Separation of Industrial Mixture of Decalin or Naphthalene Fluorination Products. Physical-Chemical Foundations of Crystallizing Binary Mixtures of cis- and trans-Perfluorodecalin and Perfluorobutylcyclohexane
- Authors: Polkovnichenko A.V.1, Kulov N.N.1, Kisel’ A.V.1, Kuritsyn N.N.1, Kvashnin S.Y.1, Lunachev E.V.1
-
Affiliations:
- Kurnakov Institute of General and Inorganic Chemistry RAS
- Issue: Vol 57, No 6 (2023)
- Pages: 638-645
- Section: Articles
- Published: 01.11.2023
- URL: https://bakhtiniada.ru/0040-3571/article/view/232287
- DOI: https://doi.org/10.31857/S0040357123060179
- EDN: https://elibrary.ru/IGHVCO
- ID: 232287
Cite item
Full Text
Abstract
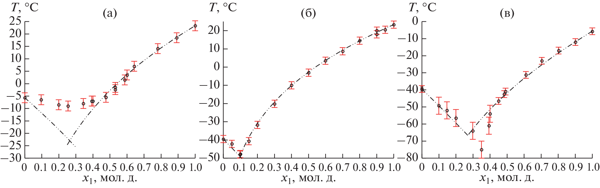
Physical–chemical data on the liquid–solid phase transitions in the binary systems trans-PFD–cis-PFD, trans-PFD–BCH, and cis-PFD–BCH are obtained. All three systems are characterized by the presence of a temperature extremum on the fusibility curve. For the trans-PFD–BCH system, the liquidus line can be described by the equation for simple eutectic systems with the assumed activity coefficient = 1, which indicates that the behavior of the system is close to ideal. The process of bulk crystallization is considered using the example of a cis-PFD–BCH mixture. It is demonstrated that from cis-PFD–BCH mixtures
with an initial content xcis-PFD = 0.7348 and 0.6447 mol. fr., cis-PFD can be isolated with a purity of more than 0.99 mol. fr. in three crystallization cycles.
About the authors
A. V. Polkovnichenko
Kurnakov Institute of General and Inorganic Chemistry RAS
Email: polkovnichenkoav@gmail.com
Moscow, Russia
N. N. Kulov
Kurnakov Institute of General and Inorganic Chemistry RAS
Email: egorlu91@gmail.com
Moscow, Russia
A. V. Kisel’
Kurnakov Institute of General and Inorganic Chemistry RAS
Email: egorlu91@gmail.com
Moscow, Russia
N. N. Kuritsyn
Kurnakov Institute of General and Inorganic Chemistry RAS
Email: egorlu91@gmail.com
Moscow, Russia
S. Ya. Kvashnin
Kurnakov Institute of General and Inorganic Chemistry RAS
Email: egorlu91@gmail.com
Moscow, Russia
E. V. Lunachev
Kurnakov Institute of General and Inorganic Chemistry RAS
Author for correspondence.
Email: egorlu91@gmail.com
Moscow, Russia
References
- Maevsky E., Ivanitsky G., Bogdanova L., Aksenova O., Karmen N., Zhiburt E., Senina R., Pushkin S., Maslennikov I., Orlov A., Marinicheva I. Clinical Results of Perftoran Application: Present and Future. Artif. Cells Nanomed. Biotechnol. 2005. V. 33. P. 37–46.https://doi.org/10.1081/BIO-200046654
- Gervits L.L. Perfluorocarbon-based blood substitutes Russian experience. In Fluorine in Medicine in the 21st Century; UMIST: Manchester, UK, 1994. P. 1–9.
- Julia Laudien, Christoph Groß-Heitfeld, Christian Mayer, Herbert de Groot, Michael Kirsch, Katja B Ferenz Perfluorodecalin-Filled Poly(n-butyl-cyanoacrylate) Nanocapsules as Potential Artificial Oxygen Carriers: Preclinical Safety and Biocompatibility // J. Nanosci. Nanotechnol. 2015. V. 15. № 8. P. 5637–5648. https://doi.org/10.1166/jnn.2015.10044
- Caporossi T., De Angelis L., Pacini B., Rizzo S. Amniotic membrane for retinal detachment due to paravascular retinal breaks over patchy chorioretinal atrophy in pathologic myopia. European J. Ophthalmology. 2020. V. 30(2). P. 392–395. https://doi.org/10.1177/1120672119891415
- Papastavrou V.T., Chatziralli I., McHugh,D. Gas Tamponade for Retinectomy in PVR-Related Retinal Detachments: A Retrospective Study. OphthalmolTher 6, 161–166 (2017). https://doi.org/10.1007/s40123-017-0078-6
- Schaschkow A., Mura C., Bietiger W., Peronet C., Langlois A., Bodin F., Dissaux C., Bruant-Rodier C., Pinget M., Jeandidier N., Juszczak M.T., Sigrist S., Maillard E. Impact of an autologous oxygenating matrix culture system on rat islet transplantation outcome // Biomaterials. 2015. V. 52. P. 180–188. https://doi.org/10.1016/j.biomaterials.2015.02.031
- Vangipuram R., Hamill S.S., Friedman P.M. Perfluorodecalin-infused patch in picosecond and Q-switched laser-assisted tattoo removal: Safety in Fitzpatrick IV–VI skin types. Lasers Surg. Med., (2019), 51: 23–26. https://doi.org/10.1002/lsm.23022
- Torbeck R.L., Saedi N. Optimization of Laser Tattoo Removal: Optical Clearing Agents and Multiple Same-Day Treatments via the R0 and R20 Methods. CurrDerm Rep 5, 136–141 (2016). https://doi.org/10.1007/s13671-016-0139-4
- Bin Tian, Baojun Yang, Jian Li, Zhen Li, Wenlong Zhen, Yuqi Wu, Gongxuan Lu. Water splitting by CdS/Pt/WO3-CeOx photocatalysts with assisting of artificial blood perfluorodecalin // J. Catalysis. V. 350. 2017. P. 189–196. https://doi.org/10.1016/j.jcat.2017.03.012
- Wei Gao, Wenyan Zhang, Gongxuan Lu. A two-pronged strategy to enhance visible-light-driven overall water splitting via visible-to-ultraviolet upconversion coupling with hydrogen-oxygen recombination inhibition // Applied Catalysis B: Environmental. V. 212. 2017. P. 23–31. https://doi.org/10.1016/j.apcatb.2017.04.063
- Kirchhelle C., Moore I. A Simple Chamber for Long-term Confocal Imaging of Root and Hypocotyl Development. J. Vis. Exp. (123), e55331, (2017). https://doi.org/10.3791/55331
- Sykłowska-Baranek K., Rymaszewski W., Gaweł M., Rokicki P., Pilarek M., Grech-Baran M., Hennig J., Pietrosiuk A. Comparison of elicitor-based effects on metabolic responses of Taxus × media hairy roots in perfluorodecalin-supported two-phase culture system. Plant Cell Rep 38, 85–99 (2019). https://doi.org/10.1007/s00299-018-2351-0
- Romain Lhermerout, Kristina Davitt. Contact angle dynamics on pseudo-brushes: Effects of polymer chain length and wetting liquid // Colloids and Surfaces A: Physicochemical and Engineering Aspects. 2019. V. 566. P. 148–155. https://doi.org/10.1016/j.colsurfa.2019.01.006
- Bo Song, Kun Hu, Anjun Qin, Ben Zhong Tang. Oxygen as a Crucial Comonomer in Alkyne-Based Polymerization toward Functional Poly(tetrasubstituted furan)s // Macromolecules. 2018. V. 51 (18). P. 7013–7018. https://doi.org/10.1021/acs.macromol.8b01293
- Bispen T.A., Kochnev A.D., Moldavskij D.D., Sergeeva A.A. Method of purifying perfluorodecalin, 2015. RU 2544849 C1. Published online. 2015.
- Gorelenko S., Zachesova U.V., Osipov G.N., Kazakov P.V., Mirzabekova N.S., Eleev A.F. Preparation of the high purity perfluorodecalin // Fluorine Notes. 2016. V. 5. P. 3.
- Kisel A.V., Polkovnichenko A.V., Lupachev E.V., Kuritsyn N.N., Kvashnin S.Y., Kulov N.N. The Process of Isolation, Using Crystallization of Cis- and Trans-Isomers, of Perfluorodecalines from an Industrial Mixture of Electrochemical Fluorination of Napthaline. Eng. Proc. 2023. V. 37. P. 85. https://doi.org/10.3390/ECP2023-14640
- Бергман А.Г., Лужная Н.П. Физико-химические основы изучения и использования соляных месторождений хлорид-сульфатного типа / Акад. наук СССР. Ин-т общей неорган. химии им. Н.С. Курнакова. Москва : Изд-во Акад. наук СССР, 1951.
- Данилов В.П., Фролова Е.А., Кондаков Д.Ф., Авдюшина Л.И., ОрловаВ.Т. Поиск низкотемпературных противогололедных композиций в водно-солевой системе Ca(NО3)2–Mg(NО3)2–Н2О и исследование их свойств // Химическая технология. 2010. Т. 11. № 4. С. 193–198.
- Seregin V.O., Pestov S.M., Zubairov R.M. Phase equilibria in 4-pentyloxybenzoic acid - long-chain n-alkane systems // Fine Chemical Technologies. 2019. V. 14(6). P. 66–75. https://doi.org/10.32362/2410-6593-2019-14-6-66-75
- Domalski E.S., Hearing E.D. Heat Capacities and Entropies of Organic Compounds in the Condensed Phase. Volume III. J Phys. Chem. Ref. Data. 1996. V. 25. P. 1–525. https://doi.org/10.1063/1.555985
- Polkovnichenko A.V., Lupachev E.V., Kisel’ A.V., Kvashnin S.Ya., Kulov N.N. Perfluoro(7-Methylbicyclo[4.3.0]Nonane) and Perfluoro(Butylcyclohexane): Physicochemical, Thermophysical, and Spectral Data // J. Chem. Eng. Data. 2023. V. 68. № 3. P. 499–517. https://doi.org/10.1021/acs.jced.2c00588
- Morrison J.A. Richards E.J. Thermodynamic study of phase transitions in carbon tetrachloride // J. Chem. Thermodynam., 1976. V. 8. P.1033-1038. https://doi.org/10.1016/0021-9614(76)90134-8
- Williams M. The Merck Index: An Encyclopedia of Chemicals, Drugs, and Biologicals, 15th Edition / Ed. O’Neil M.J. Cambridge, UK: Royal Society of Chemistry. 2013. p. 2708. ISBN 9781849736701
- Yalkowsky S.H., Wu M. Estimation of the ideal solubility (crystal–liquid fugacity ratio) of organic compounds // J. Pharmaceutical Sciences. 2010. V. 99. № 3. P. 1100–1106. https://doi.org/10.1002/jps.21897
- Alhadid A., Mokrushina L., Minceva M. Formation of glassy phases and polymorphism in deep eutectic solvents // J. Molecular Liquids. 2020. V. 314. P. 113667. https://doi.org/10.1016/j.molliq.2020.113667
Supplementary files








