Temperature Dependence of Thermophysical Properties and Changes in the Thermodynamic Functions of Mg–La System Alloys
- Authors: Ganiev I.N.1, Safarov A.G.2, Dodkhoev E.S.1, Boturov K.2, Yakubov U.S.1, Kholmurodov F.2
-
Affiliations:
- Nikitin Institute of Chemistry, National Academy of Sciences of Tajikistan
- Umarov Physicotechnical Institute, National Academy of Sciences of Tajikistan
- Issue: Vol 61, No 1 (2023)
- Pages: 36-40
- Section: Thermophysical Properties of Materials
- URL: https://bakhtiniada.ru/0040-3644/article/view/138615
- DOI: https://doi.org/10.31857/S0040364423010210
- ID: 138615
Cite item
Full Text
Abstract
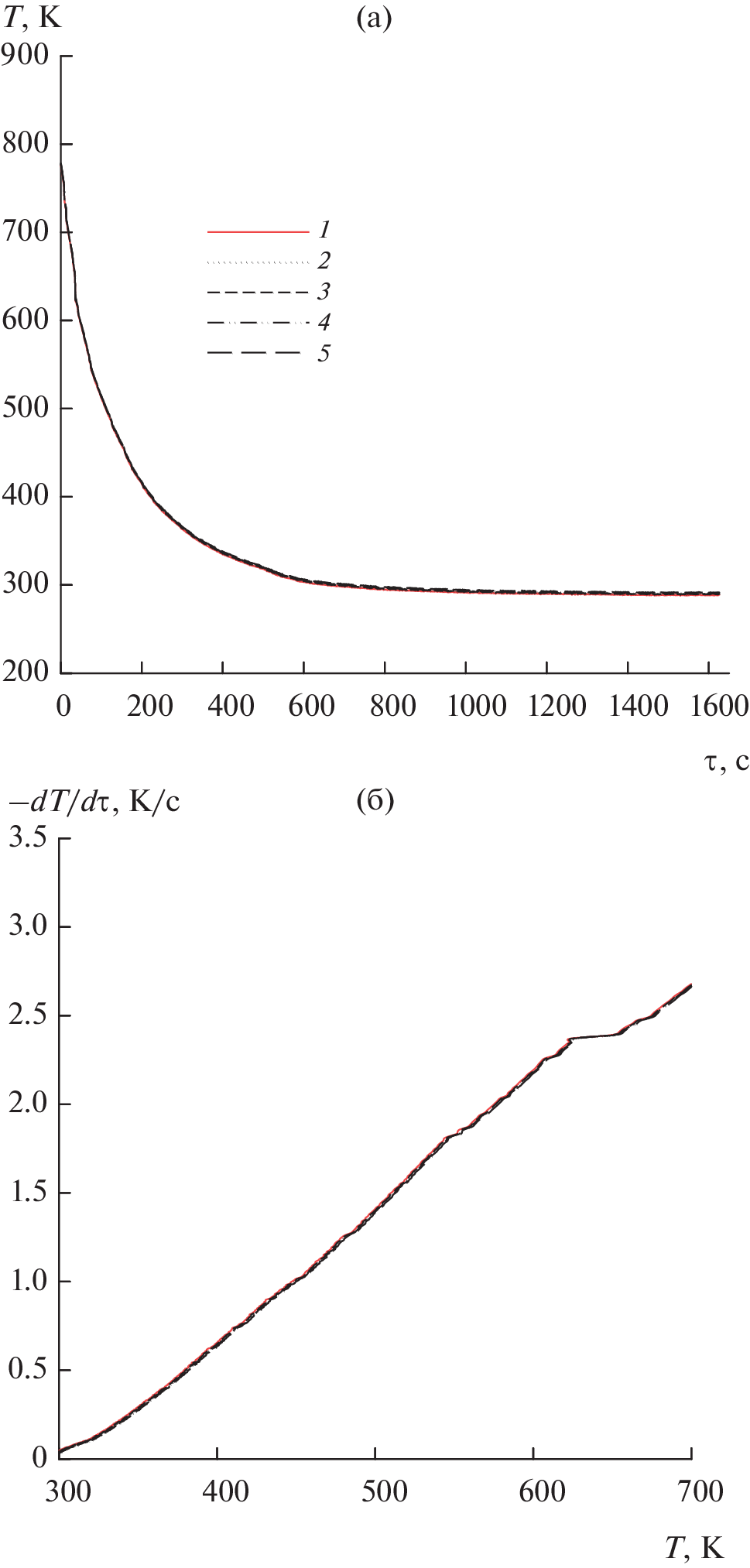
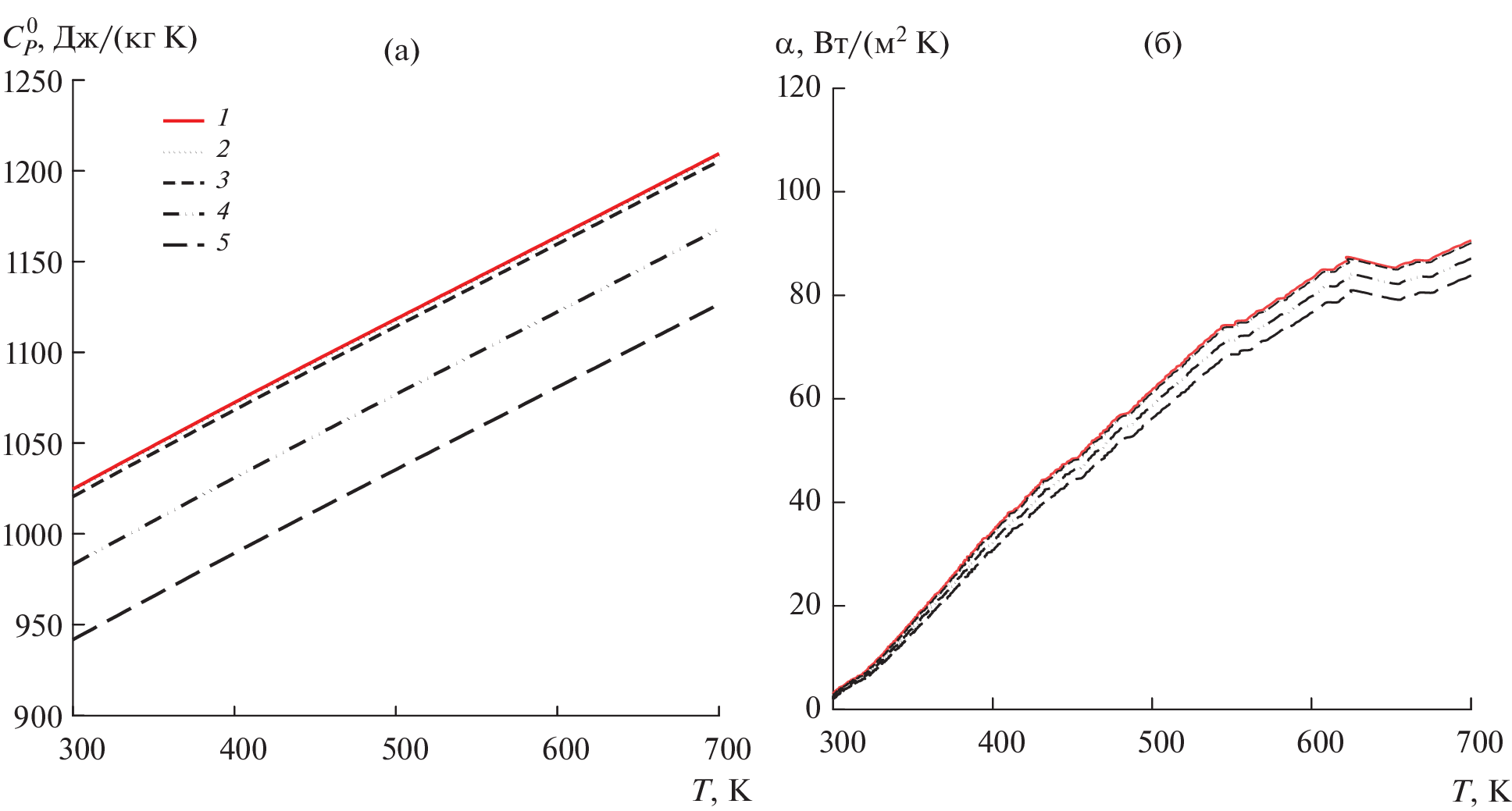
In cooling mode, the temperature dependence of the specific heat and changes in the thermodynamic functions of alloys of the Mg–La system in the temperature range of 300–700 K were studied. It has been shown that with increasing lanthanum concentration, the specific heat of magnesium, especially with the addition of lanthanum from 5 to 10%, noticeably decreases, and increases with increasing temperature. It has been established that with increasing temperature, the enthalpy and entropy of the alloys increase, and the values of the Gibbs energy decrease. The dependence of these functions on the lanthanum content in magnesium is inverse.
About the authors
I. N. Ganiev
Nikitin Institute of Chemistry, National Academy of Sciences of Tajikistan
Email: ganievizatullo48@gmail.com
Dushanbe, Tajikistan
A. G. Safarov
Umarov Physicotechnical Institute, National Academy of Sciences of Tajikistan
Email: ganievizatullo48@gmail.com
Dushanbe, Tajikistan
E. S. Dodkhoev
Nikitin Institute of Chemistry, National Academy of Sciences of Tajikistan
Email: ganievizatullo48@gmail.com
Dushanbe, Tajikistan
K. Boturov
Umarov Physicotechnical Institute, National Academy of Sciences of Tajikistan
Email: ganievizatullo48@gmail.com
Dushanbe, Tajikistan
U. Sh. Yakubov
Nikitin Institute of Chemistry, National Academy of Sciences of Tajikistan
Email: ganievizatullo48@gmail.com
Dushanbe, Tajikistan
F. Kholmurodov
Umarov Physicotechnical Institute, National Academy of Sciences of Tajikistan
Author for correspondence.
Email: ganievizatullo48@gmail.com
Dushanbe, Tajikistan
References
- Лякишев Н.П. Диаграммы состояния двойных металлических систем. М.: Машиностроение, 1996‒2001. Т. 1–3.
- Эйдензон М.А. Магний. М.: Металлургия, 1969. 352 с.
- Магниевые сплавы для современной техники. Сб. науч. тр. М.: Наука, 1992. 192 с.
- Портной К.И., Лебедев А.Л. Магниевые сплавы. Свойства и технология. Спр. М.: Гос. науч.-техн. изд-во лит. по черной и цветной металлургии, 1952. 736 с.
- Белоусов Н.Н. Плавка и разливка сплавов цветных металлов. Л.: Машиностроение, 1981. 80 с.
- Липницкий А.М., Морозов И.В. Технология цветного литья. Л.: Машгиз, 1986. 224 с.
- Воздвиженский В.М. Литейные сплавы и технология их выплавки в машиностроении. М.: Машиностроение, 1984. 432 с.
- Рейнор Г.В. Металловедение магния и его сплавов. Пер с англ. М.: Металлургия, 1964. 487 с.
- Эмли Е.Ф. Основы технологии производства и обработки магниевых сплавов. М.: Металлургия, 1972. 488 с.
- Зиновьев В.Е. Теплофизические свойства металлов при высоких температурах. Спр. изд. М.: Металлургия, 1989. 384 с.
- Старк Б.В. Явления нагрева в муфельных печах // Журнал русского металлургического общества. 1926. № 2. С. 184.
- Иванцов Г.П. Нагрев металла (теория и методы расчета). Свердловск. М.: Гос. науч.-техн. изд-во лит. по черной и цветной металлургии, 1948. 191 с.
- Ганиев И.Н., Якубов У.Ш., Джураева М.Ш., Сафаров А.Г. Влияние добавок галлия на теплоемкость и термодинамические функции алюминиевого сплава АЖ5К10 // Изв. СПб. гос. технол. ин-та (техн. ун-та). 2021. № 59. С. 66.
- Ганиев И.Н., Окилов Ш.Ш., Эшов Б.Б., Муллоева Н.М., Якубов У.Ш. Температурная зависимость теплоемкости и изменений термодинамических функций свинцово-сурьмяного сплава ССу3 c калием // Вестн. Каз. гос. техн. ун-та им. А.Н. Туполева. 2021. Т. 77. № 1. С. 24.
- Ганиев И.Н., Содикова С.С., Якубов У.Ш., Алихонова С.Д. Влияние алюминия на удельную теплоемкость и изменениe термодинамических функций цинка // Ползуновский вестник. 2021. № 3. С. 208.
- Ганиев И.Н., Абдулаков А.П., Джайлоев Д.Х., Якубов У.Ш., Сафаров А.Г., Абулхаев В.Д. Влияние добавок висмута на теплофизические и термодинамические свойства алюминиевого проводникового сплава E-AlMgSi (Алдрей) // Изв. вузов. Материалы электронной техники. 2020. Т. 23. № 1. С. 86.
- Якубов У.Ш., Ганиев И.Н., Махмадизода М.М., Сафаров А.Г., Ганиева Н.И. Влияние стронция на температурную зависимость удельной теплоемкости и изменение термодинамических функций сплава АЖ5К10 // Вестн. СПб. гос. ун-та технологии и дизайна. Сер. 1: Естественные и технические науки. 2018. № 3. С. 61.
- Худойбердизода С.У., Ганиев И.Н., Отаджонов С.Э., Эшов Б.Б., Якубов У.Ш. Влияние меди на теплоемкость и изменения термодинамических функций свинца // ТВТ. 2021. Т. 59. № 1. С. 55.
- Ганиев И.Н., Окилов Ш.Ш., Эшов Б.Б., Муллоева Н.М., Якубов У.Ш. Влияние добавок натрия на температурную зависимость теплоемкости и изменений термодинамических функций свинцово-сурьмяного сплава ССу3 // Вестн. СПб. гос. ун-та технологии и дизайна. Сер. 1: Естественные и технические науки. 2021. № 1. С. 89.
- Ганиев И.Н., Сафаров А.Г., Асоев М.Дж., Якубов У.Ш., Одинаев Ф.Р., Кабутов К. Термодинамические функции сплавов системы Al–Sn // Химия. Экология. Урбанистика. 2021. Т. 2021. № 1. С. 410.
- Ганиев И.Н., Сафаров А.Г., Асоев М.Дж., Якубов У.Ш., Кабутов К. Температурная зависимость теплофизических свойств и термодинамических функций сплавов системы Al–Sn // Вестн. Сиб. гос. индустр. ун-та. 2021. № 1(35). С. 35.
- Ганиев И.Н., Назарова М.Т., Якубов У.Ш., Сафаров А.Г., Курбонова М.З. Влияние лития на удельную теплоемкость и изменения термодинамических функций алюминиевого сплава АБ1 // ТВТ. 2020. Т. 58. № 1. С. 55.




