Исследование качества микросмешения в одноступенчатом микрореакторе с интенсивно закрученными потоками
- Авторы: Абиев Р.Ш.1,2, Потехин Д.А.1,2
-
Учреждения:
- ФГБУН Физико-технический институт им. А.Ф. Иоффе Российской академии наук
- Санкт-Петербургский технологический институт (технический университет)
- Выпуск: Том 57, № 6 (2023)
- Страницы: 681-696
- Раздел: Статьи
- Статья опубликована: 01.11.2023
- URL: https://bakhtiniada.ru/0040-3571/article/view/232295
- DOI: https://doi.org/10.31857/S0040357123060015
- EDN: https://elibrary.ru/ECKCWU
- ID: 232295
Цитировать
Полный текст
Аннотация
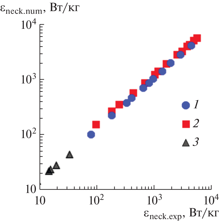
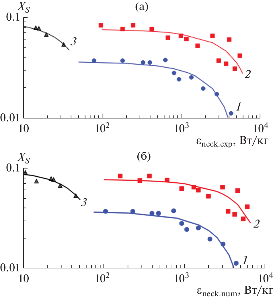
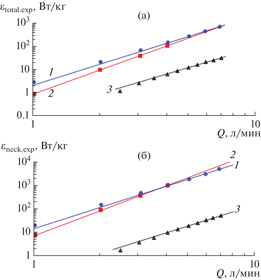
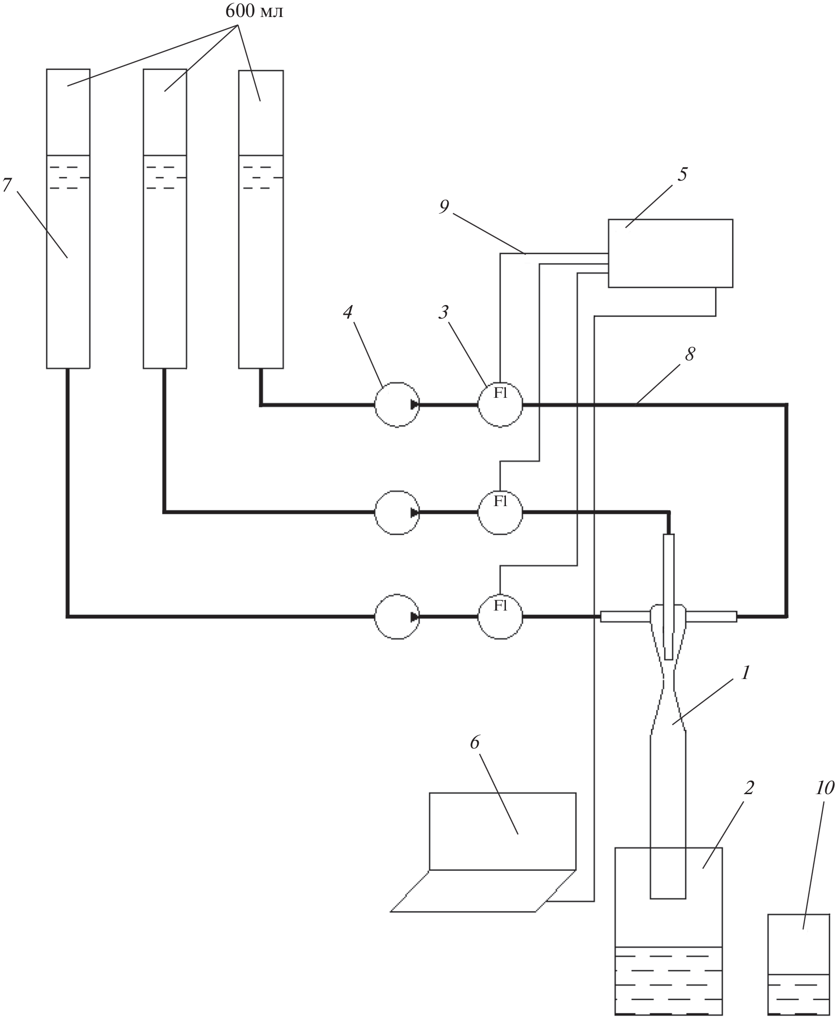
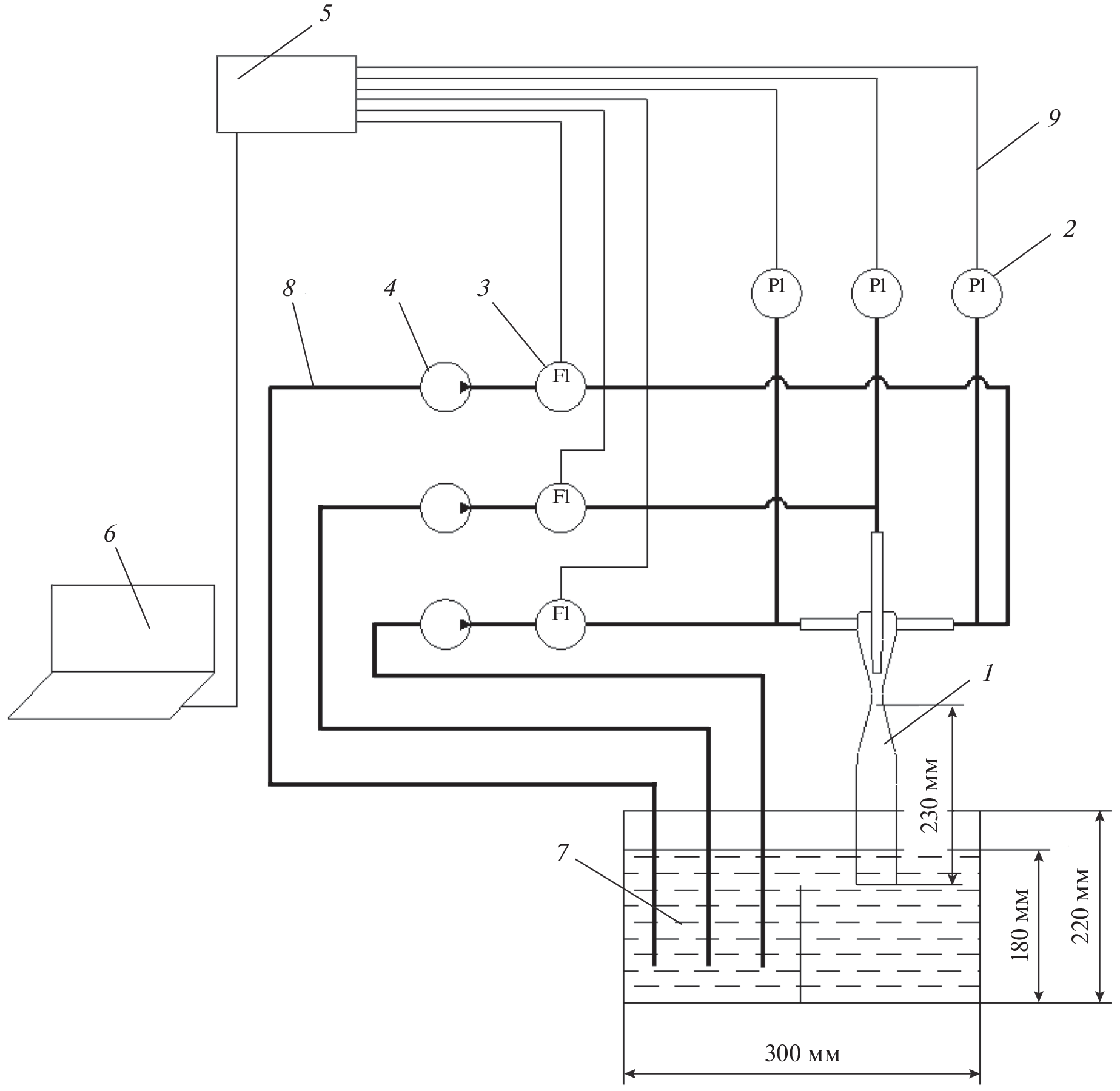
В статье рассматриваются результаты экспериментального и численного исследования гидродинамических характеристик вихревого струйного микрореактора – микро-ВСА-1, одна из областей применения которого – синтез оксидных материалов (например, перовскитоподобных материалов для солнечных панелей). Исследованы скорость диссипации энергии и качество микросмешения (с использованием йодид-иодатной методики) при различных способах подачи растворов в микро-ВСА-1 и в Т-образном миллиреакторе. Численное моделирование позволило выявить объемы с наибольшей скоростью диссипации энергии. Показано, что качество микросмешения в микро-ВСА-1 существенно выше, чем в Т-образном миллиреакторе, что обусловлено, среди прочего, локализацией зоны с наибольшей скоростью диссипации энергии вблизи горловины микро-ВСА-1.
Об авторах
Р. Ш. Абиев
ФГБУН Физико-технический институт им. А.Ф. Иоффе Российской академии наук; Санкт-Петербургский технологический институт (технический университет)
Email: abiev.rufat@gmail.com
Россия, Санкт-Петербург; Россия, Санкт-Петербург,
Д. А. Потехин
ФГБУН Физико-технический институт им. А.Ф. Иоффе Российской академии наук; Санкт-Петербургский технологический институт (технический университет)
Автор, ответственный за переписку.
Email: abiev.rufat@gmail.com
Россия, Санкт-Петербург; Россия, Санкт-Петербург,
Список литературы
- Statistical Review of World Energy / BP. Whitehouse Associates. London. 2021. № 70. C. 72.
- Абиев Р.Ш., Сироткин А.А. О влиянии гидродинамических условий на микросмешение в микрореакторах со сталкивающимися струями// Теор. основы хим. технол. 2022. Т. 56. № 1. С. 11. [Abiev, R.S., Sirotkin, A.A. Effect of Hydrodynamic Conditions on Micromixing in Impinging-Jets Microreactors. Theor. Found. Chem. Eng. 2022. V. 56. № 1. 9. https://doi.org/10.1134/S0040579522010018].
- Sirotkin A.A., Abiev R.Sh. Effect of energy dissipation rate on the micromixing in a microreactor with free impinging jets // New Materials, Compounds and Applications. 2022. V. 6. № 3. P. 191.
- Kudryashova Yu.S., Zdravkov A.V., Abiev R.Sh. Synthesis of Yttrium-Aluminum Garnet Using a Microreactor with Impinging Jets // Glass Physics and Chemistry, 2021. V. 47. № 3. P. 260. https://doi.org/10.1134/S108765962103007X
- Масленникова Т.П., Гатина Э.Н., Котова М.Е., Уголков В.Л., Абиев Р.Ш., Гусаров В.В. Формирование наносвитков гидросиликата магния со структурой хризотила из нанокристаллического гидроксида магния и их термически стимулированная трансформация // Неорганические материалы. 2022. Т. 58. № 11. С. 1192https://doi.org/10.31857/S0002337X22110112. [Maslennikova T.P., Gatina E.N., Kotova M.E., Ugolkov V.L., Abiev R.Sh., Gusarov V.V. Formation of Magnesium Hydrosilicate Nanoscrolls with the Chrysotile Structure from Nanocrystalline Magnesium Hydroxide and Their Thermally Stimulated Transformation. Inorganic Materials. 2022. V. 58. № 11. P. 1152. https://doi.org/10.1134/S0020168522110115].
- Проскурина О.В., Соколова А.Н., Сироткин А.А., Абиев Р.Ш., Гусаров В.В. Роль условий соосаждения гидроксидов в формировании нанокристаллического BiFeO3 // Журн. неорг. хим. 2021. Т. 66. № 2. С. 160. https://doi.org/10.31857/S0044457X2102015X [Proskurina O.V., Sokolova A.N., Sirotkin A.A., Abiev R.Sh., Gusarov V.V. Role of Hydroxide Precipitation Conditions in the Formation of Nanocrystalline BiFeO3 // Russ. J. Inorg. Chem. 2021. V. 66. № 2. P. 163. https://doi.org/10.1134/S0036023621020157].
- Abiev R.S., Almjasheva O.V., Popkov V.I., Proskurina O.V. Microreactor synthesis of nanosized particles: The role of micromixing, aggregation, and separation processes in heterogeneous nucleation // Chem. Eng. Res. & Des. 2022. № 178. P. 73. https://doi.org/10.1016/j.cherd.2021.12.003
- Абиев Р.Ш. Микрореактор с закрученными потоками растворов реагентов. Пат. 2736287 РФ. 2020.
- Abiev R.S., Kudryashova Y.S., Zdravkov A.V., Fedorenko N.Y. Micromixing and Co-Precipitation in Continuous Microreactors with Swirled Flows and Microreactors with Impinging Swirled Flows // Inorganics. 2023. № 11. P. 49.https://doi.org/10.3390/inorganics11020049
- Gorak A., Stankiewicz A. Research Agenda for Process Intensification https://www.google.com/search?q=Research+Agenda+for+Process+Intensification&oq=Research+Agenda+for+Process+Intensification&aqs=chrome..69i57j69i64.1565j0j4&sourceid=chrome&ie=UTF-8.
- Stankiewicz A., Moulijn J.A. Process intensification: transforming chemical engineering // Amer. Inst. Chem. Eng. January 2000. P. 22.
- Moulijn J.A., Makkee M., van Diepen A. Chemical Process Technology. Wiley. 2001.
- Dautzenberg F.M., Mukherjee M. Process intensification using multifunctional reactors // Chem. Eng. Sci. 2001. V. 56. P. 251.
- Zhao C.-X., He L., Qiao S.Z., Middelberg A.P.J. Nanoparticle synthesis in microreactors // Chem. Eng. Sci. 2011. V. 66. P. 1463. https://doi.org/10.1016/j.ces.2010.08.039
- Nightingale A.M., deMello J.C. Segmented Flow Reactors for Nanocrystal Synthesis// Advanced Materials. 2013. V. 25. № 13. P. 1813. https://doi.org/10.1002/adma.201203252
- Mbwahnche R.C., Matyushkin L.B., Ryzhov O.A., Aleksandrova O.A., Moshnikov V.A. Synthesis of quantum dot nanocrystals and plasmonic nanoparticles using a segmented flow reactor // Optics and Spectroscopy. 2017. V. 122. P. 48.
- Luo L., Yang M., Chen G. Continuous synthesis of TiO2-supported noble metal nanoparticles and their application in ammonia borane hydrolysis // Chem. Eng. Sci. 2022. V. 251. P. I. 117479.https://doi.org/10.1016/j.ces.2022.117479
- Kawase M., Suzuki T., Miura K. Growth mechanism of lanthanum phosphate particles by continuous precipitation // Chem. Eng. Sci. 2007. V. 62. P. 4875.https://doi.org/10.1016/j.ces.2007.02.032
- Marchisio D.L., Barresi A.A., Garbero M. Nucleation, growth, and agglomeration in barium sulfate turbulent precipitation // AIChE J. 2002. V. 48. № 9. P. 2039. https://doi.org/10.1002/aic.690480917
- Marchisio D.L., Rivautella L., Barresi A.A. Design and scale-up of chemical reactors for nanoparticle precipitation // AIChE J. 2006. V. 52. P. 1877. https://doi.org/10.1002/aic.10786
- Schwarzer H.-C., Peukert W. Combined Experimental/Numerical Study on the Precipitation of Nanoparticles // AIChE J. 2004. V. 50. P. 3234. https://doi.org/10.1002/aic.10277
- Vacassy R., Lemaître J., Hofmann H., Gerlings J.H. Calcium carbonate precipitation using new segmented flow tubular reactor // AIChE J. 2000. V. 46. P. 1241.
- Patil S., Kate P.R., Deshpande J.B., Kulkarni A.A. Quantitative understanding of nucleation and growth kinetics of silver nanowires // Chem. Eng. J. 2021. V. 414. I. 128711. https://doi.org/10.1016/j.cej.2021.128711
- Tanimu A., Jaenicke S., Alhooshani K. Heterogeneous catalysis in continuous flow microreactors: A review of methods and applications // Chem. Eng. J. 2017. V. 327. P. 792. https://doi.org/10.1016/j.cej.2017.06.161
- Абиев Р.Ш. Химические и биохимические реакторы для контролируемого синтеза органических и неорганических веществ (обзор) // Журн. прикл. химии. 2022. Т. 95. № 11–12. С. 1339. https://doi.org/10.31857/S0044461822110019 [Abiev R.Sh. Chemical and Biochemical Reactors for Controlled Synthesis of Organic and Inorganic Compounds // Russ. J. Appl. Chem. 2022. V. 95. № 11. P. 1653. https://doi.org/ 10.1134/S1070427222110015].
- Абиев Р.Ш. Вихревой струйный аппарат и способы его включения (варианты). Патент 2262008 РФ. 2005.
- Абиев Р.Ш., Некрасов В.А., Панова Д.Д. Использование вихревого струйного аппарата в качестве пеногенератора в производстве пенобетона. Изв. СПбГТИ(ТУ). 2012. № 14(40). С. 67.
- Абиев Р.Ш., Васильев М.П., Доильницын В.А. Исследование процесса вакуумной дегазации воды при помощи вихревого струйного аппарата. Изв. СПбГТИ (ТУ). 2015. № 28(54). С. 64.
- Fedorenko N.Yu., Abiev R.Sh., Kudryashova Yu.S., Ugolkov V.L., Khamova T.V., Mjakin S.V., Zdravkov A.V., Kalinina M.V., Shilova O.A. Comparative study of zirconia based powders prepared by co-precipitation and in a microreactor with impinging swirled flows. Ceramics International. 2022. V. 48(9). P. 13006. https://doi.org/10.1016/j.ceramint.2022.01.174
- Абиев Р.Ш., Здравков А.В., Кудряшова Ю.С., Александров А.А., Кузнецов С.В., Федоров П.П. Синтез наноразмерных частиц фторида кальция в микрореакторе с интенсивно закрученными потоками // Журн. неорг. химии. 2021. Т. 66. № 7. С. 929.
- Lomakin M.S., Proskurina O.V., Abiev R.Sh., Leonov A.A., Nevedomskiy V.N., Voznesenskiy S.S., Gusarov V.V. Pyrochlore phase in the Bi2O3–Fe2O3–WO3–(H2O) system: Physicochemical and hydrodynamic aspects of its production using a microreactor with intensively swirled flows // Adv. Powder Technol. 34 (2023) 104053. https://doi.org/10.1016/j.apt.2023.104053
- Fournier M.C., Falk L., Villermaux J. A new parallel competing reaction system for assessing micromixing efficiency – Experimental approach // Chem. Eng. Sci. 1996. V. 22. P. 5053–5064. https://doi.org/10.1016/0009-2509(96)00270-9
- Guichardon P., Falk L. Characterisation of micromixing efficiency by the iodide-iodate reaction system. Part I: experimental procedure // Chemical Engineering Science. 2000. V. 55. P.4233.
- Commenge J., Falk L. Villermaux–Dushman protocol for experimental characterization of micromixers // Chemical Engineering and Processing. 2011. V. 50. P. 979.
- Falk L., Commenge J.-M. Performance comparison of micromixers // Chem. Eng. Sci. 2010. V. 65. P. 405. https://doi.org/10.1016/j.ces.2009.05.045
- Абиев Р.Ш., Макушева И.В. Влияние макро- и микросмешения на процессы растворного синтеза частиц оксидных материалов в микроаппаратах с интенсивно закрученными потоками // Теор. основы хим. технол. 2022. Т. 56. С. 137. [Abiev R.Sh., Makusheva I.V. Effect of Macro- and Micromixing on Processes Involved in Solution Synthesis of Oxide Particles in High-Swirl Microreactors // Theor Found Chem Eng. 2022. V. 56. P. 141. https://doi.org/10.1134/S0040579522020014].
- Abiev R.Sh., Makusheva I.V. Energy Dissipation Rate and Micromixing in a Two-Step Micro-Reactor with Intensively Swirled Flows // Micromachines. 2022. V. 13. №. 11. P. 1859. https://doi.org/10.3390/mi13111859
Дополнительные файлы




















