Физическое и математическое моделирование распределения температуры по длине нефтематеринской породы при микроволновом облучении
- Авторы: Зиннатуллин Р.Р.1, Мусин А.А.1, Гайсин И.В.1, Усманов Б.А.1
-
Учреждения:
- Башкирский государственный университет
- Выпуск: Том 61, № 1 (2023)
- Страницы: 149-152
- Раздел: Краткие сообщения
- URL: https://bakhtiniada.ru/0040-3644/article/view/138664
- DOI: https://doi.org/10.31857/S004036442301009X
- ID: 138664
Цитировать
Полный текст
Аннотация
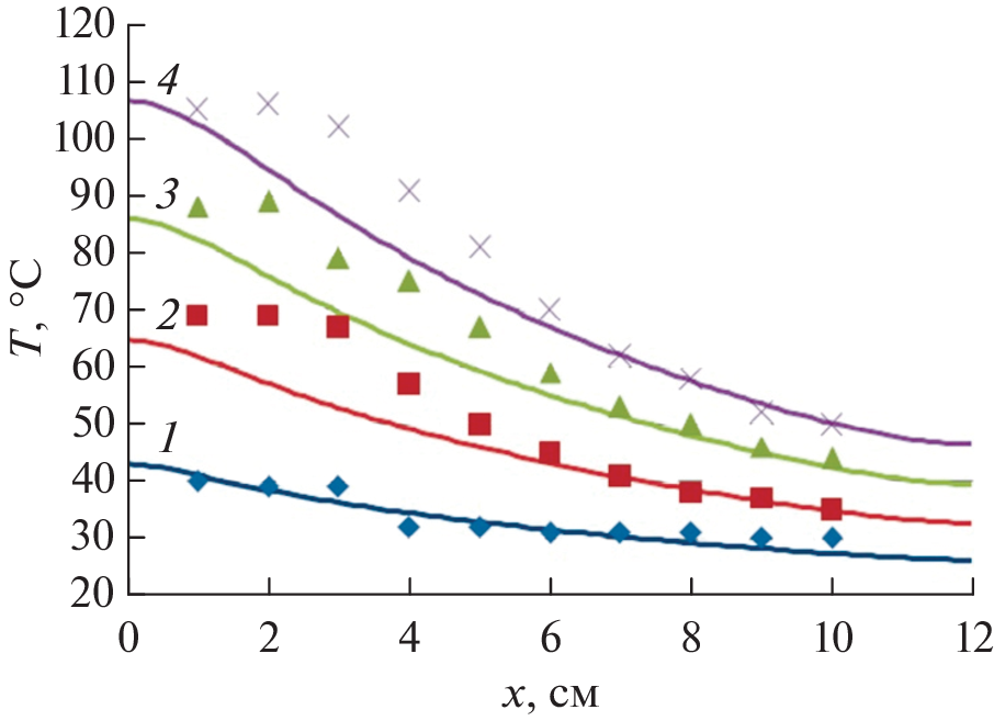
Приведены результаты физического и математического моделирования распределения температуры в образце нефтематеринской породы при одностороннем микроволновом облучении. Исследования выполнены при частоте излучения 2.45 ГГц. Математическая модель валидирована по результатам физического моделирования диэлектрического нагрева нефтематеринской породы до 115°С. Проведены прогнозные расчеты в масштабах реального объекта. Приведенные результаты показывают объемный характер нагрева образца при микроволновом облучении. Определены интенсивности диэлектрического нагрева нефтематеринской породы при температурах пиролиза керогена, а также глубина проникновения электромагнитного поля при пиролизе керогена.
Об авторах
Р. Р. Зиннатуллин
Башкирский государственный университет
Email: rasulz@yandex.ru
Россия, Башкортостан, г. Уфа
А. А. Мусин
Башкирский государственный университет
Email: bulatusman@mail.ru
Россия, Башкортостан, г. Уфа
И. В. Гайсин
Башкирский государственный университет
Email: bulatusman@mail.ru
Россия, Башкортостан, г. Уфа
Б. А. Усманов
Башкирский государственный университет
Автор, ответственный за переписку.
Email: bulatusman@mail.ru
Россия, Башкортостан, г. Уфа
Список литературы
- Sultanguzhin R., Kovaleva L., Zinnatullin R. Radio Frequency and Microwave Impact on Source Rock // 2019 Radiation and Scattering of Electromagnetic Waves (RSEMW). IEEE. 2019. P. 1. https://doi.org/10.1109/RSEMW.2019.8792780
- Kovaleva L., Zinnatullin R., Musin A., Kireev V., Karamov T., Spasennykh M. Investigation of Source Rock Heating and Structural Changes in the Electromagnetic Fields Using Experimental and Mathematical Modeling // Minerals. 2021. V. 11. № 9. 991.
- Zhu J., Yang Zh., Li X., Qi Sh., Jia M. Application of Microwave Heating with Iron Oxide Nanoparticles in the in-situ Exploitation of Oil Shale // Energy Sci. Eng. 2018. V. 6. № 5. P. 548.
- Зиннатуллин Р.Р., Ковалева Л.А., Султангужин Р.Ф. Исследование диэлектрических свойств водонефтенасыщенных горных пород и их нагрева в электромагнитном поле // ТВТ. 2019. Т. 57. № 1. С. 143.
- Ковалева Л.А., Зиннатуллин Р.Р., Мусин А.А., Благочиннов В.Н., Валиев Ш.М., Муллаянов А.И. Способ разработки обведенных залежей нефти СВЧ электромагнитным воздействием (варианты). Патент на изобретение RU № 2555731. Опубл. 10.07.2015. Бюл. № 19.
- Давлетбаев А.Я., Ковалева Л.А., Насыров Н.М. Исследование процессов тепломассопереноса в многослойной среде при нагревании смешивающегося агента с одновременным электромагнитным воздействием // ТВТ. 2009. Т. 47. № 4. С. 605.
- Zinnatullin R.R., Sultanguzhin R.F. Studying Dielectric Properties of Oil Shale // J. Phys.: Conf. Ser. 2020. V. 1675. 012102.
- Solnyshkina O.A., Batyrshin E.S., Pityuk Y.A. Investigation of Hydrodynamic Flows in Micromodels of Double Porosity Media // Fluid Dynamics. 2021. V. 56. № 4. P. 451.
- Бычков А.Ю., Калмыков Г.А., Бугаев И.А., Калмыков А.Г., Козлова Е.В. Экспериментальные исследования получения углеводородных флюидов из пород баженовской свиты при гидротермальном воздействии // Вестн. Моск. ун-та. Сер. 4. Геология. 2015. № 4. С. 34.





