Temperature dependences of conductivity of uniaxially strained topological insulator TaSe3 under different methods of creation of deformation
- Authors: Minakova V.E.1, Lukmanova R.M.1,2, Cohn I.A.1,2, Zaitsev-Zotov S.V.1,2
-
Affiliations:
- Kotelnkov Institute of Radioengineering and Electronics of RAS
- HSE University
- Issue: Vol 69, No 5 (2024)
- Pages: 463-468
- Section: НАНОЭЛЕКТРОНИКА
- URL: https://bakhtiniada.ru/0033-8494/article/view/275946
- DOI: https://doi.org/10.31857/S0033849424050098
- EDN: https://elibrary.ru/ILBQGE
- ID: 275946
Cite item
Full Text
Abstract
The results of studies of the influence of uniaxial strain on the conductivity of the topological insulator TaSe3 are presented. Using the application of controlled elongation, the dependence of resistance at room temperature on the strain value was measured up to record strain values of ε = 2%. Using the elastic substrate bending technique, the measurements are extended towards the compressive strain. It was found that the dependence of resistance on deformation is described by the relation R(ε) = R0 ехр(–аε) at а ≈ 102. The influence of uniaxial strain on the temperature dependences of conductivity using various methods of creating strain was studied. When creating a strain of more than 0.5 ± 0.1% by the method of controlled elongation, the material goes into a dielectric state in the temperature range from helium to 300 K; at deformations of more than 1% at temperatures of 50 ... 70 K, a maximum resistance appears, associated with partial relaxation of uniaxial deformation in the volume of the sample. It is shown that the use of the widely used technique of bending the substrate to create strain can lead to the appearance of artifacts in the temperature dependences of the conductivity of the samples.
Full Text
ВВЕДЕНИЕ
Триселенид тантала — квазиодномерный проводник из класса трихалькогенидов переходных металлов V группы, в котором не происходит пайерлсовский переход при понижении температуры T. Как и другие трихалькогениды переходных металлов, он имеет цепочечную атомную структуру. Данный материал остается металлом вплоть до температуры TC ≈ 2 K, при которой переходит в сверхпроводящее состояние [1]. По этой причине во времена интенсивного исследования свойств пайерлсовских проводников TaSe3 не привлекал большого внимания и оставался слабо изученным соединением. Тем не менее уже на раннем этапе исследования этого материала было обнаружено, что зависимость сопротивления от температуры остается металлической, имея при этом не характерное для металлов отрицательное значение второй производной, а при температуре около 2 К этот материал переходит в сверхпроводящее состояние. Было также обнаружено, что деформация растяжения переводит TaSe3 в состояние изолятора, на температурной зависимости сопротивления которого при более сильной деформации наблюдается пик [2]. При этом растянутый образец не демонстрирует ни сверхпроводящего перехода, ни гигантской аномалии сопротивления при переходе в сверхпроводящее состояние [2].
После того как существование топологических изоляторов было предсказано и подтверждено экспериментом, были начаты исследования и TaSe3 как топологического материала. В работе 2018 г. [3] первопринципные расчеты показали, что TaSe3 является полуметаллом, а также сильным топологическим изолятором, т. е. материалом, все поверхности которого обладают проводимостью, защищенной симметрией обращения времени. Там же были проведены расчеты, связанные с влиянием деформации по осям, перпендикулярным направлению цепочек, которые демонстрируют переход от сильного топологического изолятора к слабому при положительной деформации и к тривиальному — при отрицательной [3].
В данной работе показано, что существование сверхпроводящего перехода для этого соединения зависит от расположения химического потенциала. К настоящему времени нет точных данных о том, в какой топологической фазе находится этот материал в недеформированном состоянии. Так, в работе [4] с помощью ARPES (Angle Resolved PhotoEmission Spectroscopy) было экспериментально показано, что при деформации растяжения 0.6% TaSe3 переходит из состояния сильного топологического изолятора в тривиальное полуметаллическое, а при достижении 1.7% становится тривиальным полупроводником. Там же представлены расчеты, которые демонстрируют переход к слабому топологическому изолятору при отрицательной деформации. В публикации же 2022 г. [5] экспериментально продемонстрировано, что изначально данное соединение находится в фазе слабого топологического изолятора и только при достижении относительного удлинения более 1% переходит в фазу сильного топологического изолятора, а относительное удлинение, превышающее 3.5% переводит его в состояние тривиального изолятора.
Цель данной работы — детально исследовать влияние одноосного как растяжения, так и сжатия на характер проводимости высококачественных кристаллов TaSe3 (RRR (Residual Resistance Ratio) = R300/R4.2 ≈ 100).
Обнаружена экспоненциальная зависимость сопротивления от величины деформации. Показано, что эти кристаллы характеризуются чрезвычайно высокой тензочувствительностью и, кроме того, претерпевают качественное изменение транспортных свойств при деформациях. Продемонстрировано, что использование широко применяемой изгибной методики создания деформации может приводить к появлению артефактов на температурных зависимостях проводимости образцов.
1. РОСТ КРИСТАЛЛОВ И МЕТОДЫ ИССЛЕДОВАНИЯ
Высококачественные кристаллы TaSe3 были выращены стандартным методом газотранспортных реакций при использовании Se в качестве транспортного газа. Исходные материалы Ta и Se высокой чистоты с 10% избытком селена относительно стехиометрического количества были помещены в кварцевую ампулу длиной 20 см, откачаны до вакуума <10–4 Торр и затем ампула была отпаяна. Рост кристаллов проходил в трехзонной трубчатой печи в два этапа. На первом этапе проводили синтез TaSe3 при обратном градиенте температуры вдоль печи –2 °C/см, т. е. в наиболее холодной зоне ампулы при температуре 700 °С. На втором этапе происходил рост кристаллов методом газового транспорта в прямом градиенте температуры 2 °С/см, при котором исходное вещество находилось в горячем конце при температуре 725 °С, а кристаллы росли в холодном конце ампулы.
В данной работе одноосная деформация кристаллов создавалась несколькими методами.
Основные результаты были получены на образцах, концы которых были закреплены на двух подложках, расположенных на подвижных микрометрических столиках, раздвижка которых приводила к контролируемому удлинению образцов (рис. 1а). Характерные длины кристаллов, исследовавшихся данным методом, достигали 1 см, а поперечные размеры кристаллов достигали десятков микрон. Этот метод позволяет количественно контролировать удлинение образцов, однако в нем реализуется только деформация растяжения, поэтому далее будем называть его методом контролируемого удлинения образца. В одной из модификаций данного метода (рис. 1б) первоначально изготавливался образец, концы которого с двумя парами контактов располагались на двух подложках, закрепленных на подвижных платформах, снабженных микрометрическими винтами. После контролируемого растяжения образец приклеивали к одной из подложек, после чего к нему подводили еще два контакта, а часть образца, идущую ко второй подложке, обрезали. Для исследований температурных зависимостей сопротивления использовали подложку с образцом, снабженным четырьмя контактами.
Рис. 1. Методы создания одноосной деформации, использовавшиеся в данной работе: а, б — методы контролируемого удлинения образца; в — метод изгиба подложки; г — метод растяжения подложки с закрепленным образцом.
Второй метод создания одноосной деформации заключался в изгибе упругой подложки (далее — метод изгиба подложки), на поверхности которой был расположен изучаемый образец. Данный метод описан в литературе [6, 7] и позволяет получать как деформацию растяжения, так и деформацию сжатия. В нашем случае создавалась и исследовалась многослойная структура, показанная на рис. 1в. Последовательность создания структуры была следующая: сначала на медную фольгу толщиной 100 мкм наклеивали каптоновый скотч толщиной 40 мкм, на который с помощью серебряной пасты наклеивали четыре медные проволочки. Затем под микроскопом на скотч укладывали образец, на который через маску напыляли индиевые контакты, после чего структуру заливали эпоксидной смолой. Пример исследовавшейся структуры представлен на рис. 2. Следует обратить внимание, что деформация образца в этой структуре определяется толщиной и радиусом изгиба подложки из эпоксидной смолы. Достоинством такой структуры является сравнительно хороший тепловой контакт образца с медной фольгой.
Рис. 2. Вид сверху на многослойную структуру, использовавшуюся для создания одноосной деформации методом изгиба (фотография сделана до нанесения слоя эпоксидной смолы): серые области — напыленный контактный слой индия, темные — изолирующий слой каптона, видимый после удаления индия; образец микронной толщины виден в центре; размер подложки 5 × 15 мм2.
Третий метод создания одноосной деформации заключался в создании структуры на каптоне и ее последующем контролируемом растяжении (рис. 1г). Для создания такой структуры первоначально на каптоновую подложку с помощью серебряной пасты наклеивали четыре медные проволочки, после чего укладывали образец, на который через маску напыляли четыре индиевых контакта. При исследовании сравнительно больших образцов их края дополнительно закрепляли с помощью капель клея или эпоксидной смолы. При исследовании образов субмикронных поперечных размеров закрепление образцов осуществлялось слоем нанесенных индиевых контактов. Изучение проводимости наиболее тонких образцов длиной менее 100 мкм проводилось также и двухконтактным методом (далее — метод растяжения подложки.)
2. РЕЗУЛЬТАТЫ ИССЛЕДОВАНИЙ
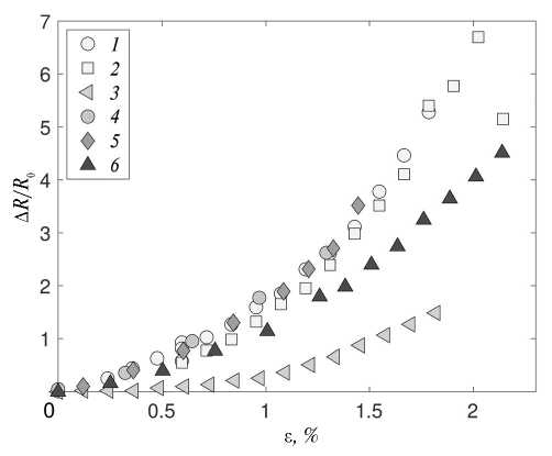
Для определения коэффициента тензочувствительности мы следили за тем, как меняется сопротивление образца при увеличении его длины вследствие растяжения кристалла. Измерения проводили методом контролируемого удлинения образца (см. рис. 1a) для образцов длиной более 1 см. Относительное изменение сопротивления образца ΔR/R0 измеряли при комнатной температуре, где ΔR = R(T, ε) — ΔR — изменение сопротивления образца при деформации ε, а R0 — сопротивление образца при T = 300 K и ε = 0. Величина деформации ε = ΔL/L0 характеризовалась относительным изменением длины образца, где ΔL — абсолютное увеличение длины образца при растяжении, а L0 — первоначальная длина недеформированного образца.
На рис. 3 представлено изменение ΔR/R0 при увеличении ε = ΔL/L0. Видно, что все исследованные кристаллы выдерживают деформацию до 1.5…2% при комнатной температуре. При этом их сопротивление может увеличиваться до восьми раз, а коэффициент тензочувствительности Kf = (ΔR/R0)/ε достигает рекордно высоких значений 300…350 при ε = 2%.
Рис. 3. Зависимости относительного изменения сопротивления TaSe3 при комнатной температуре от удлинения образца, полученные методом прямого натяжения. Параметры образцов: 1 — L = 8.4 мм, s = 11.7 мкм2, первое измерение; 2 — тот же образец, повторное измерение; 3 — L = 8.25 мм, s = 13.1 мкм2; 4 – L = 3.1 мм, s = 6.5 мкм2; 5 — L = 4.15 мм, s = 8.7 мкм2; 6 — L = 4.0 мм, s = 24.3 мкм2.
Согласно данным работы [2], в которой подобные исследования проводили при ряде фиксированных температур T = 293, 100, 77, 50 и 22 K, но при значительно меньших деформациях (ε ≈ 1%), величина (R(T, ε) — R(T,0))/R(T,0) при понижении температуры может увеличиваться более чем на 3.5 порядка: от 1…1.6 при комнатной температуре до 160…9500 при T = 22 K.
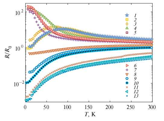
На рис. 4 приведены температурные зависимости нормированного сопротивления R(T)/R0(Т) образцов при различной величине и знаке деформации, полученные с помощью различных методик. Измерения проводили четырехконтактным методом. Величину деформации ε мы оценивали по величине ΔR/R0. Видно, что рост ε приводит к кардинальному изменению вида температурных зависимостей R/R0(Т). А именно: металлический характер проводимости при нулевой деформации (кривая 10), а также при деформациях сжатия (кривые 11–13) сменяется по мере растяжения диэлектрической зависимостью (кривые 1–7).
Рис. 4. Температурные зависимости сопротивления, нормированного на комнатное значение недеформированного образца, R/R0, при различных деформациях образцов: ε = 1.6 (1), 1.4 (2), 1.2 (3), 1.1 (4), 1.0 (5), 0.9 (6 и 7), 0.7 (8), 0.2 (9), 0 (10), –0.5 (11), –0.7 (12), –0.8% (13); кривые 1–10 получены методом контролируемого изгиба образца, 11–13 – методом изгиба подложки; отрицательные значения ΔR/R0 соответствуют деформации сжатия.
При деформациях растяжения, меньше критической εс ≈ 0.6% (ΔR/R0 ≈ 0.7, см. рис. 3), зависимости R/R0(Т) остаются металлическими, при этом увеличивается остаточное сопротивление и, соответственно, уменьшается величина RRR. Величина εc согласуется с величиной критической деформации из работы [2].
При 0.7 ≲ ΔR/R0 ≲ 1.1 зависимости R(T)/R0 демонстрируют диэлектрический характер без ярко выраженных максимумов вплоть до самых низких температур. При таких деформациях проводимость при T ≈ 10 K может увеличиваться до четырех порядков. Вид этих кривых качественно согласуется с кривыми из [2], исследованными при деформациях ε ≈ 1%.
Дальнейшее увеличение деформации растяжения позволило нам наблюдать максимум на кривой R(T)/R0, который с ростом ε уменьшается по амплитуде и сдвигается в область высоких температур (см. рис. 4, кривые 1–3).
Немонотонные зависимости R(Т), но с двумя максимумами, наблюдаются в NbSe3 — ближайшем родственнике TaSe3 по семейству трихалькогенидов переходных металлов [8, 9]. При этом каждый резкий рост сопротивления при понижении температуры соответствует одному из двух пайерлсовских переходов, которые в отличие от нашего случая происходят в недеформированных кристаллах. Кроме того, немонотонные зависимости R(Т) ранее наблюдались в чрезвычайно тонких ~300 нм мезопроволоках TaSe3 и их происхождение связывали с пайерлсовским переходом при TP = 65 К, что подтверждалось результатами изучения комбинационного рассеяния света и магнитной восприимчивости [10].
Наблюдающийся в данной работе вид немонотонной зависимости R(T)/R0 в случае деформации TaSe3 отличается от двух приведенных выше примеров: при высоких температурах на кривых R(T)/R0 не наблюдается участок с металлической проводимостью, предшествующий началу диэлектрического роста сопротивления. По нашему мнению, наблюдаемый пик связан с «расслоением» образца при больших деформациях, т. е. со скольжением внутренних атомных цепочек кристалла относительно растянутых внешних.
Методом изгиба подложки были проведены два типа исследований. Во-первых, при комнатной температуре была изучена зависимость проводимости от деформации как для случая растяжения образца, так и для случая его сжатия (рис. 5). Величину деформации определяли по формуле
ε = d / 2r,
где d — толщина слоя эпоксидной смолы, r — радиус изгиба подложки.
Рис. 5. Зависимости проводимости кристаллов TaSe3 при комнатной температуре от величины деформации, полученные методом прямой деформации (1 и 2) и методом изгиба подложки (3 — растяжение, 4 — сжатие); прямая линия 5 соответствует уравнению R(ε) = R0 exp(100 ε).
Для сравнения на том же рисунке представлены результаты, полученные при прямом измерении величины деформации (данные рис. 3). Видно, что в области положительного знака деформации зависимости практически совпадают и что смена знака деформации практически не изменяет характера зависимости R(ε). Это подтверждает применимость метода изгиба для количественного измерения деформации любого знака. В целом в пределах погрешности кривая описывается простым уравнением
R(ε) = R0 exp(aε), где а ≈ 102.
Тем не менее использование этого метода для исследования температурных зависимостей проводимости деформированных образцов приводит к появлению совершенно иных зависимостей, чем при использовании методов контролируемого удлинения образца или растяжения подложки. На рис. 6 представлен набор температурных зависимостей проводимости, полученных при различной исходной величине деформации образца, созданной методом изгиба подложки.
Рис. 6. Температурные зависимости проводимости кристаллов TaSe3 при различных деформациях, полученных методом изгиба подложки: ε = 0 (1), 0.6 (2), 1.1 (3), 1.4 (4) и 1.75% (5).
Видно, что, хотя при достаточно большой деформации на этих зависимостях вблизи комнатной температуры возникает диэлектрический ход проводимости c dR/dT <0, при понижении температуры он сменяется металлическим с dR/dT > 0. Такое поведение принципиально отличается от наблюдающегося при использовании методов контролируемого удлинения образца и растяжения подложки за исключением предельных величин растяжения (см. рис. 4).
Для выяснения причин такого поведения мы провели измерения коэффициента термического расширения эпоксидной смолы, использовавшейся для создания структур, изучаемых методом изгиба подложки. С этой целью была измерена температурная зависимость емкости конденсатора, образованного двумя пластинами, одна из которых была закреплена на латунных столбиках длиной 12 мм, а другая — на столбиках из эпоксидной смолы чуть меньшей длины. Расстояние между пластинами при комнатной температуре было несколько сот микрон. Оказалось, что емкость такого конденсатора с вакуумным промежутком существенно зависит от температуры. Из полученных результатов было определено, что коэффициент линейного расширения эпоксидной смолы примерно в два раза больше аналогичного коэффициента для латуни. Так как при уменьшении температуры от комнатной до гелиевой латунь уменьшает свои размеры примерно на 0.3%, то при использовании эпоксидной смолы в качестве подложки возникает дополнительная деформация кристалла на уровне –0.5%, которая объясняет появление немонотонных зависимостей проводимости от температуры растянутых образцов.
Из представленных данных видно, что и качественно, и количественно результаты исследования влияния одноосной деформации на проводимость оказываются зависящими от выбора методики измерения, что особенно ярко проявляется при исследовании TaSe3 — материала с рекордной чувствительностью к деформации. Фактически речь идет об очевидном выводе, что для правильной интерпретации результатов изучения влияния одноосной деформации на свойства материала требуется также учет термического расширения подложки. В первую очередь это относится к многочисленным результатам исследования квазиодномерных проводников, использующих подложки из эпоксидной смолы [7, 11].
ЗАКЛЮЧЕНИЕ
Таким образом, в работе представлены результаты изучения влияния одноосной деформации на зарядовый транспорт в высококачественных образцах квазиодномерного топологического материала TaSe3 с RRR > 100. Продемонстрирована возможность изменения сопротивления TaSe3 на один порядок при комнатной температуре и до пяти порядков при температуре 3 К. При комнатной температуре зависимость сопротивления от деформации в пределах разброса экспериментальных данных описывается экспоненциальной зависимостью R(ε) = R0 ехр(аε), где а ≈ 102, а исследовавшиеся кристаллы выдерживают деформацию до ε ≈ 2%. Оценен коэффициент тензочувствительности кристаллов TaSe3 при комнатной температуре Kf = (ΔR/R0)/ε = 300…350 при ε = 2%. Полученная величина Kf превышает наилучшие известные на сегодняшний день значения как минимум в 1.5 раза. Проведено детальное изучение влияния одноосной деформации кристаллов TaSe3 на температурную зависимость проводимости. Обнаружено появление максимума на зависимости R(Т) при деформациях ε > 1%, которое вызвано частичной релаксацией натяжения в объеме кристалла. При изучении влияния деформации на температурные зависимости сопротивления обнаружено появление максимумов на зависимости R(Т) при деформациях ε < 1%, возникновение которых объясняется большим значением коэффициента термического расширения эпоксидной смолы, который согласно результатам наших измерений приводит к уменьшению величины деформации примерно на 0.7% при понижении температуры от комнатной до гелиевой, по сравнению с деформацией кристаллов, расположенных на кварцевой подложке.
Авторы данной работы заявляют об отсутствии конфликта интересов.
БЛАГОДАРНОСТИ
Авторы выражают благодарность С. Г. Зыбцеву за рекомендации по выбору эпоксидной смолы и В. Я. Покровскому за полезные замечания.
ФИНАНСИРОВАНИЕ РАБОТЫ
Работа выполнена при финансовой поддержке Российского научного фонда (проект № 21-72-20114).
About the authors
V. E. Minakova
Kotelnkov Institute of Radioengineering and Electronics of RAS
Email: serzz@cplire.ru
Russian Federation, Mokhovaya Str. 11, Build.7, Moscow, 125009
R. M. Lukmanova
Kotelnkov Institute of Radioengineering and Electronics of RAS; HSE University
Email: serzz@cplire.ru
Physics Department
Russian Federation, Mokhovaya Str. 11, Build.7, Moscow, 125009; Myasnitskaya Str. 20, Moscow, 101000I. A. Cohn
Kotelnkov Institute of Radioengineering and Electronics of RAS; HSE University
Email: serzz@cplire.ru
Physics Department
Russian Federation, Mokhovaya Str. 11, Build.7, Moscow, 125009; Myasnitskaya Str. 20, Moscow, 101000S. V. Zaitsev-Zotov
Kotelnkov Institute of Radioengineering and Electronics of RAS; HSE University
Author for correspondence.
Email: serzz@cplire.ru
Physics Department
Russian Federation, Mokhovaya Str. 11, Build.7, Moscow, 125009; Myasnitskaya Str. 20, Moscow, 101000References
- Sambongi T., Yamamoto M., Tsutsumi K. et al. // J. Phys. Soc. Jap. 1977. V. 42. № 4. P. 1421.
- Tritt T. M., Stillwell E. P., Skove M. J. // Phys.Rev. 1986. V. 34. № 10. P. 6799.
- Nie S., Xing L., Jin R. et al. // Phys. Rev. B. 2018. V. 98. № 12. P. 125143.
- Lin C., Ochi M., Kuroda K. et al. // Nature Mater. 2021. V. 20. № 8. P. 1093.
- Hyun J., Jeong M. Y., Jung M. et al. // Phys. Rev. B. 2022. V. 105. № 11. P. 115143.
- Zhang Z., Li L., Horng J. et al. // Nano Lett. 2017. V. 17. № 10. P. 6097.
- Zybtsev S. G., Pokrovskii V. Ya. // Physica B: Condensed Matter. 2015. V. 460. P. 34.
- Haen P., Monceau P., Tisser B. et al. // Proc. 14 Int. Conf. on Low Temperature Physics. Otaniemi. August 14–20 Aug.1975 /Ed by M. Krusius, M. Vuorio. Amsterdam: North Holland Publishing Company, 1975. V. 5. Р. 445.
- Chaussy J., Haen P., Lasjaunias J. C. et al. // Solid State Commun. 1976. V. 20. № 8. P. 759.
- Yang J., Wang Y. Q., Zang R. R. et al. Appl. Phys. Lett. 2019. V. 115. № 3. P. 033102.
- Pokrovskii V. Ya., Zybtsev S. G. // Phys. Rev. B. 2016. V. 94. № 11. P. 115140.
Supplementary files








