Simulation of Heat and Mass Transfer on Blunt Bodies under Aerodynamic Heating of High-Speed Aircraft
- Authors: Formalev V.F.1, Garibyan B.A.1, Kolesnik S.A.1
-
Affiliations:
- Moscow Aviation Institute (National Research University)
- Issue: Vol 61, No 3 (2023)
- Pages: 398-404
- Section: Articles
- URL: https://bakhtiniada.ru/0040-3644/article/view/232653
- DOI: https://doi.org/10.31857/S0040364423030092
- ID: 232653
Cite item
Full Text
Abstract
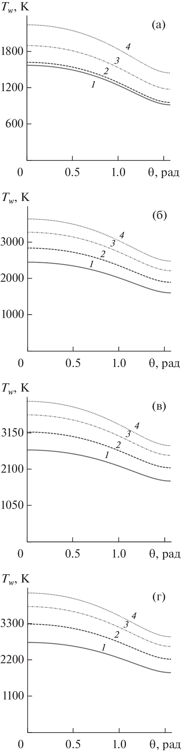
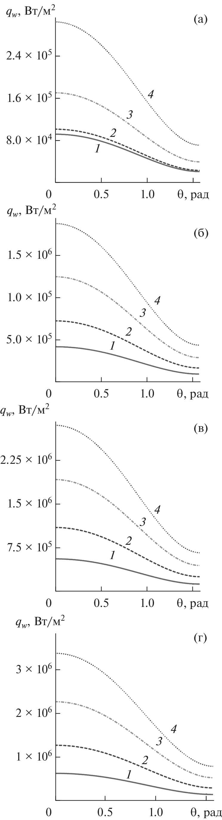
The heat and mass transfer between the dissociating boundary layer and the surface of blunt nose cones of high-speed aircraft in a wide range of Mach numbers is considered. Using Dorodnitsyn–Liz variables, the system of boundary layer equations is reduced to a system of nonlinear ordinary differential equations. Using reasonable assumptions, approximate analytical solutions were obtained for dynamic, thermal, and diffusion boundary layers, which made it possible to determine thermal and diffusion heat fluxes, which at the gas–solid boundary are coupled with the equation of heat conduction in the body with the coupling parameter being the temperature of the gas–solid boundary. From the found heat fluxes, the temperature fields in the body were determined in a wide range of free-stream Mach numbers and the catalytic recombination coefficient. The resulting heat fluxes on the frontal part of the nose cone exactly coincide with the experimental data.
About the authors
V. F. Formalev
Moscow Aviation Institute (National Research University)
Email: formalev38@yandex.ru
Moscow, Russia
B. A. Garibyan
Moscow Aviation Institute (National Research University)
Email: bagarib@yandex.ru
Moscow, Russia
S. A. Kolesnik
Moscow Aviation Institute (National Research University)
Author for correspondence.
Email: bagarib@yandex.ru
Moscow, Russia
References
- Лыков А.В. Тепломассообмен. М.: Энергия, 1978. 480 с.
- Зарубин В.С., Зимин В.Н., Леонов В.В., Зарубин В.С. Равновесная температура поверхности затупления баллистической капсулы при возвращении на Землю с параболической скоростью // Тепловые процессы в технике. 2021. Т. 13. № 11. С. 482.
- Формалев В.Ф., Колесник С.А. Математическое моделирование сопряженного теплообмена между вязкими газодинамическими течениями и анизотропными телами. Изд. 2-е, испр. и сущ. доп. М.: Ленанд, 2022. 348 с.
- Формалев В.Ф., Колесник С.А., Гарибян Б.А. Аналитическое решение задачи о сопряженном теплообмене между газодинамическим пограничным слоем и анизотропной полосой // Вестн. МГТУ им. Н.Э. Баумана. Сер. Естественные науки. 2020. № 5(92). С. 44.
- Формалев В.Ф., Колесник С.А., Гарибян Б.А. Математическое моделирование тепломассопереноса при аэродинамическом нагреве носовых частей гиперзвуковых летательных аппаратов // Вестн. МГТУ им. Н.Э. Баумана. Сер. Естественные науки. 2022. № 1(100). С. 107.
- Формалев В.Ф., Колесник С.А., Кузнецова Е.Л. Влияние компонентов тензора теплопроводности теплозащитного материала на величину тепловых потоков от газодинамического пограничного слоя // ТВТ. 2019. Т. 57. № 1. С. 66.
- Формалев В.Ф., Колесник С.А., Кузнецова Е.Л. Тепломассоперенос на боковых поверхностях затупленных носовых частей гиперзвуковых летательных аппаратов // ТВТ. 2021. Т. 59. № 5. С. 797.
- Быков Л.В., Никитин П.В., Пашков О.А. Математическая модель тепломассообмена на поверхностях теплонапряженных элементов гиперзвукового летательного аппарата // Тепловые процессы в технике. 2016. Т. 8. № 11. С. 482.
- Зотов А.А., Пашков О.А., Волков А.Н. Концепция системы активной тепловой защиты трехслойной конструктивно-силовой схемы гиперзвукового летательного аппарата с дискретным заполнителем // Деформация и разрушение материалов. 2022. № 3. С. 2.
- Кувыркин Г.Н., Савельева И.Ю., Журавский А.В. Моделирование теплофизических процессов при нанесении полупрозрачного покрытия на охлаждаемую криволинейную подложку // ТВТ. 2022. Т. 60. № 6. С. 916.
- Кузенов В.В., Рыжков С.В. Численное моделирование взаимодействия мишени магнитно-инерциального термоядерного синтеза с плазменным и лазерным драйверами // ТВТ. 2021. Т. 59. № 4. С. 492.
- Ryzhkov S.V., Kuzenov V.V. Analysis of the Ideal Gas Flow over Body of Basic Geometrical Shape // Int. J. Heat Mass Transfer. 2019. V. 132. P. 587.
- Карташов Э.М., Кудинов В.А. Аналитические методы теории теплопроводности и ее приложений. М.: Ленанд, 2018. 1078 с.
- Butusova O.A. Surface Modification of Titanium Dioxide Microparticles under Ultrasonic Treatment // Int. J. Pharmaceutical Res. 2020. V. 12. № 4. P. 2292.
- Butusova O.A. Stabilization of Carbon Microparticles by High-molecular Surfactants // Int. J. Pharmaceutical Res. 2020. V. 12. Suppl. № 2. P. 1147.
- Butusova O.A. Adsorption Behaviour of Ethylhydroxyethyl Cellulose on the Surface of Microparticles of Titanium and Ferrous Oxides // Int. J. Pharmaceutical Res. 2020. V. 12. Suppl. № 2. P. 1156.
- Ioni Yu.V., Butusova O.A. Preparation of Polymer Composite Material with Fe2O3 Nanoparticles Synthesized with Low-temperature Plasma under Ultrasonic Action // AIP Conf. Proc. 2021. V. 2402. 020035.
- Kaptakov M.O. Synthesis and Characterization of Polymer Composite Materials Based on Polyethylene and CuO Nanoparticles // AIP Conf. Proc. 2021. V. 2402. 020027.
- Bulychev N.A. Preparation of Stable Suspensions of ZnO Nanoparticles with Ultrasonically Assisted Low-temperature Plasma // Nanosci. Technol.: Int. J. 2021. V. 12. № 3. P. 91.
- Bulychev N.A. Study of Interaction of Surface-Active Polymers with ZnO Nanoparticles Synthesized in Ultrasonically Assisted Plasma Discharge // Nanosci. Technol.: Int. J. 2022. V. 13. № 1. P. 55.
- Дорренс У.Х. Гиперзвуковые течения вязкого газа. М.: Мир, 1966. 440 с.
- Никитин П.В., Сотник Е.В. Катализ и излучение в системах тепловой защиты космических аппаратов. М.: Янус-К, 2013. 435 с.
- Суржиков С.Т. Расчетное исследование аэротермодинамики гиперзвукового обтекания затупленных тел на примере анализа экспериментальных данных. М.: ИПМех РАН, 2011. 192 с.
- Лунев В.В. Гиперзвуковая аэродинамика. М.: Машиностроение, 1975.
- Брыкина И.Г. Приближенные аналитические решения для тепловых потоков при трехмерном гиперзвуковом обтекании затупленных тел // Изв. РАН. МЖГ. 2017. № 4. С. 125.
- Брыкина И.Г., Русаков В.В., Щербак В.Г. Соотношения подобия для расчета пространственного химически неравновесного гиперзвукового вязкого обтекания затупленных тел. Отчет НИИ механики МГУ № 3971. М., 1990. 47 с.
- Шлихтинг Г. Теория пограничного слоя. М.: Наука, 1969.
Supplementary files





