, 2008–2009. 2736 p.
- Минцев В.Б. Динамические методы в физике неидеальной плазмы. Начало // ТВТ. 2021. Т. 59. № 6. С. 885.
- Ломоносов И.В., Фортова С.В. Широкодиапазонные полуэмпирические уравнения состояния вещества для численного моделирования высокоэнергетических процессов // ТВТ. 2017. Т. 55. № 4. С. 596.
- Ткаченко С.И., Хищенко К.В., Воробьев В.С., Левашов П.Р., Ломоносов И.В., Фортов В.Е. Метастабильные состояния жидкого металла при электрическом взрыве // ТВТ. 2001. Т. 39. № 5. С. 728.
- Minakov D.V., Paramonov M.A., Levashov P.R. Consistent Interpretation of Experimental Data for Expanded Liquid Tungsten near the Liquid–Gas Coexistence Curve // Phys. Rev. B. 2018. V. 97. № 2. P. 024205.
- Minakov D.V., Paramonov M.A., Levashov P.R. Thermophysical Properties of Liquid Molybdenum in the Near-critical Region Using Quantum Molecular Dynamics // Phys. Rev. B. 2021. V. 103. № 18. P. 184204.
- Minakov D.V., Paramonov M.A., Levashov P.R. Interpretation of Pulse-heating Experiments for Rhenium by Quantum Molecular Dynamics // High Temp. – High Press. 2020. V. 49. № 1–2. P. 211.
- Minakov D.V., Paramonov M.A., Levashov P.R. Ab Initio Inspection of Thermophysical Experiments for Molybdenum near Melting // AIP Adv. 2018. V. 8. № 12. P. 125012.
- Paramonov M.A., Minakov D.V., Fokin V.B., Knyazev D.V., Demyanov G.S., Levashov P.R. Ab Initio Inspection of Thermophysical Experiments for Zirconium near Melting // J. Appl. Phys. 2022. V. 132. № 6. P. 065102.
- Knyazev D.V., Levashov P.R. Ab Initio Calculation of Transport and Optical Poperties of Aluminum: Influence of Simulation Parameters // Comput. Mater. Sci. 2013. V. 79. P. 817.
- Савватимский А.И., Коробенко В.Н. Высокотемпературные свойства металлов атомной энергетики (цирконий, гафний и железо при плавлении и в жидком состоянии). М.: Изд-во МЭИ, 2012. 216 с.
- Коробенко В.Н., Савватимский А.И. Свойства твердого и жидкого циркония // ТВТ. 1991. Т. 29. № 5. С. 883.
- Коробенко В.Н., Савватимский А.И. Измерение температуры циркония от температуры плавления до 4100 K с применением моделей черного тела в жидком состоянии // ТВТ. 2001. Т. 39. № 3. С. 518.
- Костановский А.В., Костановская М.Е. Определение теплоемкости в экспериментах импульсного электрического нагрева // ТВТ. 2021. Т. 59. № 5. С. 790.
- Коробенко В.Н., Савватимский А.И. Удельная теплоемкость жидкого циркония до 4100 К // ТВТ. 2001. Т. 39. № 5. С. 712.
- Савватимский А.И. Теплоемкость и электросопротивление металлов Ta и W от точки плавления до 7000 К при импульсном нагреве током // ТВТ. 2021. Т. 59. № 5. С. 686.
- Korobenko V.N., Savvatimski A.I., Sevostyanov K.K. Experimental Investigation of Solid and Liquid Zirconium // High Temp. – High Press. 2001. V. 33. № 6. P. 647.
- Савватимский А.И., Онуфриев С.В., Вальяно Г.Е., Киреева А.Н., Патрикеев Ю.Б. Электрическое сопротивление жидкого гадолиния (с содержанием углерода 29 ат. %) для температур 2000–4250 К // ТВТ. 2020. Т. 58. № 1. С. 148.
- Коробенко В.Н., Савватимский А.И. Температурная зависимость плотности и удельного электросопротивления жидкого циркония до 4100 K // ТВТ. 2001. Т. 39. № 4. С. 566.
- Korobenko V.N., Agranat M.B., Ashitkov S.I., Savvatimski A.I. Zirconium and Iron Densities in a Wide Range of Liquid States // Int. J. Thermophys. 2002. V. 23. P. 307.
- Коробенко В.Н., Савватимский А.И. Свойства жидкого циркония до 4100 К // ЖФХ. 2003. Т. 77. № 10. С. 1742.
- Беликов Р.С. Экспериментальное исследование теплофизических свойств системы Mo–C эвтектического состава и графита при высоких температурах. Дис. … канд. физ.-мат. наук. М.: ОИВТ РАН, 2018.
- Knyazev D.V., Levashov P.R. Thermodynamic, Transport, and Optical Properties of Dense Silver Plasma Calculated Using the Greekup Code // Contrib. Plasma Phys. 2019. V. 59. № 3. P. 345.
- Demyanov G.S., Knyazev D.V., Levashov P.R. Continuous Kubo–Greenwood Formula: Theory and Numerical Implementation // Phys. Rev. E. 2022. V. 105. № 3. P. 035307.
- Kresse G., Hafner J. Ab Initio Molecular Dynamics for Liquid Metals // Phys. Rev. B. 1993. V. 47. № 1. P. 558.
- Blöchl P.E. Projector Augmented-wave Method // Phys. Rev. B. 1994. V. 50. № 24. P. 17953.
- Fokin V., Minakov D., Levashov P. Ab Initio Calculations of Transport and Optical Properties of Dense Zr Plasma Near Melting // Symmetry. 2022. V. 15. № 1. P. 48.
- Desai P.D., James H.M., Ho C.Y. Electrical Resistivity of Vanadium and Zirconium // J. Phys. Chem. Ref. Data. 1984. V. 13. № 4. P. 1097.
- Milošević N.D., Maglić K.D. Thermophysical Properties of Solid Phase Zirconium at High Temperatures // Int. J. Thermophys. 2006. V. 27. P. 1140.
- Пелецкий В.Э., Бельская Э.А. Электрическое сопротивление тугоплавких металлов. Справ. М.: Энергоиздат, 1981.
Supplementary files





