Изотопные эффекты воды в равновесиях жидкость–пар при переходе к водно-неэлектролитному растворителю
- Авторы: Лященко А.К.1, Полковниченко А.В.1, Кулов Н.Н.1
-
Учреждения:
- Институт общей и неорганической химии им. Н.С. Курнакова РАН
- Выпуск: Том 57, № 3 (2023)
- Страницы: 249-251
- Раздел: Статьи
- Статья опубликована: 01.05.2023
- URL: https://bakhtiniada.ru/0040-3571/article/view/138458
- DOI: https://doi.org/10.31857/S0040357123030107
- EDN: https://elibrary.ru/RPGNOS
- ID: 138458
Цитировать
Полный текст
Аннотация
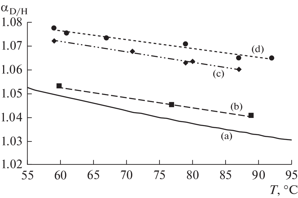
В растворах неэлектролитов присутствует единая сетка водородных связей, включающая молекулы растворенных веществ, связанную воду, объемную воду и гидратные оболочки молекул в растворе. При определенных условиях должны существовать корреляции объемных свойств жидкой смеси и коэффициента разделения изотопных форм воды между жидкой и паровой фазами. Смещение изотопного равновесия в системе жидкость–паровая фаза для воды при переходе от воды к растворам неэлектролитов связано с нарушением степени связанности и структурированности воды смешенного растворителя. На примере растворов мочевины показано, что этот эффект может быть одним из основных и может определять увеличение коэффициентов разделения изотопных форм воды при переходе от воды к раствору.
Ключевые слова
Об авторах
А. К. Лященко
Институт общей и неорганической химии им. Н.С. Курнакова РАН
Email: aklyas@mail.ru
Россия, Москва
А. В. Полковниченко
Институт общей и неорганической химии им. Н.С. Курнакова РАН
Email: anzakhlevniy@rambler.ru
Россия, Москва
Н. Н. Кулов
Институт общей и неорганической химии им. Н.С. Курнакова РАН
Автор, ответственный за переписку.
Email: anzakhlevniy@rambler.ru
Россия, Москва
Список литературы
- Lyashchenko A.K. Structure and Structure-Sensitive Properties of Aqueous Solutions of Electrolytes and Nonelectrolytes. In: Advances in Chemical Physics, W. Coffey (Ed.). 2007. P. 379–426
- Лященко А.К., Серебренников Г.М., Тараненко Н.П. Температурная зависимость сокристаллизации солей из водных растворов // Журн. неорганической химии. 1982. Т. 27. С. 1895–1902
- Frank H.S., Franks F. Structural Approach to the Solvent Power of Water for Hydrocarbons; Urea as a Structure Breaker // J. Chem. Phys. 1968. V. 48. P. 4746–4757. https://doi.org/10.1063/1.1668057
- Lyashchenko A.K., Dunyashev V.S., Zasetsky A.Yu. Effects of concentration on the microwave dielectric spectra of aqueous urea solutions // Russian J. Physical Chemistry A. 2017. V. 91. P. 887–893. https://doi.org/10.1134/S0036024417050168
- Kakiuchi M. Distribution of isotopic water molecules, H2O, HDO, and D2O, in vapor and liquid phases in pure water and aqueous solution systems // Geochim. Cosmochim. Acta. 200. V. 64. P. 1485–1492. https://doi.org/10.1016/S0016-7037(99)00281-1
- Kulov N.N., Polkovnichenko A.V., Lupachev E.V., Voshkin A.A., Magomedbekov E.P. Distribution of Hydrogen Isotopes between Phases at Vapor–Liquid Equilibrium in Aqueous Salt Solutions // Theoretical Foundations of Chemical Engineering. 2020. V. 54. P. 132–138. [Кулов Н.Н., Полковниченко А.В., Лупачев Е.В., Вошкин А.А., Магомедбеков Э.П. распределение изотопов водорода между фазами при парожидкостном равновесии водных солевых растворов // Теорет. основы хим. техн. 2020. Т. 54. № 1. С. 3–9]https://doi.org/10.1134/S0040579520010108
- Kulov N.N., Polkovnichenko A.V., Lupachev E.V., Kisel’ A.V., Voshkin A.A., Magomedbekov E.P. Studying the Kinetics of Mass Transfer in the Distillation of Water Hydrogen Isotopes in the Presence of Urea // Theoretical Foundations of Chemical Engineering. 2021. V. 55. P. 207–214. [Кулов Н.Н., Полковниченко А.В., Лупачев Е.В., Кисель А.В., Вошкин А.А., Магомедбеков Э.П. Исследование кинетики процесса массообмена при ректификации изотопов водорода воды в присутствии карбамида // Теорет. основы хим. техн. 2021. Т. 55. № 2. С. 135–142]https://doi.org/10.1134/S0040579521020044
- Pokalchuk V.S., Magomedbekov E.P., Rastunova I.L., Chebotov A.Yu., Kulov N.N. Estimation of the Separation Coefficient of Oxygen Isotopes in Aqueous Salt Solutions // Theoretical Foundations of Chemical Engineering. 2020. V. 54. P. 1127–1130. [Покальчук В.С., Магомедбеков Э.П., Растунова И.Л., Чеботов А.Ю., Кулов Н.Н. Оценка величины коэффициента разделения изотопов кислорода в водных солевых растворах // Теорет. основы хим. техн. 2020. Т. 54. № 6. С. 663–667.]https://doi.org/10.1134/S0040579520060184
- Kakiuchi M., Matsuo S. Fractionation of hydrogen and oxygen isotopes between hydrated and free water molecules in aqueous urea solution // J. Phys. Chem. 1985. V. 89. P. 4627–4632. https://doi.org/10.1021/j100267a043
- Jakli G., van Hook W.A. Isotope effects in aqueous systems. 12. Thermodynamics of urea-h4/water and urea-d4/water-d2 solutions // J. Phys. Chem. 1981. V. 85. P. 3480–3493. https://doi.org/10.1021/j150623a025
- Horita J., Wesolowski D.J. Liquid-vapor fractionation of oxygen and hydrogen isotopes of water from the freezing to the critical temperature // Geochim. Cosmochim. Acta. 1994. V. 58. P. 3425–3437. https://doi.org/https://doi.org/10.1016/0016-7037(94) 90096-5
Дополнительные файлы





