Chemical Composition of Glycine soja (Fabaceae) Seeds from the Amur Region Territory
- Авторлар: Lavrent’yeva S.I.1,2, Ivachenko L.E.1,2, Blinova A.A.1, Bondarenko O.N.1, Kuznetsova V.A.3
-
Мекемелер:
- All-Russian Scientific Research Institute of Soybean
- Blagoveshchensk State Pedagogical University
- Vavilov All-Russian Institute of Plant Genetic Resources
- Шығарылым: Том 59, № 1 (2023)
- Беттер: 38-53
- Бөлім: Component Composition of Resource Species
- URL: https://bakhtiniada.ru/0033-9946/article/view/138763
- DOI: https://doi.org/10.31857/S0033994623010065
- EDN: https://elibrary.ru/YANVXH
- ID: 138763
Дәйексөз келтіру
Толық мәтін
Аннотация
Abstract—
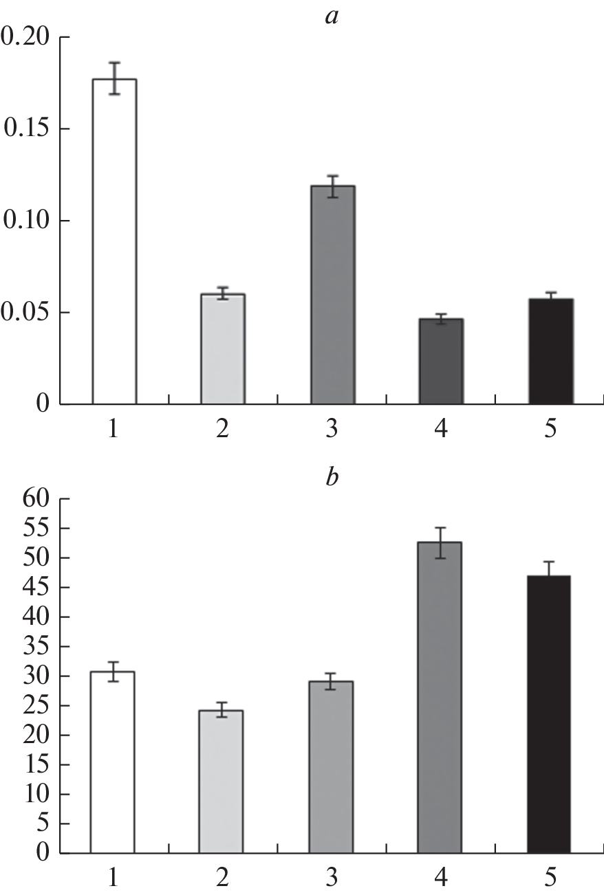
Wild soybean Glycine soja Sieb. & Zucc., the wild ancestor of the cultivated soybean Glycine max (L.) Merr., is the source of many valuable genes missing in the genotype of cultivated soybean, including stress resistance to adverse environmental factors. The biochemical parameters (protein, oil, ascorbic acid, carotene, higher fatty acids, specific activity and multiple forms of enzymes of the oxidoreductase and hydrolase classes) of five forms of wild soybeans from the collection of the All-Russian Research Institute of Soybean, which are unique natural gene banks, were studied. The wild seeds were collected for in three districts of the Amur Region (Arkharinsky, Blagoveshchensk, Belogorsky) and grown on the crop rotation field. The obtained results of enzymatic activity (superoxide dismutase, catalase, peroxidase, polyphenol oxidase, ribonuclease, acid phosphatase, esterase and amylase) and biochemical parameters of the studied seeds of wild soybean forms allowed us to identify the form KA-1413 with high biochemical parameters (protein, oleic and linolenic acids), a low specific polyphenol oxidase activity, and an increased activity of superoxide dismutases, esterases and ribonucleases. Thus, the wild soybean form KA-1413 can be recommended as a source of dominant genes, which will help to increase the adaptive potential of new soybean varieties. The increased heterogeneity of multiple forms of SOD, AML, RNase and esterase in wild soybean seeds can be used as adaptation markers to environmental conditions.
Негізгі сөздер
Авторлар туралы
S. Lavrent’yeva
All-Russian Scientific Research Institute of Soybean; Blagoveshchensk State Pedagogical University
Хат алмасуға жауапты Автор.
Email: lana.lavrenteva.1984@mail.ru
Russia, Blagoveshchensk; Russia, Blagoveshchensk
L. Ivachenko
All-Russian Scientific Research Institute of Soybean; Blagoveshchensk State Pedagogical University
Email: lana.lavrenteva.1984@mail.ru
Russia, Blagoveshchensk; Russia, Blagoveshchensk
A. Blinova
All-Russian Scientific Research Institute of Soybean
Email: lana.lavrenteva.1984@mail.ru
Russia, Blagoveshchensk
O. Bondarenko
All-Russian Scientific Research Institute of Soybean
Email: lana.lavrenteva.1984@mail.ru
Russia, Blagoveshchensk
V. Kuznetsova
Vavilov All-Russian Institute of Plant Genetic Resources
Email: lana.lavrenteva.1984@mail.ru
Russia, Vladivostok
Әдебиет тізімі
- Kofsky J., Zhang H., Song B.H. 2018. The Untapped Genetic Reservoir: The Past, Current, and Future Applications of the Wild Soybean (Glycine soja). – Front. Plant Sci. 9: 949. https://doi.org/10.3389/fpls.2018.00949
- Zhuang Y., Li X., Hu J., Xu R., Zhang D. 2022. Expanding the gene pool for soybean improvement with its wild relatives. – aBIOTECH. 3(2): 115–125. https://doi.org/10.1007/s42994-022-00072-7
- Tuchkova T.P., Dushko O.S. 2016. Study of economically valuable traits in wild forms of soy in Priamurye. – Far East Agrarian Bulletin. 4(40): 80–85. https://www.elibrary.ru/item.asp?id=30682421 (In Russian)
- Ala A.Ya. 2000. [The study of the collection of wild soybeans by economically valuable and morphological characteristics]. – In: [Issues of biology and technology of the soybean’s cultivation in the Russian Far East]. Blagoveshchensk. P. 26–31. (In Russian)
- Nawaz M.A., Yang S.H., Rehman H.M., Baloch F.S., Lee J.D., Park J.H., Chung G. 2017. Genetic diversity and population structure of Korean wild soybean (Glycine soja Sieb. and Zucc.) inferred from microsatellite markers. – Biochem. Sys. Ecol. 71: 87–96. https://doi.org/10.1016/j.bse.2017.02.002
- Nedoluzhko A.V. 2008. [The study of the genetic structure of wild soybean populations as an element of studying the biosafety of genetically modified plants in the centers of origin and diversity of the species: Abstr. Dis. … Cand. (Biol-ogy) Sci.]. Moscow. 26 p. (In Russian)
- Kozak M.F. 2004. [Questions of evolutionary morphology and cytogenetics of soybean]. Astrakhan. 166 p. https://science.asu.edu.ru/index.php/files/download/3646 (In Russian)
- Tikhonov A.V., Martynov V.V., Dorokhov D.B. 2011. Study of interactions between wild soybean subpopulations (Glycine soja) in the valley of the Tsukanovka river in the south of Russia’s Far East. – Cytology and Genetics. 45(4): 214–219. https://doi.org/10.3103/S0095452711040116 (In Russian)
- Nawaz M.A., Yang S.H., Chung G. 2018. Wild Soybeans: An Opportunistic Resource for Soybean Improvement. – In: Rediscovery of Landraces as a Resource for the Future. InTech. https://doi.org/10.5772/intechopen.74973
- Xavier A., Jarquin A.D., Howard R., Ramasubramanian V., Specht J.E., Graef G.L., Beavis W.D., Diers B.W., Song Q., Cregan P.B., Nelson R., Mian R., Shannon J.G., McHale L., Wang D., Schapaugh W., Lorenz A.J., Xu S., Muir W.M., Rainey M. 2018. Genome-Wide analysis of grain yield stability and environmental interactions in a multiparental soybean population. – G3: Genes Genomes Genetics. 8(2): 519–529. https://doi.org/10.1534/g3.117.300300
- Zhou Z., Jiang Y., Wang Z., Gou Z., Lyu J., Li W., Yu Y., Shu L., Zhao Y., Ma Y., Fang C., Shen Y., Liu T., Li C., Li Q., Wu M., Wang M., Wu Y., Dong Y., Wan W., Wang X., Ding Z., Gao Y., Xiang H., Zhu B., Lee S.H., Wang W., Tian X. 2015. Resequencing 302 wild and cultivated accessions identifies genes related to domestication and improvement in soybean. – Nature Biotechnology. 33(4): 408–415. https://doi.org/10.1038/nbt.3096
- Hyten D.L., Song Q., Zhu Y., Choi I.Y., Nelson R.L., Costa J.M., Specht J.E., Shoemaker R.C., Cregan P.B. 2006. Impacts of genetic bottlenecks on soybean genome diversity. – PNAS. 103(45): 16666–16671. https://doi.org/10.1073/pnas.0604379103
- Ala A.Ya. 2001. The use of the gene pool of wild and cultivated soybeans in genetic breeding research. – In: [Genetic resources of cultural plants: Proceedings of International conference]. Saint Petersburg. P. 195–196. (In Russian)
- Ala V.S. 2006. Transfer of hereditary information from parents to offspring in interspecific soybean hybrids G. max × G. soja. – In: [Scientific support of soybean production in the Far East and Siberia]. Blagoveshchensk. P. 35–41. (In Russian)
- Kozak M.F. 2018. The results studies of hybrids of cultured and wild soybean. – Yestestvennye Nauki. 1(62): 7–27. https://www.elibrary.ru/item.asp?id=36293445 (In Russian)
- Minkach T.V., Selikhova O.A. 2019. Selection and genetic analysis of interspecific first-generation soybean hybrids. – Vestnik Altayskogo gosudarstvennogo agrarnogo universiteta. 8(178): 48–54. http://vestnik.asau.ru/index.php/vestnik/article/view/830/817 (In Russian)
- Kalitskaya N.G., Sinegovskaya V.T., Kobozeva T.P. 2021. Assessment of intra- and inter-species of the first-generation soybean hybrids. – Vestnik of the Russian Agricultural Science. 6: 4–7. https://doi.org/10.30850/vrsn/2021/6/4-7 (In Russian)
- Chen Q., Wang X., Yuan X., Shi J., Zhang C., Yan N., Jing C. 2021. Comparison of phenolic and flavonoid compound profiles and antioxidant and α-glucosidase inhibition properties of cultivated soybean (Glycine max) and wild soybean (Glycine soja). – Plants. 10(4): 813. https://doi.org/10.3390/plants10040813
- Li Y.H., Li W., Zhang C., Yang L., Chang R.Z., Gaut B.S., Qiu L.J. 2010. Genetic diversity in domesticated soybean (Glycine max) and its wild progenitor (Glycine soja) for simple sequence repeat and single-nucleotide polymorphism loci. – New Phytol. 188(1): 242–253. https://doi.org/10.1111/j.1469-8137.2010.03344.x
- Ala A.Ya., Ala V.S., Tuchkova T.P., Wang Lang 2009. Characteristics of the gene pool of wild and cultivated soybeans of the genus Clycine willd. – In: [State and prospects of the scientific support of the agribusiness industry in the Far East]. P. 65–71. (In Russian)
- Ivachenko L.E., Konichev A.S. 2016. [The role of soybean biologically active substances in adaptation to growing conditions]. Moscow. 154 p. (In Russian)
- Kambhampati S., Aznar-Moreno J.A., Hostetler C., Caso T., Bailey S.R., Hubbard A.H., Durrett T.P., Allen D.K. 2020. On the Inverse Correlation of Protein and Oil: Examining the Effects of Altered Central Carbon Metabolism on Seed Composition Using Soybean Fast Neutron Mutants. – Metabolites. 10(1): 18. https://doi.org/10.3390/metabo10010018
- Asekova S., Chae J.H., Ha B.K., Dhakal K.H., Chung G., Shannon J.G., Lee J.D. 2014. Stability of elevated α-linolenic acid derived from wild soybean (Glycine soja Sieb. & Zucc.) across environments. – Euphytica. 195(3): 409–418. https://doi.org/10.1007/s10681-013-1004-1
- Ivachenko L.E., Selihova O.A., Ala A.J., Ala V.S. 2011. Influence of weather conditions cultivation on morphological parameters and biochemical structure of wild soya. – Vestnik of Far Eastern Branch of Russian Academy of Sciences. 4(158): 67–72. https://www.elibrary.ru/item.asp?id=20598576 (In Russian)
- Lavrent’yeva S.I., Ivachenko L.Y., Golokhvast K.S., Nawaz M.A. 2019. Ribonuclease activity of Glycine max and Glycine soja sprouts as a marker adaptation to copper sulphate and zinc sulphate toxicity. – Biochemical Systematics and Ecology. 83: 66–70. https://doi.org/10.1016/j.bse.2019.01.007
- Chang Y., Zhang J., Bao G., Yan B., Qu Y., Zhang M., Tang W. 2020. Physiological Responses of Highland Barley Seedlings to NaCl, Drought, and Freeze-Thaw Stress. – Journal of Plant Growth Regulation. 40(1): 154–161. https://doi.org/10.1007/s00344-020-10085-5
- Chaudhary J., Deshmukh R., Mir Z.A., Bhat J.A. 2019. Metabolomics: An Emerging Technology for Soybean Improvement. – In: Biotechnology Products in Everyday Life. EcoProduction. Springer. P. 175–186. https://doi.org/10.1007/978-3-319-92399-4_12
- Sharova E.I. Medvedev S.S., Demidchik V.V. 2020. Ascorbate in the Apoplast: Metabolism and Functions. – Russ. J. Plant Physiol. 67(2): 207–220. https://doi.org/10.1134/S1021443720020156
- Makhanova R.S. 2011. [On the problem of peroxide lipid oxidation]. – Izvestiya Orenburg State Agrarian University. 1(29): 231–234. https://www.elibrary.ru/item.asp?id=15613202 (In Russian)
- Tyutyaev E.V. 2015. The state of photosynthetic pigments in the leaves of inbred lines and hybrids of corn. – Plant physiology and genetics. 47(2): 147–159. (In Russian)
- Hayrulina T.P., Semenova E.A. 2013. The temperature and water stressors impact on the low-molecular antioxidant content in soya seeds. – The Bulletin of KrasSAU. 2(77): 22–26. https://www.elibrary.ru/item.asp?id=18964545 (In Russian)
- Kolesnikova M.V. 2018. The activity of enzymes polyphenol oxidase and peroxidase under the effect of the joint plowing of straw of winter wheat and strain of Нumicola fuscoatra VNIISS 016. – Science Almanac. 4–3(42): 200–204. http://ucom.ru/doc/na.2018.04.03.200.pdf (In Russian)
- Xin J., Zhao X.H., Tan Q.L., Sun X.C., Zhao Y.Y., Hu C.X. 2019. Effects of cadmium exposure on the growth, photosynthesis, and antioxidant defense system in two radish (Raphanus sativus L.) cultivars. – Photosynthetica. 57(4): 967–973. https://doi.org/10.32615/ps.2019.076
- Nikerova K.M., Galibina N.A., Moshchenskaya Yu.L., Novitskaya L.L., Podgornaya M.N., Sofronova I.N. 2018.The antioxidant enzymes – indicators of different xylogenesis scenarios: in early ontogeny and in adult plants (example of Betula pendula Roth). – Transactions of KarRC RAS. 6: 68–80. https://doi.org/10.17076/eb787 (In Russian)
- Kawano T. 2003. Roles of the reactive oxygen species-generating peroxidase reactions in plant defense and growth induction. – Plant cell reports. 21(9): 829–837. https://doi.org/10.1007/s00299-003-0591-z
- Lutskiy E.O., Sundyreva M.A., Khablyuk V.V. 2019. Influence of water and temperature stress the activity of antioxidant enzyme of grapes. – Fruit growing and viticulture of South Russia. 56(02): 110–121. https://doi.org/10.30679/2219-5335-2019-2-56-110-121 (In Russian)
- Jumrani K., Bhatia V.S. 2019. Interactive effect of temperature and water stress on physiological and biochemical processes in soybean. – Physiol. Mol. Biol. Plants. 25(3): 667–681. https://doi.org/10.1007/s12298-019-00657-5
- Li Z., Kitov P.I., Kitova E.N., Mozenah F., Rodrigues E., Chapla D.G., Moremen K.W., Macauley M.S., Klassen J.S. 2020. CUPRA-ZYME: An Assay for Measuring Carbohydrate-Active Enzyme Activities, Pathways, and Substrate Specificities. – Anal. Chem. 92(4): 3228–3236. https://doi.org/10.1021/acs.analchem.9b05007
- Zhou Q., Xiao Q., Zhang Y., Wang X., Xiao Y., Shi D. 2019. Pig liver esterases PLE1 and PLE6: heterologous expression, hydrolysis of common antibiotics and pharmacological consequences. – Scientific reports. 9: Article ID 15564. https://doi.org/10.1038/s41598-019-51580-4
- Konarev V.G. 1983. [Plant proteins as genetic markers]. Moscow. 320 p. (In Russian)
- Glazko V.I. 2000. [Genetically determined enzyme polymorphism in soy varieties (Glycine max) and in wild soy (Glycine soja)]. – Cytology and Genetics. 34(2): 77–83.
- Konichev A.S., Popov A.P., Tsvetkov I.L., Filkov P.V. 2005. Enzymes as biochemical markers of water pollution. – Bulletin of the Moscow Region State University. Series: Natural Sciences. Moscow. P. 151–153. (In Russian)
- Mukhina Z.M., Dubina E.V. 2011. Molecular markers and how to use them in breeding and genetic researchers. – Polythematic online scientific journal of Kuban state agrarian university. 66(02): 97–107. http://ej.kubagro.ru/2011/02/pdf/09.pdf (In Russian)
- Sharma A., Tripathi M.K., Tiwari S., Gupta N., Tripathi N., Mishra N. 2021. Evaluation of Soybean (Glycine max L.) Genotypes on the Basis of Biochemical Contents and Anti-oxidant Enzyme Activities. – Legume Res. 44(12): 1419–1429. https://doi.org/10.18805/LR-4678
- Mohan M., Nair S., Bhagwat A., Krishna T.G., Yano M., Bhatia C., Sasaki T. 1997. Genome mapping, molecular markers and marker-assisted selection in crop plants. – Molecular Breeding. 3(2): 87–103. https://doi.org/10.1023/A:1009651919792
- Ivachenko L.E. 2011. [Enzymes as markers of soybean adaptation to growing conditions]. Blagoveshchensk. 192 p. (In Russian)
- Samadi N., Saeidi-sar S., Abbaspour H., Masoudian N. 2020. Measuring Genes Expression Involved in Enzymatic Defense and ABA Biosynthesis in Solanum lycopersicum L. (Red Cloud Cultivar) under Cold Stress. – Russian Journal of Plant Physiology. 67(1): 131–138. https://doi.org/10.1134/S1021443720010173
- Castañeda-Álvarez N.P., Khoury C.K., Achicanoy H.A., Bernau V., Dempewolf H., Eastwood R.J., Guarino L., Harker R.H., Jarvis A., Maxted N., Müller J.V., Ramirez-Villegas J., Sosa C.C., Struik P.C., Vincent H., Toll J. 2016. Global conservation priorities for crop wild relatives. – Nature plants. 2: Article ID 16022. https://doi.org/10.1038/nplants.2016.22
- Bondarenko O.N., Blinova A.A., Ivachenko L.E., Lavrent’yeva S.I. 2022. Selection of microsatellite DNA loci for creating molecular genetic passports of wild forms and varieties of Amur soybean breeding. – Vestnik of Far Eastern branch of Russian academy of sciences. 2(222): 37–48. https://doi.org/10.37102/0869-7698_2022_222_02_3 (In Russian)
- [System of agriculture of the Amur region: production and practical guide]. 2016. Blagoveshchensk. 570 p. (In Russian)
- Rogozhin V.V., Rogozhina T.V. 2016. [Practical course on the biochemistry of agricultural products: study guide for universities]. Saint Petersburg. 480 p. (In Russian)
- Korobko V.V., Kasatkin M.Yu. 2017. [Plant Physiology: extended practical course]. Saratov. 120 p. (In Russian)
- Lowry O.H., Rosebrough N.J., Farr A.L., Randall R.J. 1951. Protein measurement with the Folin phenol reagent. – J. Biol. Chem. 193(1): 265–275. https://doi.org/10.1016/S0021-9258(19)52451-6
- Pleshkov B.P. 1985. [Practical course on plant biochemistry]. Moscow. 175 p. (In Russian)
- Ermakov A.I. 1987. [Methods of biochemical plants studies]. Leningrad. 430 p. (In Russian)
- Ivachenko L.E., Kashina V.A., Maskal’tsova E.S., Razantsvey V.I., Stasyuk E.M., Trofimtsova I.A. 2008. [Methods for studying the polymorphism of soybean enzymes: a study guide]. Blagoveshchensk. 142 p. (In Russian)
- Struchkova I.V., Kal’yasova E.A. 2012. [Theoretical and practical foundations of protein electrophoresis in polyacrylamide gel: Electronic study guide]. Nizhny Novgorod. 60 p. http://www.unn.ru/pages/e-library/methodmaterial/ files/Struchkova_Kalyasova.pdf (In Russian)
- Levites E.V. 1986. [Genetics of plant isoenzymes]. Novosibirsk. 145 p. (In Russian)
- Wendel J.F., Weeden N.F. 1989. Visualization and Interpretation of Plant Isozymes. – In Isozymes in Plant Biology. Springer. P. 5–45. https://doi.org/10.1007/978-94-009-1840-5_2
- Sibgatullina G.V., Khaertdinova L.R., Gumerova E.A., Akulov A.N., Kostyukova Yu.A., Nikonorova N.A., Rumyantseva N.I. 2011. [Methods for determining the redox status of cultivated plant cells: study guide]. Kazan. 61 p. (In Russian)
- Lavrent’yeva S.I., Yakimenko M.V. 2013. [Influence of agroecological growing conditions on soybean ribonuclease activity]. Blagoveshchensk. 128 p. (In Russian)
- Kochetov G.A. 1980. [A Practical Guide to Enzymology. Textbook for university biological students]. Moscow. 272 p. (In Russian)
- Xu W., Zhang N., Zhang Z., Jing P. 2019. Effects of dietary cyanidin-3-diglucoside-5-glucoside complexes with rutin/Mg(II) against H2O2-induced cellular oxidative stress. – Food Res. Int. 126: Article ID. 108591. https://doi.org/10.1016/j.foodres.2019.108591
- Rozova M.A., Ziborov A.I. 2016. The correlations of spring durum wheat yield with its structural components depending on the genotype productivity level and weather conditions in Ob river forest-steppe of the Altai region. – Bulletin of Altai State Agricultural University. 2(136): 44–49. https://www.asau.ru/files/vestnik/2016/2/044-049.pdf (In Russian)
- Akond M., Liu S., Boney M., Kantartzi S.K., Meksem K., Bellaloui N., Lightfoot D.A., Kassem M.A. 2014. Identification of Quantitative Trait Loci (QTL) Underlying Protein, Oil, and Five Major Fatty Acids’ Contents in Soybean. – Am. J. Pant Sci. 5(1): 158–167. https://doi.org/10.4236/ajps.2014.51021
- Ohlrogge J.B., Browse J. 1995. Lipid biosynthesis. – The Plant Cell. 7(7): 957–970. https://doi.org/10.1105/tpc.7.7.957
- Takagi Y., Hossain A.M., Yanagita T., Kusaba S. 1989. High linolenic acid mutant in soybean induced by X-ray irradiation. – Jpn. J. Breed. 39(4): 403–409. https://doi.org/10.1270/jsbbs1951.39.403
- Sangaev S.S. 2010. [Study of the role of extracellular ribonucleases in transgenic model tobacco plants (Nicotiana tabacum L.): Abstr. … Dis. Cand. (Biology) Sci.]. Novosibirsk. 16 p. https://www.dissercat.com/content/izuchenie-roli-ekstrakletochnykh-ribonukleaz-na-modeli-transgennykh-rastenii-tabaka (In Russian)
Қосымша файлдар









