Local Structural Features and Microscopic Dynamics of a Nickel Melt: Experimental Study and Molecular Dynamics Simulation
- Authors: Khusnutdinoff R.M.1,2, Khairullina R.R.1, Beltyukov A.L.1,2, Sterkhova I.V.1,2, Suslov A.A.2, Ladyanov V.I.2, Mokshin A.V.1,2
-
Affiliations:
- Kazan (Volga Region) Federal University, Institute of Physics
- Udmurt Federal Research Center, Ural Branch, Russian Academy of Sciences
- Issue: Vol 61, No 2 (2023)
- Pages: 220-225
- Section: Thermophysical Properties of Materials
- URL: https://bakhtiniada.ru/0040-3644/article/view/138697
- DOI: https://doi.org/10.31857/S0040364423020096
- ID: 138697
Cite item
Full Text
Abstract
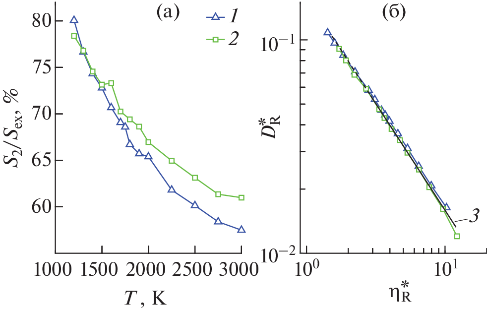
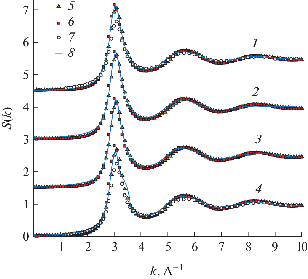
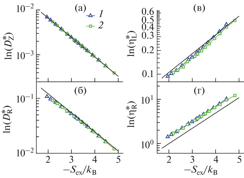
The study examines local structural features, microscopic dynamics, and transport properties of an equilibrium and supercooled nickel melt. A comprehensive study of the corresponding physical properties of the nickel melt was carried out with large-scale molecular dynamics studies, X-ray diffraction experiments, and torsional vibration viscometry. Good agreement was obtained between the results of X-ray diffraction analysis of an equilibrium nickel melt and the results of molecular dynamics simulation for various EAM potentials and experimental neutron diffraction data. It has been established that in liquid nickel, the contribution of pair correlation entropy to the excess configuration entropy is
60% in the high temperature region and
80% near and below the melting point. Good agreement was found between the simulation results for the transport characteristics (self-diffusion and viscosity coefficients) of the nickel melt in a wide temperature range and the available experimental data and viscometry results. It is shown that the simulation results obtained with all considered interatomic interaction potentials are correctly reproduced by the modified Stokes–Einstein relation obtained using Rosenfeld scale transformations.
About the authors
R. M. Khusnutdinoff
Kazan (Volga Region) Federal University, Institute of Physics; Udmurt Federal Research Center, Ural Branch, Russian Academy of Sciences
Email: khrm@mail.ru
Kazan, Russia; Izhevsk, Russia
R. R. Khairullina
Kazan (Volga Region) Federal University, Institute of Physics
Email: khrm@mail.ru
Kazan, Russia
A. L. Beltyukov
Kazan (Volga Region) Federal University, Institute of Physics; Udmurt Federal Research Center, Ural Branch, Russian Academy of Sciences
Email: khrm@mail.ru
Kazan, Russia; Izhevsk, Russia
I. V. Sterkhova
Kazan (Volga Region) Federal University, Institute of Physics; Udmurt Federal Research Center, Ural Branch, Russian Academy of Sciences
Email: khrm@mail.ru
Kazan, Russia; Izhevsk, Russia
A. A. Suslov
Udmurt Federal Research Center, Ural Branch, Russian Academy of Sciences
Email: khrm@mail.ru
Izhevsk, Russia
V. I. Ladyanov
Udmurt Federal Research Center, Ural Branch, Russian Academy of Sciences
Email: khrm@mail.ru
Izhevsk, Russia
A. V. Mokshin
Kazan (Volga Region) Federal University, Institute of Physics; Udmurt Federal Research Center, Ural Branch, Russian Academy of Sciences
Author for correspondence.
Email: khrm@mail.ru
Kazan, Russia; Izhevsk, Russia
References
- Balucani U., Zoppi M. Dynamics of the Liquid State. Oxford: Clarendon Press, 1994. 178 p.
- Iida T., Guthrie R.I.L. The Physical Properties of Liquid Metals. Oxford: Oxford Sci. Publ., 1988. 288 p.
- Götze W. Complex Dynamics of Glass Forming Liquids. A Mode-coupling Theory. Oxford: Oxford University Press. 2009. 656 p.
- Polychroniadou S., Antoniadis K.D., Assael M.J., Bell I.H. A Reference Correlation for the Viscosity of Krypton from Entropy Scaling // Int. J. Thermophys. 2022. V. 43. P. 6.
- Хуснутдинов Р.М., Мокшин А.В., Бельтюков А.Л., Олянина Н.В. Вязкость расплава кобальта: эксперимент, моделирование и теория // ТВТ. 2018. Т. 56. № 2. С. 211.
- Li N., Wang X.H., Gao N., Chen G.M. Simple Direct Relationship between Scaled Viscosity and a Dimensionless Calorimetric Parameter for Saturated Liquids // Ind. Eng. Chem. Res. 2022. V. 61. P. 1494.
- Blodgett M.E., Egami T., Nussinov Z., Kelton K.F. Proposal for Universality in the Viscosity of Metallic Liq-uids // Sci. Rep. 2015. V. 5. P. 13837.
- Saliou A., Jarry P., Jakse N. Excess Entropy Scaling Law: A Potential Energy Landscape View // Phys. Rev. E. 2021. V. 104. P. 044128.
- Karmkar R.C., Gosh R.C. Validity of the Stokes−Einstein Relation in Liquid 3d Transition Metals for a Wide Range of Temperatures // J. Mol. Liq. 2021. V. 328. P. 115434.
- Khrapak S.A., Khrapak A.G. Excess Entropy and Stokes−Einstein Relation in Simple Fluids // Phys. Rev. E. 2021. V. 104. P. 044110.
- Khrapak S.A. Diffusion, Viscosity, and Stokes–Einstein Relation in Dense Supercritical Methane // J. Mol. Liq. 2022. V. 354. P. 118840.
- Nguyen P.T., Khennache S., Galliero G., Tran T., Tuong L., Nguyen P., Hoang H., Ho H.K. Entropy Scaling for Viscosity of Pure Lennard–Jones Fluids and Their Binary Mixtures // Comm. Phys. 2022. V. 32. P. 187.
- Dzugutov M. A Universal Scaling Law for Atomic Diffusion in Condensed Matter // Nature. 1996. V. 381. P. 137.
- Rosenfeld Y. A Quasi-universal Scaling Law for Atomic Transport in Simple Fluids // J. Phys.: Condens. Matter. 1999. V. 11. P. 5415.
- Bell I.H., Dyre J.C., Ingebrigtsen T.S. Excess-entropy Scaling in Supercooled Binary Mixtures // Nature Commun. 2020. V. 11. P. 4300.
- Juhàs P., Davis T., Farrow C.L., Billinge S.J.L. PDFgetX3: a Rapid and Highly Automatable Program for Processing Powder Diffraction Data into Total Scattering Pair Distribution Functions // J. Appl. Crystallorg. 2013. V. 46. P. 560.
- Швидковский Е.Г. Некоторые вопросы вязкости расплавленных металлов. М.: Гостехиздат, 1955. 208 с.
- Beltyukov A.L., Ladyanov V.I. An Automated Setup for Determining the Kinematic Viscosity of Metal Melts // Instrum. Exp. Tech. 2008. V. 51. P. 304.
- Khusnutdinoff R.M., Mokshin A.V., Beltyukov A.L., Olyanina N.V. Viscosity and Structure Configuration Properties of Equilibrium and Supercooled Liquid Cobalt // Phys. Chem. Liq. 2008. V. 56. P. 561.
- Khusnutdinoff R.M. Dynamics of Liquid Lithium Atoms: Time Scales and Dynamic Correlation Functions // Acta Phys. Polonica A. 2020. V. 137. P. 267.
- Хуснутдинов Р.М., Мокшин А.В., Бельтюков А.Л., Олянина Н.В. Вязкость расплава кобальта: эксперимент, моделирование и теория // ТВТ. 2018. Т. 56. № 2. С. 211.
- Plimpton S. Fast Parallel Algorithms for Short-Range Molecular Dynamics // J. Comput. Phys. 1995. V. 117. P. 1.
- Sheng H.W., Ma E., Kramer M.J. Relating Dynamic Properties to Atomic Structure in Metallic Glasses // JOM. 2012. V. 64. P. 856.
- Bonny G., Pasianot R.C., Malerba L. Fe–Ni Many-Body Potential for Metallurgical Applications // Modelling Simul. Mater. Sci. Eng. 2009. V. 17. P. 025010.
- Verlet L. Computer “Experiments” on Classical Fluids. I. Thermodynamical Properties of Lennard–Jones Molecules // Phys. Rev. 1967. V. 159. P. 98.
- Chapman S., Cowling T.G. The Mathematical Theory of Non-uniform Gases. Cambridge: Cambridge University Press, 1970. 448 p.
- Maffoli L., Clisby N., Frascoli F., Todd B.D. Computation of the Equilibrium Three-particle Entropy for Dense Atomic Fluids by Molecular Dynamics Simulation // J. Chem. Phys. 2019. V. 151. P. 164102.
- Kirkwood J.G., Boggs S.M. The Radial Distribution Function in Liquids // J. Chem. Phys. 1942. V. 10. P. 394.
- Hoyt J.J., Asta M., Sadigh B. Test of the Universal Scaling Law for the Diffusion Coefficient in Liquid Metals // Phys. Rev. Lett. 2000. V. 85. P. 594.
- Bell I.H., Dyre J.C., Ingebrigtsen T.S. Excess-entropy Scaling in Supercooled Binary Mixtures // Nature Commun. 2020. V. 11. P. 4300.
- Khusnutdinoff R.M., Khairullina R.R., Beltyukov A.L., Lad’yanov V.I., Mokshin A.V. Viscous Properties of Nickel-containing Binary Metal Melts // J. Phys.: Condens. Matter. 2021. V. 33. P. 104006.
- Li G.X., Liu C.S., Zhu Z.G. Excess Entropy Scaling for Transport Coefficients: Diffusion and Viscosity in Li-quid Metals // J. Non-Cryst. Solids. 2005. V. 351. P. 946.
- Schenk T., Holland-Moritz D., Simonet V., Bellisent R., Herlach D.M. Icosahedral Short-Range Order in Deeply Undercooled Metallic Melts // Phys. Rev. Lett. 2002. V. 89. P. 075507.
- Kirova E.M., Norman G.E. Viscosity Calculations at Molecular Dynamics Simulations // J. Phys.: Conf. Ser. 2015. V. 653. P. 012106.
- Meyer A., Stuber S., Holland-Moritz D., Heinen O., Unruh T. Determination of Self-diffusion Coefficients by Quasielastic Neutron Scattering Measurements of Levitated Ni Droplets // Phys. Rev. B. 2008. V. 77. P. 092201.
- Chathoth S.M., Meyer A., Koza M.M., Juranyi F. Atomic Diffusion in Liquid Ni, NiP, PdNiP, and PdNiCuP Alloys // Appl. Phys. Lett. 2004. V. 85. P. 4881.
- Iida T., Guthrie R.I.L. The Thermophysical Properties of Metallic Liquids. V. 2. Predictive Models. Oxford: Oxford Press, 2015. 152 p.
- Assael M.J., Kalyva A.E., Antoniadis K.D., Banish R.M., Egry I., Wu J.T., Kaschnitz E., Wakeham W.A. Refe-rence Data for the Density and Viscosity of Liquid Antimony, Bismuth, Lead, Nickel and Silver // High Temp.‒High Press. 2012. V. 41. P. 161.
Supplementary files






