Self-Organization of Clusters of Active Brownian Particles in a Colloidal Plasma under the Action of Laser Radiation
- Authors: Vasiliev M.M.1, Alekseevskaya A.A.1, Koss K.G.1, Vasilieva E.V.1, Petrov O.F.1
-
Affiliations:
- Joint Institute for High Temperatures, Russian Academy of Sciences
- Issue: Vol 61, No 6 (2023)
- Pages: 825-829
- Section: Исследование плазмы
- URL: https://bakhtiniada.ru/0040-3644/article/view/252380
- DOI: https://doi.org/10.31857/S0040364423060170
- ID: 252380
Cite item
Full Text
Abstract
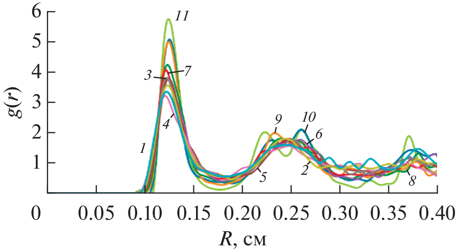
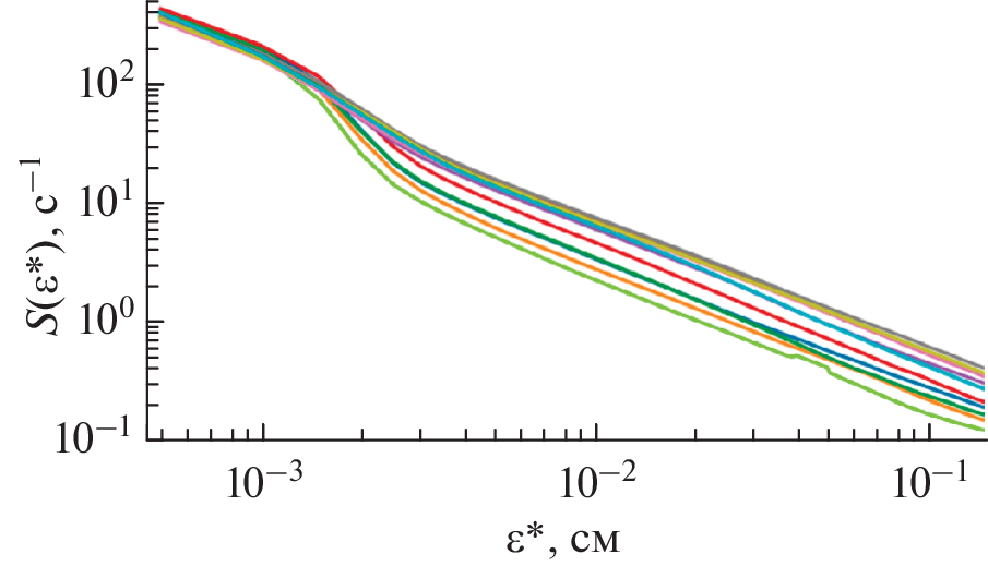
Clusters of active Brownian particles in gas-discharge plasma are considered as open systems with energy exchange with the environment. The evolution of a cluster of 19 active Brownian particles with a partially absorbing metal surface (so-called Janus particles) when exposed to intense laser radiation is shown. The formation of strongly correlated clusters of charged particles with increasing laser radiation power was observed experimentally. Based on an analysis of the trajectories of particles, the region of their localization, and changes in their kinetic energy, fractal dimension, and dynamic entropy for different values of laser radiation power density, the self-organization of a cluster of strongly interacting particles in the plasma of a high-frequency glow discharge is studied.
About the authors
M. M. Vasiliev
Joint Institute for High Temperatures, Russian Academy of Sciences
Email: vasiliev@ihed.ras.ru
Moscow, Russia
A. A. Alekseevskaya
Joint Institute for High Temperatures, Russian Academy of Sciences
Email: vasiliev@ihed.ras.ru
Moscow, Russia
K. G. Koss
Joint Institute for High Temperatures, Russian Academy of Sciences
Email: vasiliev@ihed.ras.ru
Moscow, Russia
E. V. Vasilieva
Joint Institute for High Temperatures, Russian Academy of Sciences
Email: vasiliev@ihed.ras.ru
Moscow, Russia
O. F. Petrov
Joint Institute for High Temperatures, Russian Academy of Sciences
Author for correspondence.
Email: vasiliev@ihed.ras.ru
Moscow, Russia
References
- Ebeling W., Feistel R. Physics of Self-organization and Evolution. Weinheim: Wiley‒VCH, 2011.
- Prigogine I., Nicolis G., Babloyantz A. Thermodynamics of Evolution // Phys. Today. 1972. V. 25. № 11. P. 23.
- Petrosky T.Y., Prigogine I. Laws and Events: The Dynamical Basis of Self-organization // Canad. J. Phys. 1990. V. 68. № 9. P. 670.
- Shields C.W. IV, Velev O.D. The Evolution of Active Particles: Toward Externally Powered Self-propelling and Self-reconfiguring Particle Systems // Chem. 2017. V. 3. № 4. P. 539.
- Petrov O.F., Statsenko K.B., Vasiliev M.M. Active Brownian Motion of Strongly Coupled Charged Grains Driven by Laser Radiation in Plasma // Sci. Rep. 2022. V. 12. № 1. P. 8618.
- Su H., Hurd Price C.A., Jing L., Tian Q., Liu J., Qian K. Janus Particles: Design, Preparation, and Biomedical Applications // Mater. Today Bio. 2019. V. 4. P. 100033.
- Deng D., Argon A.S., Yip S. A Molecular Dynamics Model of Melting and Glass Transition in an Idealized Two-dimensional Material I // Phil. Trans. R. Soc. Lond. A. 1989. V. 329. 549.
- Allegrini P., Douglas J.F., Glotzer S.C. Dynamic Entropy as a Measure of Caging and Persistent Particle Motion in Supercooled Liquids // Phys. Rev. E. 1999. V. 60. P. 5714.
- Gaspard P., Wang X.-J. Noise, Chaos, and (ε, τ)-Entropy per Unit Time // Phys. Rep. 1993. V. 235. № 6. P. 291.
- Gaspard P., Nicolis G. Transport Properties, Lyapunov Exponents, and Entropy per Unit Time // Phys. Rev. Lett. 1990. V. 65. P. 1693.
- Mandelbrot B.B. The Fractal Geometry of Nature. San Francisco: W.H. Freeman and Co., 1982.
- Koss X.G., Petrov O.F., Statsenko K.B., Vasiliev M.M. Small Systems of Laser-driven Active Brownian Particles: Evolution and Dynamic Entropy // EPL. 2018. V. 124. P. 45 001.
Supplementary files










