Prediction of Nanofiltration Purification of Industrial Solutions from Metal Ions Based on the Theories of Convective Diffusion and Hydrodynamics
- Authors: Lazarev S.I.1, Protasov D.N.1, Abonosimov O.A.1, Lazarev D.S.1, Shestakov K.V.1
-
Affiliations:
- Tambov State Technical University
- Issue: Vol 57, No 3 (2023)
- Pages: 325-334
- Section: Articles
- Published: 01.05.2023
- URL: https://bakhtiniada.ru/0040-3571/article/view/138473
- DOI: https://doi.org/10.31857/S0040357123030090
- EDN: https://elibrary.ru/RPFWXZ
- ID: 138473
Cite item
Full Text
Abstract
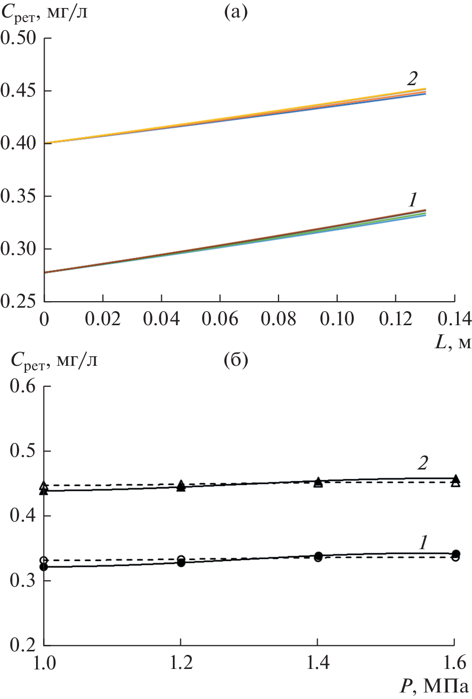
The paper analyzes the state of the problem of the theoretical prediction of the retention coefficient and specific output flow for purification or concentration of industrial solutions throughout the cycle of nanofiltration separation of industrial solutions containing metal ions. To predict the nanofiltration process, a mathematical model is developed based on solving the equations of convective diffusion, the Navier–Stokes equation, and the flow continuity equation using a polar coordinate system. The theoretical results obtained as a result of solving the system of equations make it possible to evaluate the quality and productivity of nanofiltration separation by calculating the concentrations in the permeate and retentate tracts and the permeate volume. The adequacy of the developed method is assessed by comparing the data calculated using the model with the experimental data obtained on a nanofiltration unit during the separation of solutions containing Cr3+ and Zn2+ cations using semi-permeable membranes OPMN-P and AMN-P.
Keywords
About the authors
S. I. Lazarev
Tambov State Technical University
Email: kostyanshestakov@mail.ru
Tambov, Russia
D. N. Protasov
Tambov State Technical University
Email: kostyanshestakov@mail.ru
Tambov, Russia
O. A. Abonosimov
Tambov State Technical University
Email: kostyanshestakov@mail.ru
Tambov, Russia
D. S. Lazarev
Tambov State Technical University
Email: kostyanshestakov@mail.ru
Tambov, Russia
K. V. Shestakov
Tambov State Technical University
Author for correspondence.
Email: kostyanshestakov@mail.ru
Tambov, Russia
References
- Кузнецова Е.Ю., Акулова А., Мотовилов А.В. Проблемы и решения переработки и утилизации сточных вод гальванических производств // Евразийский Союз Ученых. 2016. № 3–4(24). С. 109.
- Мосталыгина Л.В., Костин А.В., Шерстобитов Г.С., Прокопьева Е.А., Мосталыгин А.Г., Бирюков М.Ф. Изучение качественного состава гальванического отхода от очистки гальванической ванны и возможностей его обезвреживания // Вестник КГУ. 2014. № 2(33). С. 88.
- Белогородская М.Ю., Игнаткина Д.О., Юрьев Ю.Ю., Тимофеев А.Г., Нестерчук А.В. Повышение качества очистки сточных вод машиностроительных предприятий, использующих хромовый ангидрид // Инженерно-строительный вестник Прикаспия. 2021. № 4(38). С. 33.
- Первов А.Г., Спицов Д.В. Разделение высокоминерализованных стоков установок ионного обмена с применением нанофильтрационных мембран // Системные технологии. 2021. № 2(39). С. 34.
- Filippov A.N., Iksanov R.H., Kononenko N.A., Berezina N.P., Falina I.V. Theoretical and experimental study of asymmetry of diffusion permeability of composite membranes // Colloid. J. 2010. 72(2). P. 243.
- Кисель А.В. Опреснение морской воды черного, азовского и каспийского морей методами мембранных технологий // Вестник науки. 2019. № 2(11). С. 79.
- Бурдо О.Г., Терзиев С.Г., Мордынский В.П., Сиротюк И.В., Фатеева Я.А., Молчанов М.Ю. Разработка низкотемпературной установки блочного типа для деминерализации морской воды // Проблемы региональной энергетики. 2022. № 2(54). С. 13.
- Винницкий В.А., Чугунов А.С., Ершов М.В. Влияние расхода ретентата на мембранное разделение бинарных растворов хлоридов натрия, магния и кальция // Изв. вузов. Химия и хим. технология. 2021. № 10. С. 46.
- Антипова Л.В., Титов С.А., Жданов В.Н., Карпак А.Н. Использование измерений внутреннего трения для исследования ультра- и нанофильтрации модифицированной творожной сыворотки // Вестник ВГУИТ. 2018. № 4(78). С. 298.
- Sloan J.M. Following multicomponent diffusion in polymers by FT-IR-ATR. The Pittsburgh Conference on Analytical Chemistry and Applied Spectroscopy “Science for 21st Century”, March 12–17, 2000. NewOrleans, LA, 2000. P. 1784.
- Ridgway H.F., Orbell G., Gray S. Molecular simulations of polyamide membrane materials used in desalination and water reuse applications: Recent developments and future prospects // J. Membrane Science. 2017. V. 524. P. 436.
- Cha M., Boo C., Park C. Simultaneous retention of organic and inorganic contaminants by a ceramic nanofiltration membrane for the treatment of semiconductor wastewater // Process Safety and Environmental Protection. 2022. V. 159. P. 525.
- Лазарев С.И., Ковалев С.В., Коновалов Д.Н., Луа П. Электрохимические и транспортные характеристики мембранных систем при электронанофильтрационном разделении растворов, содержащих нитрат аммония и сульфат калия // Электрохимия. 2021. Т. 57. № 6. С. 355. [Lazarev S.I., Kovalev S.V., Konovalov D.N., Lua P. Electrochemical and transport characteristics of membrane systems in the electronanofiltration separation of solutions containing ammonium nitrate and potassium sulfate // Russian Journal of Electrochemistry. 2021. V. 57. № 6. P. 607.]
- Goosen M.F.A., Sablani S.S., Al-Maskari S.S., Al-Belushi R.H., Wilf M. Effect of feed temperature on permeate flux and mass transfer coefficient in spiral-wound reverse osmosis systems // Desalination. 2002. V. 144. № 1–3. P. 367.
- Шестаков К.В., Лазарев С.И., Хохлов П.А., Полянский К.К. Прогнозирование процесса электрохимического баромембранного разделения промышленных растворов на основе фрикционной теории // Теор. Основы Хим. Техн. 2021. Т. 55. № 6. С. 754 [Shestakov K.V., Lazarev S.I., Khokhlov P.A., Polyanskii K.K. Predicting the electrochemical pressure-driven membrane separation of industrial solutions using friction theory // Theoretical Foundations of Chemical Engineering. 2021. V. 55. № 6. P. 1221.]
- Байков В.И., Зновец П.К. Ультрафильтрация в плоском канале с одной проницаемой поверхностью // ИФЖ. 1999. Т. 72. № 1. С. 32. [Baikov V.I., Znovets P.K. Ultrafiltration in a Plane Channell with One Permeable Surface // Journal of engineering physics and thermophysics. 1999. V. 72. № 1. P. 32.]
- Муравьев Л.Л. Моделирование работы обратноосмотических установок с рулонными фильтрующими элементами // Химия и технология воды. 1989. Т. 11. № 1. С. 107.
- Абоносимов О.А., Лазарев С.И., Ковалев С.В., Рябинский М.А. К вопросу математического моделирования массопереноса в баромембранных аппаратах рулонного типа // Изв. вузов. Химия и хим. технология. 2007. Т. 50. № 8. С. 64.
- Родионов Д.А., Лазарев С.И., Протасов Д.Н., Абоносимов О.А., Полянский К.К. Математическая модель процесса ультрафильтрационного концентрирования вторичного молочного сырья в трубчатом мембранных аппаратах с фильтрующими элементами типа БТУ 05/2. // Вестник Воронежского государственного университета инженерных технологий. 2021. Т. 83. № 1(87). С. 36–43.
- Кругликов С.С., Архипов Е.А., Жирухин Д.А., Смирнов К.Н., Ваграмян Т.А., Колесников В.А., Филатова Е.А. Повышение эффективности электромембранных процессов на участке электрохимического кадмирования // Теор. основы хим. техн. 2021. Т. 55. № 3. С. 286 [Kruglikov S.S., Arkhipov E.A., Zhirukhin D.A., Smirnov K.N., Vagramyan T.A., Kolesnikov V.A., Filatova E.A. Increasing the efficiency of electromembrane processes in the area of electrochemical cadmium plating // Theoretical Foundations of Chemical Engineering. 2021. V. 55. № 3. P. 359].
- Лазарев С.И., Ковалева О.А., Попов Р.В., Ковалев С.В., Игнатов Н.Н. Электромембранная очистка сточных вод химических производств от ионов Cr6+, Zn2+, , Сl– // Изв. вузов. Химия и хим. технология. 2018. Т. 61. Вып. 4–5. С. 119–125.
Supplementary files






