Studying the Dynamics of Wave Processes of Compression and Expansion in Palladium under Picosecond Laser Action
- Authors: Semenov A.Y.1,2, Abrosimov S.A.1, Stuchebryukhov I.A.1,3, Khishchenko K.V.2,4,5,6
-
Affiliations:
- Prokhorov General Physics Institute of the Russian Academy of Sciences
- Moscow Institute of Physics and Technology
- Lebedev Physical Institute of the Russian Academy of Sciences,
- Joint Institute for High Temperatures of the Russian Academy of Sciences
- South Ural State University
- Federal Research Center of Problems of Chemical Physics and Medical Chemistry of the Russian Academy of Sciences
- Issue: Vol 61, No 4 (2023)
- Pages: 542-548
- Section: Articles
- URL: https://bakhtiniada.ru/0040-3644/article/view/232748
- DOI: https://doi.org/10.31857/S0040364423040130
- ID: 232748
Cite item
Full Text
Abstract
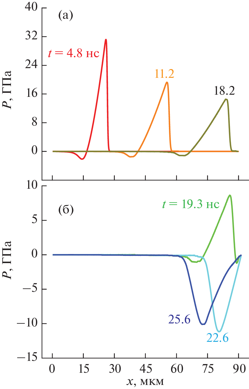
The processes in a flat palladium target irradiated with an intense picosecond laser pulse are studied. In the experiment, the parameters of the irradiating pulse, as well as the depth of the spall cavity formed as a result of the complex flow of compression and expansion waves through the substance are determined. The interaction dynamics of these waves are modeled using a new equation of state for palladium over a wide range of densities and pressures. Based on the results of the experiment and numerical simulation, the maximum tensile stress in the spall plane at a high tensile rate is estimated.
About the authors
A. Yu. Semenov
Prokhorov General Physics Institute of the Russian Academy of Sciences; Moscow Institute of Physics and Technology
Email: konst@ihed.ras.ru
Moscow, Russia; Dolgoprudny, Russia
S. A. Abrosimov
Prokhorov General Physics Institute of the Russian Academy of Sciences
Email: konst@ihed.ras.ru
Moscow, Russia
I. A. Stuchebryukhov
Prokhorov General Physics Institute of the Russian Academy of Sciences; Lebedev Physical Institute of the Russian Academy of Sciences,
Email: konst@ihed.ras.ru
Moscow, Russia; Moscow, Russia
K. V. Khishchenko
Moscow Institute of Physics and Technology; Joint Institute for High Temperatures of the Russian Academy of Sciences; South Ural State University; Federal Research Center of Problems of Chemical Physics and Medical Chemistry of the Russian Academy of Sciences
Author for correspondence.
Email: konst@ihed.ras.ru
Dolgoprudny, Russia; Moscow, Russia; Chelyabinsk, Russia; Chernogolovka, Russia
References
- Physics of High Energy Density / Eds. Caldirola P., Knoepfel H. N.Y.: Acad. Press, 1971.
- Анисимов С.И., Прохоров А.М., Фортов В.Е. Применение мощных лазеров для исследования вещества при сверхвысоких давлениях // УФН. 1984. Т. 142. № 3. С. 395.
- Фортов В.Е. Физика высоких плотностей энергии. М.: Физматлит, 2013.
- Krasyuk I.K., Pashinin P.P., Semenov A.Yu., Khishchenko K.V., Fortov V.E. Study of Extreme States of Matter at High Energy Densities and High Strain Rates with Powerful Lasers // Laser Phys. 2016. V. 26. № 9. P. 094001.
- Kanel G.I., Fortov V.E., Khishchenko K.V., Utkin A.V., Razorenov S.V., Lomonosov I.V., Mehlhorn T. et al. Thin Foil Acceleration Method for Measuring the Unloading Isentropes of Shock-Compressed Matter // AIP Conf. Proc. 2000. V. 505. P. 1179.
- Уткин А.В., Мочалова В.М., Якушев В.В., Рыкова В.Е., Шакула М.Ю., Острик А.В., Ким В.В., Ломоносов И.В. Импульсное сжатие и растяжение композитов при ударно-волновом воздействии // ТВТ. 2021. Т. 59. № 2. С. 189.
- Кулиш М.И., Минцев В.Б., Дудин С.В., Николаев Д.Н., Ломоносов И.В., Фортов В.Е. Излучение кремния при давлении ударного сжатия 68 ГПа и в процессе разгрузки в вакуум // ТВТ. 2021. Т. 59. № 6. С. 865.
- Khishchenko K.V. Equation of State for Bismuth at High Energy Densities // Energies. 2022. V. 15. № 19. P. 7067.
- Ghat M., Mohamed A., Afify A.S. Физическое моделирование сплава Ti–6Al–4V над β-переходом при температурах 1010–1150°С и высоких скоростях деформации с использованием законов Гарофало и Хензеля–Шпиттеля // ТВТ. 2022. Т. 60. № 4. С. 529.
- Струлёва Е.В., Комаров П.С., Евлашин С.А., Ашитков С.И. Поведение магниевого сплава при высокоскоростной деформации под действием ударно-волновой нагрузки // ТВТ. 2022. Т. 60. № 5. С. 793.
- Povarnitsyn M.E., Itina T.E., Khishchenko K.V., Levashov P.R. Phase Transitions and Metastable States in Ultrashort Laser–Metal Interaction // AIP Conf. Proc. 2007. V. 955. P. 1341.
- Popova T.V., Mayer A.E., Khishchenko K.V. Numerical Investigations of Shock Wave Propagation in Polymethylmethacrylate // J. Phys.: Conf. Ser. 2015. V. 653. P. 012045.
- Ломоносов И.В., Фортова С.В. Широкодиапазонные полуэмпирические уравнения состояния вещества для численного моделирования высокоэнергетических процессов // ТВТ. 2017. Т. 55. № 4. С. 596.
- Фортова С.В., Уткин П.С., Казакова Т.С. Трехмерное численное моделирование развития неустойчивости контактной границы сталкивающихся металлических пластин в газодинамическом приближении // ТВТ. 2019. Т. 57. № 2. С. 262.
- Хохлов В.А., Жаховский В.В., Иногамов Н.А., Ашитков С.И., Ситников Д.С., Хищенко К.В., Петров Ю.В. и др. Плавление титана ударной волной, вызванной мощным фемтосекундным лазерным импульсом // Письма в ЖЭТФ. 2022. Т. 115. № 9. С. 576.
- Маевский К.К. Численное моделирование термодинамических параметров германия // ТВТ. 2022. Т. 60. № 6. С. 837.
- Абросимов С.А., Бажулин А.П., Воронов В.В., Красюк И.К., Пашинин П.П., Семенов А.Ю., Стучебрюхов И.А. и др. Исследование механических свойств алюминия, сплава АМг6М и полиметилметакрилата при высоких скоростях деформирования под действием лазерного излучения пикосекундной длительности // ДАН. 2012. Т. 442. № 6. С. 752.
- Абросимов С.А., Бажулин А.П., Большаков А.П., Конов В.И., Красюк И.К., Пашинин П.П., Ральченко В.Г. и др. Экспериментальное исследование поли- и монокристаллических алмазов при отрицательных давлениях, создаваемых действием пикосекундного лазерного импульса // ДАН. 2014. Т. 457. № 1. С. 41.
- Абросимов С.А., Бажулин А.П., Большаков А.П., Конов В.И., Красюк И.К., Пашинин П.П., Ральченко В.Г. и др. Изучение синтетических алмазов при растягивающих напряжениях, создаваемых пикосекундным лазерным воздействием // ПМТФ. 2015. Т. 56. № 1. С. 171.
- Бушман А.В., Ефремов В.П., Ломоносов И.В., Уткин А.В., Фортов В.Е. Ударная сжимаемость и уравнение состояния углепластика при высоких плотностях энергии // ТВТ. 1990. Т. 28. № 6. С. 1232.
- Ломоносов И.В., Фортов В.Е., Хищенко К.В. Модель широкодиапазонных уравнений состояния полимеров при высоких плотностях энергии // Хим. физика. 1995. Т. 14. № 1. С. 47.
- Хищенко К.В., Жерноклетов М.В., Ломоносов И.В., Сутулов Ю.Н. Динамическая сжимаемость, адиабаты разгрузки и уравнение состояния стильбена при высоких плотностях энергии // ЖТФ. 2005. Т. 75. № 2. С. 57.
- Khishchenko K.V. Equation of State of Hafnium at High Pressures in Shock Waves // Phys. Wave Phenom. 2023. V. 31. № 2. P. 123.
- Khishchenko K.V. Equation of State for Tantalum at High Pressures in Waves of Shock Compression and Isentropic Expansion // Phys. Wave Phenom. 2023. V. 31. № 4. P. 273.
- Хищенко К.В. Уравнение состояния алюминия при высоких давлениях // ТВТ. 2023. Т. 61. № 3. С. 477.
- LASL Shock Hugoniot Data / Ed. Marsh S.P. Berkeley, CA: University of California Press, 1980.
- Kulikovskii A.G., Pogorelov N.V., Semenov A.Yu. Mathematical Aspects of Numerical Solution of Hyperbolic Systems. Monographs and Surveys in Pure and Applied Mathematics. V. 118. Boca Raton, FL: Chapman & Hall/CRC, 2001.
- Куликовский А.Г., Погорелов Н.В., Семенов А.Ю. Математические вопросы численного решения гиперболических систем уравнений. М.: Физматлит, 2012.
- Courant R., Isaacson E., Rees M. On the Solution of Nonlinear Hyperbolic Differential Equations by Finite Differences // Commun. Pure Appl. Math. 1952. V. 5. № 3. P. 243.
- Semenov A.Yu., Stuchebryukhov I.A., Khishchenko K.V. Modeling of Shock-Wave Processes in Aluminum under the Action of a Short Laser Pulse // Math. Montis. 2021. V. 50. P. 108.
- Вовченко В.И., Красюк И.К., Пашинин П.П., Семёнов А.Ю. Широкодиапазонная зависимость абляционного давления от интенсивности лазерного излучения // ДАН. 1994. Т. 338. № 3. С. 322.
- Krasyuk I.K., Semenov A.Yu., Stuchebryukhov I.A., Khishchenko K.V. Experimental Verification of the Ablation Pressure Dependence upon the Laser Intensity at Pulsed Irradiation of Metals // J. Phys.: Conf. Ser. 2016. V. 774. P. 012110.
- Гинзбург В.Л., Шабанский В.П. Кинетическая температура электронов в металлах и аномальная электронная эмиссия // ДАН СССР. 1955. Т. 100. № 3. С. 445.
- Брагинский С.И. Явления переноса в полностью ионизованной двухтемпературной плазме // ЖЭТФ. 1957. Т. 33. № 2. С. 459.
- Caruso A., Gratton R. Interaction of Short Laser Pulses with Solid Materials // Plasma Phys. 1969. V. 11. № 10. P. 839.
- Анисимов С.И. О действии очень коротких лазерных импульсов на поглощающие вещества // ЖЭТФ. 1970. Т. 58. № 1. С. 337.
- Невский А.П. Об электронной температуре на поверхности металлов при воздействии мощных тепловых потоков // ТВТ. 1970. Т. 8. № 4. С. 898.
- Lin Z., Zhigilei L.V., Celli V. Electron-Phonon Coupling and Electron Heat Capacity of Metals under Conditions of Strong Electron-Phonon Nonequilibrium // Phys. Rev. B. 2008. V. 77. № 7. P. 075133.
- Андреев Н.Е., Вейсман М.Е., Костин В.В., Фортов В.Е. Формирование ударной волны под действием ультракоротких лазерных импульсов // ТВТ. 1996. Т. 34. № 3. С. 379.
- Каганов М.И., Лифшиц И.М., Танатаров Л.В. Релаксация между электронами и решеткой // ЖЭТФ. 1956. Т. 31. № 2. С. 232.
- Анисимов С.И., Капелиович Б.Л., Перельман Т.Л. Электронная эмиссия с поверхности металлов под действием ультракоротких лазерных импульсов // ЖЭТФ. 1974. Т. 66. № 2. С. 776.
- Андреев Н.Е., Вейсман М.Е., Ефремов В.П., Фортов В.Е. Генерация плотной горячей плазмы интенсивными субпикосекундными лазерными импульсами // ТВТ. 2003. Т. 41. № 5. С. 679.
- Агранат М.Б., Андреев Н.Е., Ашитков С.И., Вейсман М.Е., Левашов П.Р., Овчинников А.В., Ситников Д.С. и др. Определение транспортных и оптических свойств неидеальной плазмы твердотельной плотности при фемтосекундном лазерном воздействии // Письма в ЖЭТФ. 2007. Т. 85. № 6. С. 328.
- Veysman M.E., Agranat M.B., Andreev N.E., Ashitkov S.I., Fortov V.E., Khishchenko K.V., Kostenko O.F. et al. Femtosecond Optical Diagnostics and Hydrodynamic Simulation of Ag Plasma Created by Laser Irradiation of a Solid Target // J. Phys. B: At. Mol. Opt. Phys. 2008. V. 41. № 12. P. 125704.
- Khishchenko K.V., Veysman M.E., Andreev N.E., Fortov V.E., Levashov P.R., Povarnitsyn M.E. Modeling of Optical, Transport, and Thermodynamic Properties of Al Metal Irradiated by Intense Femtosecond Laser Pulses // Proc. SPIE. 2008. V. 7005. P. 70051S.
- Povarnitsyn M.E., Andreev N.E., Levashov P.R., Khishchenko K.V., Kim D.A., Novikov V.G., Rosmej O.N. Laser Irradiation of Thin Films: Effect of Energy Transformation // Laser Part. Beams. 2013. V. 31. № 4. P. 663.
- Meija J., Coplen T.B., Berglund M., Brand W.A., De Bievre P., Groning M., Holden N.E. et al. Atomic Weights of the Elements 2013 (IUPAC Technical Report) // Pure Appl. Chem. 2016. V. 88. № 3. P. 265.
- Smirnov N.A. Ab Initio Calculations for the Transport Properties of Metals within Boltzmann Transport Theory: From Equilibrium to Nonequilibrium Heating Regime // Phys. Rev. B. 2022. V. 106. № 2. P. 024109.
- Handbook of Mathematical Functions with Formulas, Graphs, and Mathematical Tables. Applied Mathematics Series / Eds. Abramowitz M., Stegun I.A. Washington, DC: United States Department of Commerce, National Bureau of Standards, 1972. V. 55.
- Ландау Л.Д., Лифшиц Е.М. Статистическая физика. Ч. 1. М.: Наука, 1995.
Supplementary files






