Temperature Dependences of the Heat Capacity and Thermodynamic Functions of Aluminum Conducting Alloy AlTi0.1 with Strontium
- Authors: Ganiev I.N.1, Faizulloev R.J.2, Zokirov F.S.3, Ganieva N.I.3
-
Affiliations:
- Nikitin Institute of Chemistry, National Academy of Sciences of Tajikistan
- Tajikistan Institute of Energy
- Tajik Technical University
- Issue: Vol 61, No 3 (2023)
- Pages: 376-381
- Section: Articles
- URL: https://bakhtiniada.ru/0040-3644/article/view/232641
- DOI: https://doi.org/10.31857/S0040364423030110
- ID: 232641
Cite item
Full Text
Abstract
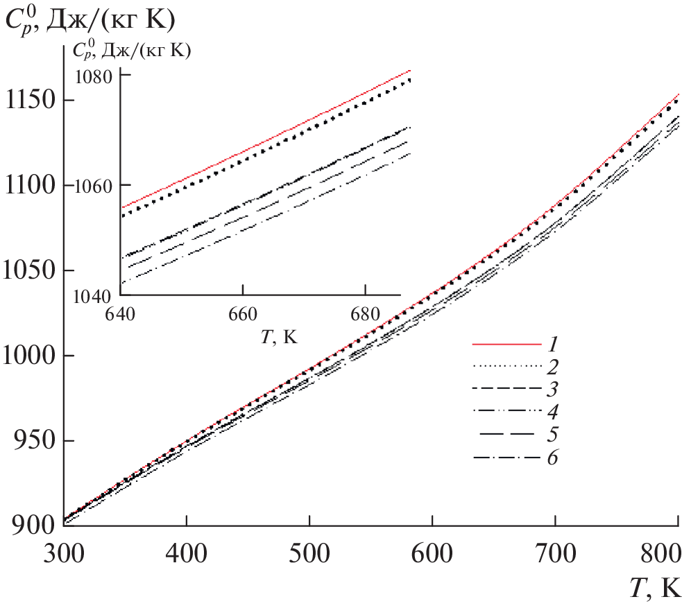
In this study, the heat capacity of the aluminum conducting alloy AlTi0.1 (Al + 0.1 wt % of Ti) with strontium in the cooling mode is determined using the known heat capacity of a standard sample of A5N grade high-purity aluminum (99.999% of Al). Equations were obtained to describe the cooling rates of samples of the AlTi0.1 alloy with strontium and the standard. Based on the calculated cooling rates of the samples, equations for the temperature dependence of the heat capacities of the alloys and the standard were formed. By integrating the specific heat, the temperature dependences of changes in enthalpy, entropy, and the Gibbs energy of the alloy under study were calculated. The heat capacity, enthalpy, and entropy of AlTi0.1 decrease with increasing strontium concentration and increase with temperature; the value of the Gibbs energy has an inverse relationship.
About the authors
I. N. Ganiev
Nikitin Institute of Chemistry, National Academy of Sciences of Tajikistan
Email: ganievizatullo48@gmail.com
Dushanbe, Tajikistan
R. J. Faizulloev
Tajikistan Institute of Energy
Email: ganievizatullo48@gmail.com
Dushanbe, Tajikistan
F. Sh. Zokirov
Tajik Technical University
Email: ganievizatullo48@gmail.com
Dushanbe, Tajikistan
N. I. Ganieva
Tajik Technical University
Author for correspondence.
Email: ganievizatullo48@gmail.com
Dushanbe, Tajikistan
References
- Захаров М.В., Лисовская Т.Д. Влияние различных элементов на электропроводность, твердость и температуру рекристаллизации алюминия марки AB000 // Изв. вузов. Цветная металлургия. 1965. № 3. С. 51.
- Мальцев М.В. Модифицирование структуры металлов и сплавов. М.: Металлургия, 1984. 282 с.
- Zhang L., Palm M., Stein F., Sauthoff G. Formation of Lamellar Microstructures Al-rich TiAl Alloys between 900 to 1100°C // J. Intermetallics. 2001. V. 9. P. 229.
- Palm M., Zhang L., Stein F., Sauthoff G. Phase and Phase Equilibria in the Al-rich Part of the Al–Ti System Above 900°C // J. Intermetallics. 2002. V. 10. № 6. P. 523.
- Nakano T., Negishi A., Hayashi K., Umakoshi Y. Ordering Process of Al5Ti3, h-Al2Ti and r-Al2Ti with FCC-base Long-period Superstructures in Rapid Solidified Al-rich TiAl Alloys // J. Acta Mater. 1999. V. 47. № 4. P. 1091.
- Witusiewicz V.T., Bondar A.A., Hecht U. et al. The Al–B–Nb–Ti System. III. Thermodynamic Reevaluation of the Constuent Binary System Al–Ti // J. Alloys Compd. 2008. V. 465. № 1–2. P. 64.
- Куцова В.З., Погребна Н.Е., Хохлова Т.С. Алюміній та сплави на його основі: навч. посібник. Дніпропетровськ: Пороги, 2004. 135 с.
- Оно А. Затвердевание металлов. М.: Металлургия, 1980. 147 с.
- Benci J.T., Ma J.C., Feist F. Evaluation of the Intermetallic Compound Al2Ti for Elevated-temperature Application // Mater. Sci. Eng. A. 1995. V. 192. P. 38.
- Wu Z.L., Pope D.P. Ll2 Al3Ti-based Alloys with Al2Ti Precipitates – I. Structure and Stability of the Precipitates // Acta Metall. Mater. 1994. V. 42. № 2. P. 509.
- Wu Z.L., Pope D.P. Ll2 Al3Ti-based Alloys with Al2Ti Precipitates – II. Deformation Behavior of Single Crystals // Acta Metall. Mater. 1994. V. 42. № 2. P. 519.
- Sturm D., Heilmaer M., Saage H. et al. Creep Strength of Centrifugally Cast Al-rich TiAl Alloys // J. Mater. Sci. Eng. A. 2009. V. 51–511. P. 373.
- Деменок А.О., Ганеев А.А., Деменок О.Б., Кулаков Б.А. Выбор легирующих элементов для сплавов на основе алюминида титана // Вестн. ЮжУрГУ. Сер. Металлургия. 2013. № 1. С. 95.
- Киров С.А., Козлов А.В., Салецкий А.М., Харабадзе Д.Э. Измерение теплоемкости и теплоты плавления методом охлаждения. М.: ООП; Физ. фак. МГУ, 2012. 23 с.
- Булкин П.С., Попова И.И. Общий физический практикум: молекулярная физика. Учеб. пособ. М.: Изд-во МГУ, 1988. С. 52.
- Матвеев А.Н. Молекулярная физика. Учеб. пособ. М.: Бином. Лаборатория знаний, 2010. 368 с.
- Сивухин Д.В. Общий курс физики. В 5-ти т. Т. 2. Термодинамика и молекулярная физика. М.: Физматлит, 2006. 544 с.
- Кикоин И.К., Кикоин А.К. Молекулярная физика. СПб.: Лань, 2008. 484 с.
- Ганиев И.Н., Муллоева Н.М., Низомов З., Обидов Ф.Ю. Температурная зависимость теплоемкости и термодинамических функций сплавов системы Pb‒Ca // ТВТ. 2014. Т. 52. № 1. С. 138.
- Зокиров Ф.Ш., Ганиев И.Н., Сангов М.М., Иброхимов Н.Ф. Влияние кальция на температурную зависимость теплоемкости и изменений термодинамических функций сплава АК12М2 // ТВТ. 2018. Т. 56. № 6. С. 867.
- Ганиев И.Н., Отаджонов С.Э., Иброхимов Н.Ф., Махмудов М. Температурная зависимость теплоемкости и изменений термодинамических функций сплава AК1, легированного стронцием // ТВТ. 2019. Т. 57. № 1. С. 22.
- Ганиев И.Н., Сафаров А.Г., Одинаев Ф.Р., Якубов Ю.С., Кабутов К. Температурная зависимость теплоемкости и термодинамических функций сплава Al + + 4.5% Fe, легированного оловом // Изв. вузов. Цветная металлургия. 2019. № 1. С. 50.
- Ганиев И.Н., Отаджонов С.Э., Иброхимов Н.Ф., Махмудов М. Температурная зависимость теплоемкости и изменений термодинамических функций сплава AК1М2, легированного стронцием // Изв. вузов. Материалы электронной техники., 2018. Т. 21. № 1. С. 35.
- Геращенко Ю.А., Гордов А.Н., Лах Р.И., Ярышев Н.Я. Температурные измерения. Спр. Киев: Наукова думка, 1984. 495 с.
- Гортышов Ю.Ф., Дресвянников Ф.Н., Иднатулин Н.С. Теория и техника теплофизического эксперимента. М.: Энергоатомиздат, 1993. 448 с.
- Зиновьев В.Е. Теплофизические свойства металлов при высоких температурах. Спр. изд. М.: Металлургия, 1984. 384 с.
Supplementary files







