Высокотемпературное деформирование гранулированного никелевого сплава
- Авторы: Абашев Д.Р.1, Бондарь В.С.1, Диковицкий П.О.1, Морозов С.В.1, Ларионова О.Е.1
-
Учреждения:
- Московский политехнический университет
- Выпуск: Том 61, № 6 (2023)
- Страницы: 886-890
- Раздел: Теплофизические свойства веществ
- URL: https://bakhtiniada.ru/0040-3644/article/view/252388
- DOI: https://doi.org/10.31857/S0040364423060017
- ID: 252388
Цитировать
Полный текст
Аннотация
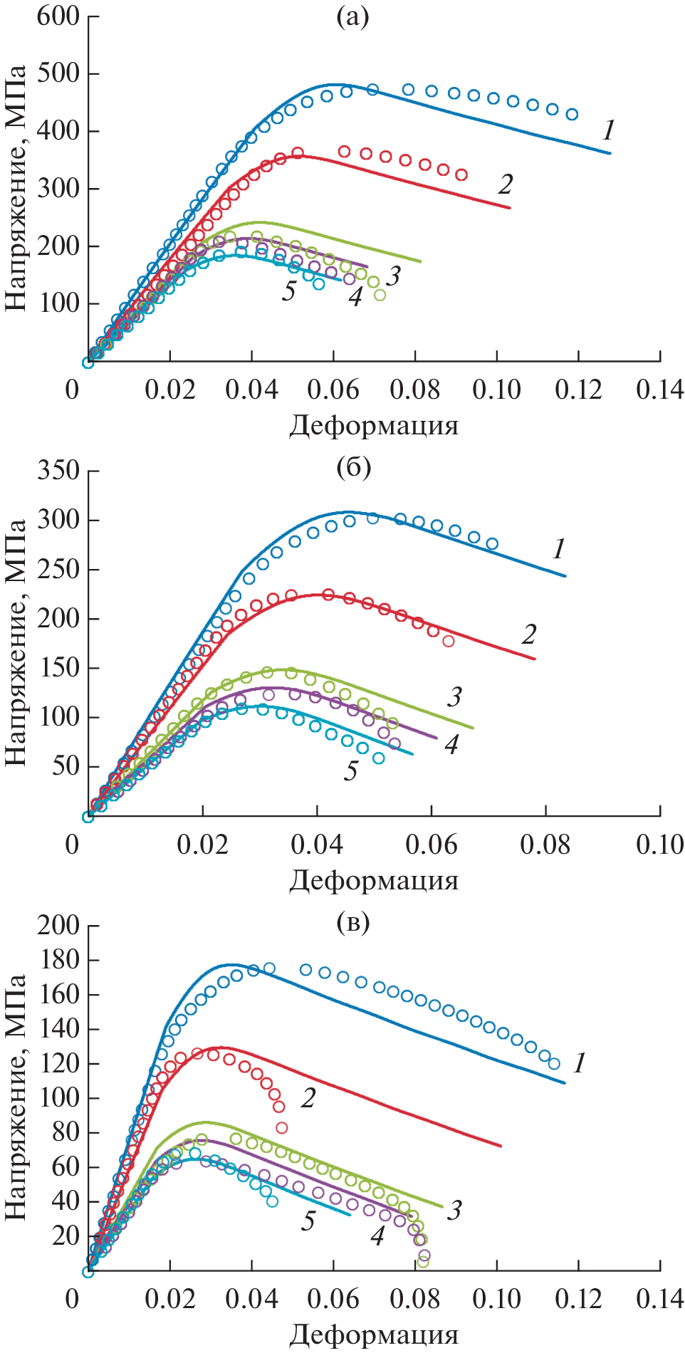
Предложен вариант теории термовязкопластичности, осуществляемый математическим моделированием вязкопластического поведения гранулированного никелевого сплава в условиях высоких температур и базирующийся на теории течения при комбинированном упрочнении. Вариант теории термовязкопластичности обобщен на неизотермическое нагружение и на зависимость процесса нагружения от скорости деформирования. Приведены результаты экспериментов на одноосное растяжение цилиндрических образцов из гранулированного никелевого сплава при высоких температурах и различных скоростях деформирования. Полученные расчетные диаграммы вязкопластического деформирования сопоставляются с экспериментальными. Наблюдается удовлетворительное согласие расчетных и экспериментальных результатов, что свидетельствует об адекватности разработанных варианта теории термовязкопластичности и метода идентификации материальных параметров.
Об авторах
Д. Р. Абашев
Московский политехнический университет
Email: tm@mospolytech.ru
Россия, Москва
В. С. Бондарь
Московский политехнический университет
Email: tm@mospolytech.ru
Россия, Москва
П. О. Диковицкий
Московский политехнический университет
Email: tm@mospolytech.ru
Россия, Москва
С. В. Морозов
Московский политехнический университет
Email: tm@mospolytech.ru
Россия, Москва
О. Е. Ларионова
Московский политехнический университет
Автор, ответственный за переписку.
Email: tm@mospolytech.ru
Россия, Москва
Список литературы
- Бурлаков И.А., Морозов С.В., Боровских И.А. Расчет технологических параметров изотермической раскатки дисков газотурбинных двигателей // Заготовительные производства в машиностроении. 2010. № 2. С. 28.
- Бурлаков И.А., Морозов С.В., Морозов С.В. Автоматическая линия для изотермической раскатки заготовок дисков газотурбинных двигателей // Заготовительные производства в машиностроении. 2012. № 5. С. 26.
- Целиков А.И., Казанская И.Л., Сафронов А.С. и др. Поперечно-клиновая прокатка в машиностроении. М.: Машиностроение, 1982. 192 с.
- Новожилов В.В., Кадашевич Ю.И. Микронапряжения в конструкционных материалах. Л.: Машиностроение, 1990. 224 с.
- Термопрочность деталей машин. Спр. / Под ред. Биргера И.А., Шорра Б.Ф. М.: Машиностроение, 1975. 455 с.
- Бондарь В.С. Неупругое поведение и разрушение материалов и конструкции при сложном неизотермическом нагружении. Дис. … докт. физ.-мат. наук. М.: Изд-во МАМИ, 1990. 314 с.
- Bondar V.S. Inelasticity. Variants of the Theory. N.Y.: Begell House, 2013. 194 p.
- Бондарь В.С., Горячева И.Г., Матвиенко Ю.Г. и др. Ресурс материалов и конструкций / Под общ. ред. Бондаря В.С. М.: Изд-во Моск. Политеха, 2019. 192 с.
- Волков И.А., Коротких Ю.Г. Уравнения состояния вязкоупругопластических сред с повреждениями. М.: Физматлит, 2008. 424 с.
- Темис Ю.М. Моделирование пластичности и ползучести конструкционных материалов ГТД // Матер. 49-й Междун. науч.-техн. конф. ААИ “Приоритеты развития отечественного автотракторостроения и подготовки инженерных научных кадров”. Школа-семинар “Современные модели термовязкопластичности”. Ч. 2. М.: МАМИ, 2005. С. 25.
- Armstrong P.J., Frederick C.O. A Mathematical Representation of the Multiaxial Bauscinger Effect. CEGB Rep. № RD/B/N/ 731. 1966.
- Кадашевич Ю.И. О различных тензорно-линейных соотношениях в теории пластичности // Исследования по упругости и пластичности. Сб. ст. Л.: Изд-во ЛГУ, 1967. Вып. 6. С. 39.
- Chaboche J.-L. A Rreview of Some Plasticity and Viscoplasticity Constitutive Theories // Int. J. Plasticity. 2008. V. 24. P. 1642.
- Bondar V.S., Abashev D.R. Nonisothermic Cyclic Deformation of 12Cr18Ni10Ti Steel under High Temperatures // Hihg Temp. 2022. V. 60. № 1. P. 134.
- Кибардин В.Ю., Кукуджанов В.Н. Численное моделирование локализации пластической деформации и разрушения упругопластических материалов // Изв. РАН. МТТ. 2000. № 1. С. 109.
- Кукуджанов В.Н., Кибардин В.Ю. Численное моделирование локализации деформаций и разрушения упруговязкопластических материалов // Изв. РАН. МТТ. 2001. № 1. С. 113.
- Пэжина П. Основные вопросы вязкопластичности. М.: Мир, 1968. 176 с.
Дополнительные файлы



