Новая корреляционная модель теплопроводности жидких гидрофторхлорпроизводных олефинов, гидрофторуглеродов и гидрохлорфторуглеродов
- Авторы: Рыков С.В.1, Кудрявцева И.В.1, Рыков В.А.1
-
Учреждения:
- Университет ИТМО
- Выпуск: Том 61, № 6 (2023)
- Страницы: 842-852
- Раздел: Теплофизические свойства веществ
- URL: https://bakhtiniada.ru/0040-3644/article/view/252383
- DOI: https://doi.org/10.31857/S0040364423050149
- ID: 252383
Цитировать
Полный текст
Аннотация
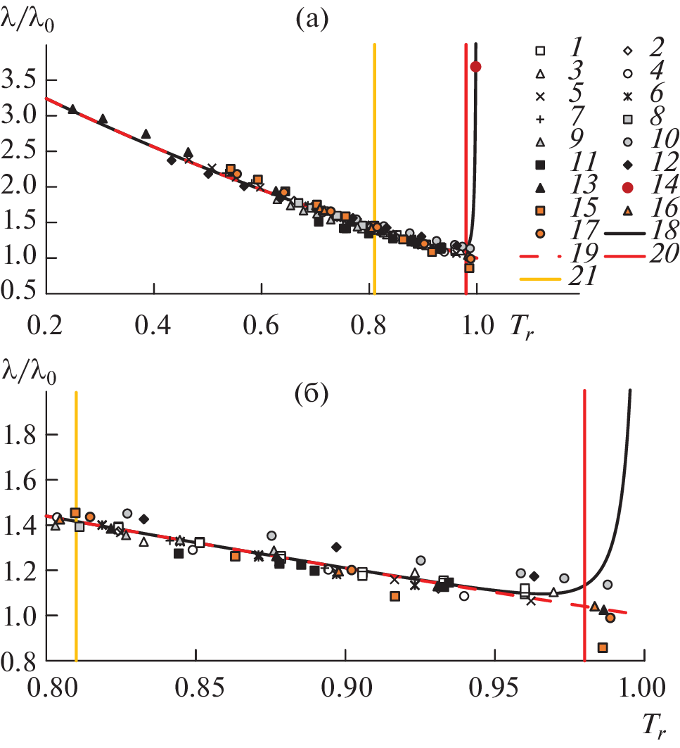
Разработана корреляционная зависимость теплопроводности \({{\lambda }_{s}}\) жидких хладагентов на линии насыщения в виде простой функции от температуры \(T\): \({{\lambda }_{s}}{\text{/}}{{\lambda }_{0}} = {{(1 + \tau )}^{2}} + A{{\tau }^{{ - \chi }}}\) (где \({{\lambda }_{0}}\) – критериальная единица, \(\tau = 1 - T{\text{/}}{{T}_{c}}\), \({{T}_{c}}\) – критическая температура). Данная зависимость удовлетворяет требованиям динамической масштабной теории, в частности предельному переходу \({{\lambda }_{s}}(T \to {{T}_{c}}) \to + \infty \). Предложенная корреляционная зависимость апробирована на примере описания теплопроводности 17 жидких веществ в диапазоне параметров состояния от линии насыщения до критического давления \({{p}_{c}}\), в интервале температур от температуры тройной точки Ttr до \({{T}_{c}}\). Рассмотренные вещества включают девять хладагентов четвертого поколения – гидрофторхлорпроизводных олефинов, семь гидрохлорфторуглеродов и гидрофторуглеродов, а также C3H8. На примере описания \({{\lambda }_{s}}\) C3H8 показано, что предложенная корреляционная зависимость не только качественно, но и количественно точно передает поведение \({{\lambda }_{s}}\) в окрестности критической точки. На основе статистического анализа показано, что предложенная корреляция с существенно меньшей неопределенностью описывает данные о теплопроводности жидких гидрофторхлорпроизводных олефинов как на линии насыщения, так и в однофазной области. На основе предложенной методики впервые в интервале температур \(134.3 \leqslant T \leqslant 373.15\) К рассчитана теплопроводность цис-изомера R1225ye(Z).
Об авторах
С. В. Рыков
Университет ИТМО
Email: togg1@yandex.ru
Россия, Санкт-Петербург
И. В. Кудрявцева
Университет ИТМО
Email: togg1@yandex.ru
Россия, Санкт-Петербург
В. А. Рыков
Университет ИТМО
Автор, ответственный за переписку.
Email: togg1@yandex.ru
Россия, Санкт-Петербург
Список литературы
- Рыков С.В., Кудрявцева И.В. Теплопроводность жидких гидрофторолефинов и гидрохлорфторолефинов на линии насыщения // ЖФХ. 2022. Т. 96. № 10. С. 1421.
- Кудрявцева И.В., Рыков С.В., Рыков В.А. Математическое моделирование теплопроводности жидких гидрофторолефинов // Научно-технический вестник Поволжья. 2021. № 12. С. 205.
- Цветков О.Б., Митропов В.В., Лаптев Ю.А. Теплопроводность жидких гидрофторхлорпроизводных олефинов. Корреляции и априорные оценки // Вестник Международной академии холода. 2021. № 3. С. 75.
- Tsvetkov O.B., Mitropov V.V., Prostorova A.O., Laptev Yu.A. Thermal Conductivity Prediction of Trans-1-Chloro-3,3,3-Trifluoropropene (R1233zd (E)) // J. Phys.: Conf. Ser. 2020. V. 1683. 032021.
- Di Nicola G., Ciarrocchi E., Coccia G., Pierantozzi M. Correlations of Thermal Conductivity for Liquid Refrigerants at Atmospheric Pressure or near Saturation // Int. J. Refrig. 2014. V. 45. P. 168.
- Tomassetti S., Coccia G., Pierantozzi M., Di Nicola G. Correlations for Liquid Thermal Conductivity of Low GWP Refrigerants in the Reduced Temperature Range 0.4 to 0.9 from Saturation Line to 70 MPa // Int. J. Refrig. 2020. V. 117. P. 358.
- Di Nicola G., Pierantozzi M., Petrucci G., Stryjek R. Equation for the Thermal Conductivity of Liquids and an Artificial Neural Network // J. Thermophys. Heat Transfer. 2016. V. 30. P. 1.
- Yang S., Tian J., Jiang H. Corresponding State Principle Based Correlation for the Thermal Conductivity of Saturated Refrigerants Liquids from Ttr to 0.90Tc // Fluid Phase Equilib. 2020. V. 509. P. 112459.
- Amooey A.A. A New Equation for the Thermal Conductivity of Liquid Refrigerants over Wide Temperature and Pressure Ranges // J. Eng. Phys. Thermophys. 2017. V. 90. № 2. P. 392.
- Ishida H., Mori S., Kariya K., Miyara A. Thermal Conductivity Measurements of Low GWP Refrigerants with Hot-wire Method // 24th Int. Congress of Refrigeration (ICR). Yokohama, August 16–22, 2015. P. 683.
- Alam Md.J., Yamaguchi K., Hori Y., Kariya K., Miyara A. Measurement of Thermal Conductivity and Viscosity of cis-1-Chloro-2,3,3,3-tetrafluoropropene (R-1224yd(Z)) // Int. J. Refrig. 2019. V. 104. P. 221.
- Alam Md.J., Islam M.A., Kariya K., Miyara A. Measurement of Thermal Conductivity and Correlations at Saturated State of Refrigerant trans-1-Chloro-3,3,3-trifluoropropene (R-1233zd(E)) // Int. J. Refrig. 2018. V. 90. P. 174.
- Perkins R.A., Huber M.L. Measurement and Correlation of the Thermal Conductivity of trans-1-Chloro-3,3,3-trifluoropropene (R1233zd(E)) // J. Chem. Eng. Data. 2017. V. 62. P. 2659.
- Perkins R.A., Huber M.L. Measurement and Correlation of the Thermal Conductivity of 2,3,3,3-Tetrafluoroprop-1-ene (R1234yf) and trans-1,3,3,3-Tetrafluoropropene (R1234ze(E)) // J. Chem. Eng. Data. 2011. V. 56. P. 4868.
- Kim D., Liu H., Yang X., Yang F., Morfitt J., Arami-Niya A., Ryu M., Duan Y., May E.F. Thermal Conductivity Measurements and Correlations of Pure R1243zf and Binary Mixtures of R32 + R1243zf and R32 + R1234yf // Int. J. Refrig. 2021. V. 131. P. 990.
- Mondal D., Kariya K., Tuhin A.R., Miyoshi K., Miyara A. Thermal Conductivity Measurement and Correlation at Saturation Condition of HFO Refrigerant trans-1,1,1,4,4,4-Hexafluoro-2-butene (R1336mzz(E)) // Int. J. Refrig. 2021. V. 129. P. 109.
- Haowen G., Xilei W., Yuan Zh., Zhikai G., Xiaohong H., Guangming Ch. Experimental and Theoretical Research on the Saturated Liquid Thermal Conductivity of HFO-1336mzz(E) // Ind. Eng. Chem. Res. 2021. V. 60. P. 9592.
- Alam Md., Islam J.M.A., Kariya K., Miyara A. Measurement of Thermal Conductivity of cis-1,1,1,4,4,4-Hexafluoro-2-butene (R-1336mzz(Z)) by the Transient Hot-wire Method // Int. J. Refrig. 2017. V. 84. P. 220.
- Perkins R.A., Huber M.L. Measurement and Correlation of the Thermal Conductivity of cis-1,1,1,4,4,4-Hexafluoro-2-butene // Int. J. Thermophys. 2020. V. 41. P. 103.
- Miyara A., Fukuda R., Tsubaki K. Thermal Conductivity of Saturated Liquid of R1234ze(E) + R32 and R1234yf + R32 Mixtures // Trans. JSRAE. 2011. V. 28. P. 435.
- Perkins R.A., Huber M.L., Assael M.J. Measurements of the Thermal Conductivity of 1,1,1,3,3-Pentafluoropropane (R245fa) and Correlations for the Viscosity and Thermal Conductivity Surfaces // J. Chem. Eng. Data. 2016. V. 61. P. 3286.
- Yata J., Hori M., Niki M., Isono Y., Yanagitani Y. Coexistence Curve of HFC-134a and Thermal Conductivity of HFC-245fa // Fluid Phase Equilib. 2000. V. 174. P. 221.
- Froba A.P., Krzeminski K., Leipertz A. Thermophysical Properties of 1,1,1,3,3-Pentafluorobutane (R365mfc) // Int. J. Thermophys. 2004. V. 25. P. 987.
- Assael M.J., Karagiannidis E. Measurements of the Thermal Conductivity of R22, R123, and R134a in the Temperature Range 250–340 K at Pressures up to 30 MPa // Int. J. Thermophys. 1993. V. 14. P. 183.
- Gross U., Song Y.W., Hahne E. Thermal Conductivity of the New Refrigerants R134a, R152a, and R123 Measured by the Transient Hot-wire Method // Int. J. Thermophys. 1992. V. 13. P. 957.
- Tanaka Y., Miyake A., Kashiwagi H., Makita T. Thermal Conductivity of Liquid Halogenated Ethanes under High Pressures // Int. J. Thermophys. 1988. V. 9. P. 465.
- Tanaka Y., Sotani T. Thermal Conductivity and Viscosity of 2,2-Dichioro-1,1,1-Trifluoroethane (HCFC-123) // Int. J. Thermophys. 1996. V. 17. P. 293.
- Tsvetkov O.B., Laptev Yu.A., Asambaev A.G. Thermal Conductivity of Refrigerants R123, R134a, and R125 at Low Temperatures // Int. J. Thermophys. 1994. V. 15. P. 203.
- Ueno Y., Kobayashi Y., Nagasaka Y., Nagashima A. Thermal Conductivity of CFC Alternatives: Measurements of HCFC-123 and HFC-134a in the Liquid Phase by the Transient Hot-wire Method // Trans. JSME. Ser. B. 1991. V. 57. № 541. P. 3169.
- Gurova A.N., Mardolcar U.V., Nieto de Castro C.A. The Thermal Conductivity of Liquid 1,1,1,2-Tetrafluoroethane (HFC 134a) // Int. J. Thermophys. 1997. V. 18. P. 1077.
- Jeong S.U., Kim M.S., Ro S.T. Liquid Thermal Conductivity of Binary Mixtures of Pentafluoroethane (R125) and 1,1,1,2-Tetrafluoroethane (R134a) // Int. J. Thermophys. 1999. V. 20. P. 55.
- Laesecke A., Perkins R.A., Nieto de Castro C.A. Thermal Conductivity of R134a // Fluid Phase Equilib. 1992. V. 80. P. 263.
- Papadaki M., Schmitt M., Seitz A., Stephan K., Taxis B., Wakeham W.A. Thermal Conductivity of R134a and R141b within the Temperature Range 240–307 K at the Saturation Vapor Pressure // Int. J. Thermophys. 1993. V. 14. P. 173.
- Ro S.T., Kim J.Y., Kim D.S. Thermal Conductivity of R32 and Its Mixture with R134a // Int. J. Thermophys. 1995. V. 16. P. 1193.
- Kim S.H., Kim D.S., Kim M.S., Ro S.T. The Thermal Conductivity of R22, R142b, R152a, and Their Mixtures in the Liquid State // Int. J. Thermophys. 1993. V. 14. P. 937.
- Perkins R.A., Laesecke A., Nieto de Castro C.A. Polarized Transient Hot Wire Thermal Conductivity Measurements // Fluid Phase Equilib. 1992. V. 80. P. 275.
- Sousa A.T., Fialho P.S., Nieto de Castro C.A., Tufeu R., Le Neindre B. The Thermal Conductivity of 1-Chloro-1,1-Difluoroethane (HCFC-142b) // Int. J. Thermophys. 1992. V. 13. P. 383.
- Yata J., Hori M., Kurahashi T., Minamiyama T. Thermal Conductivity of Alternative FIuorocarbons in Liquid Phase // Fluid Phase Equilib. 1992. V. 80. P. 287.
- Haynes W.M. Thermophysical Properties of HFC-143a and HFC-152a. Final Report for ARTI MCLR Project № 660-50800. Boulder, CO: NIST, 1994.
- Yata J., Hori M., Kobayashi K., Minamiyama T. Thermal Conductivity of Alternative Refrigerants in the Liquid Phase // Int. J. Thermophys. 1996. V. 17. P. 561.
- Gross U., Songa Y.W., Hahne E. Measurements of Liquid Thermal Conductivity and Diffusivity by the Transient Hot-strip Method // Fluid Phase Equilib. 1992. V. 76. P. 273.
- Gurova A.N., Mardolcar U.V., Nieto de Castro C.A. Thermal Conductivity of 1,1-Difluoroethane (HFC-152a) // Int. J. Thermophys. 1999. V. 20. P. 63.
- Marsh K.N., Perkins R.A., Ramires M.L.V. Measurement and Correlation of the Thermal Conductivity of Propane from 86 K to 600 K at Pressures to 70 MPa // J. Chem. Eng. Data. 2002. V. 47. P. 932.
- Филиппов Л.П. Прогнозирование теплофизических свойств жидкостей и газов. М.: Энергоатомиздат, 1988. 168 с.
- Kolobaev V.A., Popov P.V., Kozlov A.D., Rykov S.V., Kudryavtseva I.V., Rykov V.A., Sverdlov A.V., Ustyuzhanin E.E. Methodology for Constructing the Equation of State and Thermodynamic Tables for a New Generation Refrigerant // Measurement Techniques. 2021. V. 64. P. 109.
- Цветков О.Б., Лаптев Ю.А., Митропов В.В. Стереоизометрические особенности теплопроводности галопропенов на линии насыщенной жидкости // Материалы Восьмой Российской национальной конференции по теплообмену. Москва, 17–22 октября 2022. В 2-х т. Т. 2. М.: Изд-во МЭИ, 2022. С. 217.
- Richter M., McLinden M.O., Lemmon E.W. Thermodynamic Properties of 2,3,3,3-Tetrafluoroprop-1-ene (R1234yf): Vapor Pressure and p-ρ-T Measurements and an Equation of State // J. Chem. Eng. Data. 2011. V. 56. P. 3254.
- Fang Y., Ye G., Ni H., Jiang Q., Bao K., Han X., Chen G. Vapor−Liquid Equilibrium for the Binary Systems 1,1,2,3,3,3-Hexafluoro-1-propene (R1216) + 2,3,3,3-Tetrafluoroprop-1-ene (R1234yf) and 1,1,2,3,3,3-Hexafluoro-1-propene (R1216) + trans-1,3,3,3-Tetrafluoropropene (R1234ze(E)) // J. Chem. Eng. Data. 2020. V. 65. P. 4215.
- Fedele L., Bobbo S., Scattolini M., Zilio C., Akasaka R. HCFO Refrigerant cis-1-Chloro-2,3,3,3 Tetrafluoropropene [R1224yd(Z)]: Experimental Assessment and Correlation of the Liquid Density // Int. J. Refrig. 2020. V. 118. P. 139.
- Mondéjar M.E., McLinden M.O., Lemmon E.W. Thermodynamic Properties of trans-1-Chloro-3,3,3-trifluoropropene (R1233zd(E)): Vapor Pressure, (p, ρ, T) Behavior, and Speed of Sound Measurements, and Equation of State // J. Chem. Eng. Data. 2015. V. 60. P. 2477.
- Thol M., Lemmon E.W. Equation of State for the Thermodynamic Properties of trans-1,3,3,3-Tetrafluoropropene [R-1234ze(E)] // Int. J. Thermophys. 2016. V. 37. P. 28.
- Di Nicola G., Brown J.S., Fedele L., Bobbo S., Zilio C. Saturated Pressure Measurements of trans-1,3,3,3-Tetrafluoroprop-1-ene (R1234ze(E)) for Reduced Temperatures Ranging from 0.58 to 0.92 // J. Chem. Eng. Data. 2012. V. 57. P. 2197.
- Akasaka R., Lemmon E.W. Fundamental Equations of State for cis-1,3,3,3-Tetrafluoropropene [R-1234ze(Z)] and 3,3,3-Trifluoropropene (R-1243zf) // J. Chem. Eng. Data. 2019. V. 64. P. 4679.
- Sakoda N., Higashi Y., Akasaka R. Measurements of PvT Properties, Vapor Pressures, Saturated Densities, and Critical Parameters for trans-1,1,1,4,4,4-Hexafluoro-2-butene (R1336mzz(E)) // J. Chem. Eng. Data. 2021. V. 66. P. 734.
- McLinden M.O., Akasaka R. Thermodynamic Properties of cis-1,1,1,4,4,4-Hexafluorobutene [R‑1336mzz(Z)]: Vapor Pressure, (p, ρ, T) Behavior, and Speed of Sound Measurements and Equation of State // J. Chem. Eng. Data. 2020. V. 65. P. 4201.
- Lemmon E.W., Huber M.L., McLinden M.O. Refprop: Reference Fluid Thermodynamic and Transport Properties, NIST Standard Reference Database. Version 9.1, National Institute of Standard and Technology, Gaithersburg, MD, 2018.
- Lemmon E.W., Span R. Thermodynamic Properties of R-227ea, R-365mfc, R-115, and R-13I1 // J. Chem. Eng. Data. 2015. V. 60. P. 3745.
- Froba A.P., Krzeminski K., Leipertz A. Thermophysical Properties of 1,1,1,3,3-Pentafluorobutane (R365mfc) // Int. J. Thermophys. 2004. V. 25. P. 987.
- Lemmon E.W., McLinden M.O., Wagner W. Thermodynamic Properties of Propane. III. A Reference Equation of State for Temperatures from the Melting Line to 650 K and Pressures up to 1000 MPa // J. Chem. Eng. Data. 2009. V. 54. P. 3141.
- Fedele L., Di Nicola G., Brown J.S., Colla L., Bobbo S. Saturated Pressure Measurements of cis-Pentafluoroprop-1-ene (R1225ye(Z)) // Int. J. Refrig. 2016. V. 69. P. 243.
- Huber M.L. NISTIR 8209. Models for Viscosity, Thermal Conductivity, and Surface Tension of Selected Pure Fluids as Implemented in Refprop v10.0., 2018. 271 p.
- Perkins R.A., Sengers J.V., Abdulagatov I.M., Huber M.L. Simplified Model for the Critical Thermal-Conductivity Enhancement in Molecular Fluids // Int. J. Thermophys. 2013. V. 34. P. 191.
- Kadanoff L., Swift J. Transport Coefficients near the Liquid-gas Critical Point // Phis. Rev. 1968. V. 166. P. 89.
- Ма Ш. Современная теория критических явлений. М.: Мир, 1980. 298 с.
- Rykov V.A., Rykov S.V., Sverdlov A.V. Fundamental Equation of State for R1234yf // J. Phys.: Conf. Ser. 2019. V. 1385. 012013.
- Колобаев В.А., Рыков С.В., Кудрявцева И.В., Устюжанин Е.Е., Попов П.В., Рыков В.А., Козлов А.Д. Термодинамические свойства хладагента R1233zd(E): методика построения фундаментального уравнения состояния и табулированные данные // Измерительная техника. 2022. № 5. С. 22.
- Rykov S.V., Kudriavtseva I.V. Sverdlov A.V., Rykov V.A. Calculation Method of R1234yf Phase Equilibrium Curve within Temperature Range from 122.6 K to 367.85 K // AIP Conf. Proc. 2020. V. 2285. 030070.
- Le Guillou J.C., Zinn-Justin J. Accurate Critical Exponents from the -expansion // J. Phis. Lett. 1985. V. 46. P. 137.
- Киселев С.Б. Масштабное уравнение состояния индивидуальных веществ и бинарных растворов в широкой окрестности критических точек // Обзоры по теплофизическим свойствам веществ. М.: Изд-во ИВТАН, 1989. № 2(76). 150 с.
- Kudryavtseva I.V., Rykov V.A., Rykov S.V., Ustyuzhanin E.E. A New Variant of a Scaling Hypothesis and a Fundamental Equation of State Based on It // J. Phys.: Conf. Ser. 2018. V. 946. 012118.
- Форсайт Дж., Малькольм Н., Моулер К. Машинные методы математических вычислений. М.: Мир, 1980. 280 с.
- Le Neindre B. Measurements of the Thermal Conductivity of Propane at the Approach of the Coexistence Line // Fluid Phase Equilib. 2017. V. 450. P. 1.
- Pierantozzi M., Tomassetti S., Di Nicola G. Modeling Liquid Thermal Conductivity of Low-GWP Refrigerants Using Neural Networks // Appl. Sci. 2023. V. 13. P. 260.
- Advances in New Heat Transfer Fluids: From Numerical to Experimental Techniques. 2017. Taylor & Francis Group, 523 p.
- Rykov S.V., Kudryavtseva I.V., Rykov V.A., Ustyuzhanin E.E. Description of the Liquid–Vapor Phase Equilibrium Line of Pure Substances within the Bounds of Scale Theory Based on the Clapeyron Equation // J. Phys.: Conf. Ser. 2021. V. 2057. 012113.
- Рыков С.В., Кудрявцева И.В., Рыков В.А. Анализ методов расчета теплопроводности новых жидких гидрофторхлорпроизводных олефинов на линии насыщения // Вестник Международной академии холода. 2022. № 2. С. 70.
- Tomassetti S., Di Nicola G., Kondou Ch. Triple Point Measurements for New Low-global-warming-potential Refrigerants: Hydro-fluoro-olefins, Hydro-chloro-fluoro-olefins, and Trifluoroiodomethane // Int. J. Refrig. 2022. V. 133. P. 172.
Дополнительные файлы







