Bifocal system of two reflect arrays
- Autores: Kaloshin V.A.1, Tuan T.2
-
Afiliações:
- Kotelnikov Institute of Radioengineering and Electronics RAS
- Moscow Institute of Physics and Technology (National Research University)
- Edição: Volume 69, Nº 3 (2024)
- Páginas: 217-226
- Seção: АНТЕННО-ФИДЕРНЫЕ СИСТЕМЫ
- URL: https://bakhtiniada.ru/0033-8494/article/view/266077
- DOI: https://doi.org/10.31857/S0033849424030024
- EDN: https://elibrary.ru/JVOATR
- ID: 266077
Citar
Texto integral
Resumo
A technique has been developed for accurately solving the problem of geometric-optical synthesis of a bifocal system of two flat reflect arrays, based on the sequential determination of the distribution of the eikonal introduced by different sections of the arrays, with its assignment at the initial section of one of the arrays, while the introduced eikonal at the initial section of the other array is found as a result of synthesis of the output flat front for the central position of the feed. The technique ensures the continuity of functions describing the distributions of introduced eikonals, as well as their first and second derivatives (along one coordinate) at the boundaries of sections. The dependence of the value of the mean square eikonal aberration at the system output on the arrays parameters has been studied. As an example of the application of the developed technique, the bifocal systems for visual angles of 40° and 65° were synthesized and optimized. A study of the radiation characteristics of an antenna based on synthesized and optimized bifocal systems was carried out.
Palavras-chave
Texto integral
Введение
В последнее время возрос интерес к исследованиям систем двух плоских отражательных антенных решеток [1–6], в том числе в качестве квазиоптических диаграммообразующих систем (ДОС) для многолучевых антенн. В частности, в работах [4–6] для формирования в плоскости симметрии антенны многолучевой диаграммы использована бифокальная офсетная система двух плоских отражательных решеток. Оптимизация фазовых распределений в отражательных решетках с целью минимизации аберраций при отклонении луча за счет смещения облучателя из фокуса системы проведена в этих работах с использованием численной процедуры. В результате в работе [5] реализовано усиление антенны 48 дБ в угловом секторе 8.6°.
Целью данной работы является разработка методики точного синтеза бифокальной системы двух плоских отражательных решеток, оптимизация параметров с целью минимизации среднеквадратичной аберрации эйконала на выходе системы при смещении облучателя из фокуса ортогонально плоскости симметрии системы и исследование характеристик антенн на основе синтезированных и оптимизированных бифокальных систем.
1. Синтез двухмерной бифокальной системы двух отражательных решеток
Рассмотрим сначала двумерную задачу синтеза бифокальной системы двух отражательных решеток, с одной стороны которой расположены два симметричных относительно оси y (рис. 1) фокуса (точки идеальной фокусировки F1 и F2).
Пусть распределения эйконала, внесенного вспомогательной 1 и основной 2 решетками (далее — решетка 1 и решетка 2) в результате двукратного прохождения сигналов через линии задержки каждой из решеток, описываются неизвестными функциями f1(x) и f2(x) соответственно. Зададим начальный участок распределения эйконала, внесенного решеткой 1, f10(x) = ax2 (–x0 ≤ x ≤ x0), а решеткой 2 — f20(x). Задача синтеза состоит в определении функций f10(x) и f20(x).
Потребуем, чтобы лучи источника, расположенного в точке фокуса F0 с координатами (0, d — f0), после двух отражений от начальных участков решеток сформировали линейный фронт y = h, где h — произвольная постоянная, d — глубина системы, f0 — расстояние от фокуса F0 до решетки 1. При этом центральный луч, падающий вдоль оси y на решетку 1 в точке H c координатами (0, d), отражается от нее, падает на решетку 2 в точке O, снова отражается и идет вдоль оси y. Эйконал этого луча от источника до фронта имеет вид
где f10(0) и f20(0) — внесенные эйконалы в точках H, O соответственно.
Рис. 1. Двумерная бифокальная система: 1 — вспомогательная решетка; 2 — основная решетка; 3 — распределение эйконала, внесенного решеткой 1; 4 — распределение эйконала, внесенного решеткой 2.
Другой луч, выходящий из точки F0, падает на решетку 1 в точке S, отражается от нее, падает на решетку 2 в точке T и отражается от нее параллельно оси y. При этом его эйконал определяется формулой
где f10(xS) и f20(xT) — эйконалы, внесенные в точках xS и xT соответственно.
F0S — расстояние от точки F0 до точки S, а – расстояние от точки S до точки T.
При этом угол α падения луча на решетку 1 и угол β отражения (см. рис. 1) связаны формулой
где α = arctg(xS /(d–f0)), — первая производная функции f10 в точке S.
Зная угол β, нетрудно найти координаты точки T (см. рис. 1):
Потребуем, чтобы все лучи, выходящие из фокуса F0 после двух отражений от решеток, были параллельны оси y и формировали в результате линейный фронт на выходе системы. Для этого необходимо равенство эйконалов всех лучей (от источника до фронта). Потребуем, чтобы эйконалы всех лучей были равны эйконалу центрального луча:
Решение этого уравнения имеет вид
Из выражения (3) определим первую производную функцию f2 в точке T
Множество точек T образует начальный участок решетки 2.
Далее определим координаты фокусов F1 и F2 таким образом, чтобы луч плоской волны, падающий на решетку под углом δ0 к оси y, после отражения в точке D(x0,0) попадал в точку A(–x0, d), а после отражения в точке A — в фокус F1. Из геометрии, представленной на рис. 1, нетрудно найти координаты этого фокуса, а также фокуса F2, учитывая, что он симметричен фокусу F1 относительно оси y:
где xA = –x0, yA = d; f — расстояние от края начального участка до фокуса, — угол между осью y и прямой, соединяющей фокус F1 с краем (точкой A) начального участка решетки 1. При этом
Из геометрии на рис. 1 следует, что угол выхода луча из системы определяется формулой
где – первая производная функции f2 в точке D.
Для определения нового участка решетки 2 предположим, что луч из фокуса F1 падает на начальный участок решетки 1, отражается от нее в точке Р, падает на решетку 2 в точке Q и отражается под углом δ0 (см. рис. 1). При этом угол между осью Y и лучом, падающим из точки F1 в точку P
а угол между осью y и лучом, отраженным от решетки в точке P
Координаты точки Q при этом определяются формулой
Потребуем равенство эйконалов всех лучей, которые выходят из фокуса F1 и после отражения от решетки идут параллельно (под углом δ0 к оси y)
где dD, dQ — расстояние соответственно от точек D и Q до фронта.
Решение уравнения (12) имеет вид
Множество точек Q образует новый участок решетки 2. При этом
Для определения эйконала на новом участке решетки 1 рассмотрим падение волны с линейным фронтом на решетку 2. Пусть луч, падающий на начальный участок решетки 2 в точке M под углом δ0 к оси y, отражается от решетки 2 и падает на решетку 1 в точке N, снова отражается и проходит через фокус F2 (см. рис. 1). Угол между осью y и отраженным лучом в точке М получаем по формуле
При этом координаты точки N
Приравнивая эйконалы лучей, получим уравнение
где dС, dМ — расстояние от точек С и М соответственно до фронта плоской волны.
Решение этого уравнения имеет вид
При этом
где αFN = arctg((xN–xF2)/f cosα0).
Множество точек N образует новый участок решетки 1.
Для обеспечения непрерывности амплитудного распределения отраженных от решеток волн в первом приближении геометрической оптики необходимо, чтобы вторые производные функций, описывающих распределение эйконалов, были непрерывными. Так как координаты точки N определяются через координаты точки M, вторую производную эйконала, внесенного вторым участком решетки 1 в точке N, определяем дифференцированием его первой производной в точке N по координате xM:
где
В результате получаем
Для того чтобы вторая производная на стыках участков решетки 1 была непрерывной, значение второй производной первого участка в точке В с координатами (x0, d) должно равняться значению второй производной в точке N, когда точки M и C совпадают. В результате получим уравнение
Решение уравнения (20) определяет коэффициент a, обеспечивающий непрерывность второй производной в точке B.
2. Синтез трехмерной бифокальной системы двух отражательных решеток
Рассмотрим трехмерную задачу синтеза бифокальной системы двух отражательных решеток, показанной на рис. 2.
Основная решетка 2 расположена в плоскости XY, а вспомогательная решетка 1 расположена под углом ξ к этой плоскости. При этом плоскость YZ является плоскостью симметрии задачи. При расположении источника сферической волны в двух симметричных относительно этой плоскости фокусах (F1 и F2) с другой стороны бифокальной системы формируются два симметричных относительно плоскости YZ плоских фронта.
Пусть распределение внесенного эйконала начальным участком решетки 1 имеет вид L10 = ax2+by2, где коэффициент b полагается заданным в начале синтеза. Для определения коэффициента а зададим также параметры: размер 2x0 начального участка решетки1 при y = 0, расстояние f от краев этого участка до фокусов и расстояние f0 от точки фокуса F0 для начальных участков до решетки1. Применяя алгоритм, описанный в разд. 1, находим коэффициент а и координаты точек F1, F2.
Рис. 2. Трехмерная бифокальная система: 1 — вспомогательная решетка; 2 — основная решетка; 3 — распределение эйконала внесенного решеткой 1; 4 — распределение эйконала внесенного решеткой 2.
Найдем распределение эйконала, внесенного начальным участком решетки 2, L20(x, y). Единичная нормаль к одному из выходных фронтов имеет вид
где δ — угол выхода луча (см. рис. 2). Эйконал соответствующего луча имеет вид
где h — расстояние от начала системы координат до фронта, L10(A), L20(D) — эйконалы в точках А, D соответственно.
Предположим, что луч из фокуса F1 попадает в точку M (yM ≠ 0), которая находится на границе начального участка решетки 1. После отражения в точке М луч проходит через точку N, лежащую на границе начального участка решетки 2. Лучевой вектор отраженного от решетки 1 луча имеет вид
где
F1M — расстояние от точки F1 до точки M,
Координаты точки N определяются формулой
где – единичная нормаль к плоскости XY, а эйконал луча имеет вид
где L20(N) — внесенный эйконал в точке N, а единичная нормаль определена в формуле (21).
После отражения в точке N луч выходит из нее параллельно
где – единичный выходной вектор луча в точке N,
MN — расстояние от точки M до точки N,
Учитывая условие параллельности всех лучей, выходяших из системы, получаем уравнение
где nxF, nxNF — проекции векторов , на ось x, а nzF, nzNF — проекции векторов на ось z.
Решая с использованием численной процедуры уравнение (27), находим зависимость xM(yM), которая определяет границу начального участка решетки 1. Зная координаты точки M на этой границе и используя формулы (24), определяем вектор и соответствующую границу xN(yN) начального участка решетки 2. Из условия равенства эйконалов находим величину
которая определяет начальный участок решетки 2.
Множества точек M, N образуют границы начальных участков решеток 1 и 2 соответственно.
Для синтеза нового участка решетки 2 предположим, что луч из фокуса F1 падает на решетку 1 в точке S. После отражения луч выходит из решетки в точке Т (см. рис. 2). Эти координаты можно найти по формулам (21)–(28) соответствующей заменой обозначений. Множество точек Т образует новый участок решетки 2.
Для синтеза нового участка решетки 1 рассмотрим падение плоского фронта, нормаль к которому параллельна плоскости XZ на начальный участок решетки 2. Пусть луч падает на эту решетку в точке Q под углом δ к плоскости XY (см. рис. 2). Его лучевой вектор имеет вид
Этот луч отражается решеткой 2, отражается в точке Р решетки 1 и проходит через фокус F2. Лучевой вектор луча PQ имеет вид
где nxPQ, nyPQ, nzPQ — проекции вектора .
Координаты точки P определяются формулами
Эйконал соответствующего луча имеет вид
где dQ — расстояние от точки Q до фронта плоской волны, L2(Q), L1(P) — эйконалы в точках Q, P соответственно.
Приравнивая (22) и (32), получаем уравнение
Производные функции в точке Р определяются формулами
Множество точек P образует новый участок решетки 1.
Для определения следующих участков решеток применим такой же алгоритм, используя синтезированные участки в качестве начальных.
3. Анализ аберраций и оптимизация параметров трехмерной бифокальной системы двух отражательных решеток
Для проведения процедуры синтеза, анализа аберраций и оптимизации системы необходимо определить набор исходных параметров: расстояние между решетками d, полуразмер начального отрезка решетки 1 x0, расстояние f от конца начального отрезка решетки 1 до фокуса F1, расстояние f0 от решетки 1 до фокуса F0. Далее используем описанный выше алгоритм для определения начальных участков решетки, затем повторим этот алгоритм m раз, чтобы получить новые участки решеток. В результате находим распределения внесенного эйконала на 2m+1 участке решеток.
Для анализа качества синтеза и оптимизации параметров бифокальной системы найдем среднеквадратическую аберрацию (СКА) эйконала на выходе, а также фокальную кривую, которая обеспечивает минимальное значение СКА. Формула для определения нормированной величины СКА (σ) имеет вид
где Li — эйконал i-го луча; n — количество учтенных лучей, D — размер эллиптической апертуры решетки 2 вдоль большой оси; L0 — эйконал опорного луча (относительно которого СКА имеет минимальное значение).
Для вычисления СКА бифокальной системы необходимо вычислить эйконалы n лучей, а для этого требуется знать направление фронта и значение эйконала L0 опорного луча.
В случае смещения источника из фокуса углы выхода лучей и положения ортогональных им фронтов будут различными. Рассчитаем траектории n лучей с разными углами выхода и из них выберем в качестве опорных несколько лучей, выходящих вблизи центра решетки 2. Затем, используя формулу (36), рассчитаем СКА относительно каждого опорного луча с соответствующим (ортогональным) фронтом и из полученных значений СКА выберем минимальное. Уточнить значение СКА можно, если ввести новые опорные лучи (вблизи найденного) и снова найти минимальное значение СКА.
Для определения фокальной кривой бифокальной системы, необходимо найти геометрическое место положений источника, которое обеспечивает минимальное значение СКА. Декартовые и полярные координаты источника связаны следующими формулами:
где ρ — радиальная, а ψ — угловая координата (рис. 3).
Задача состоит в нахождении оптимальной функции ρ(ψ). Для этого, используя в качестве начальных точек фокусы системы и стандартную численную процедуру поиска минимума, находим ρ для нескольких значений угла ψ. Затем, применяя сплайн-интерполяцию, получаем функцию ρ(ψ), которая определяет фокальную кривую.
Далее исследуем СКА бифокальной системы в зависимости от параметров f и p = d — f0 для двух значений параметра x0, которые при заданной величине d определяют угол зрения. Линии уровня СКА для d = 1 и x0 = 0.15 и x0 = 0.205, соответствующих значениям угла зрения 40° и 65°, в зависимости от параметров f и p показаны на рис. 4а, 4б. Из рисунков видно уменьшение величины СКА по мере приближения параметров системы к границам областей существования решения задачи синтеза.
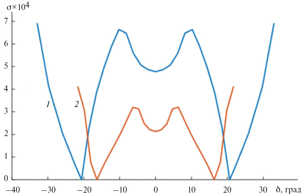
На рис. 5 представлены графики зависимости от угла зрения СКА бифокальных систем, синтезированных и оптимизированных для угла зрения 40° и 65°.
Как видно на рисунке, минимальные значения СКА для первой системы в пределах угла зрения 40° составляют 3.2×10–4, а в пределах угла зрения 65° для второй системы — 6.5×10–4.
Рис. 3. Геометрия системы с фокальной кривой: 1 — решетка 1; 2 — решетка 2; 3 — фокальная кривая.
Рис. 4. Линии уровня величины 106 σ в зависимости от параметров p и f/p: (а) — угол зрения 40° (x0 = 0.15, d = 1), (б) — угол зрения 65° (x0 = 0.205, d = 1).
Рис. 5. Зависимость величины 104σ оптимальных бифокальных систем от угла зрения: x0 = 0.205, f/p = 0.9334, p = 0.9575 (кривая 1); x0 = 0.15, f/p = 1.0043, p = 0.9815 (кривая 2).
4. Анализ бифокальной антенны
Рассмотрим антенну на основе бифокальной системы, синтезированной и оптимизированной для угла зрения 40° (рис. 6). В качестве облучателя используем скалярный рупор с амплитудным распределением в апертуре
где J0 — бесселева функция с нулевым индексом, радиус в полярной системе координат, ρ0 — радиус апертуры рупора, δ0 = 2.4048 — первый корень производной функции Бесселя с нулевым индексом.
Рис. 6. Проекция трехмерной бифокальной системы на плоскость XY.
Рис. 7. Диаграммы направленности лучей бифокальной антенны в H-плоскости.
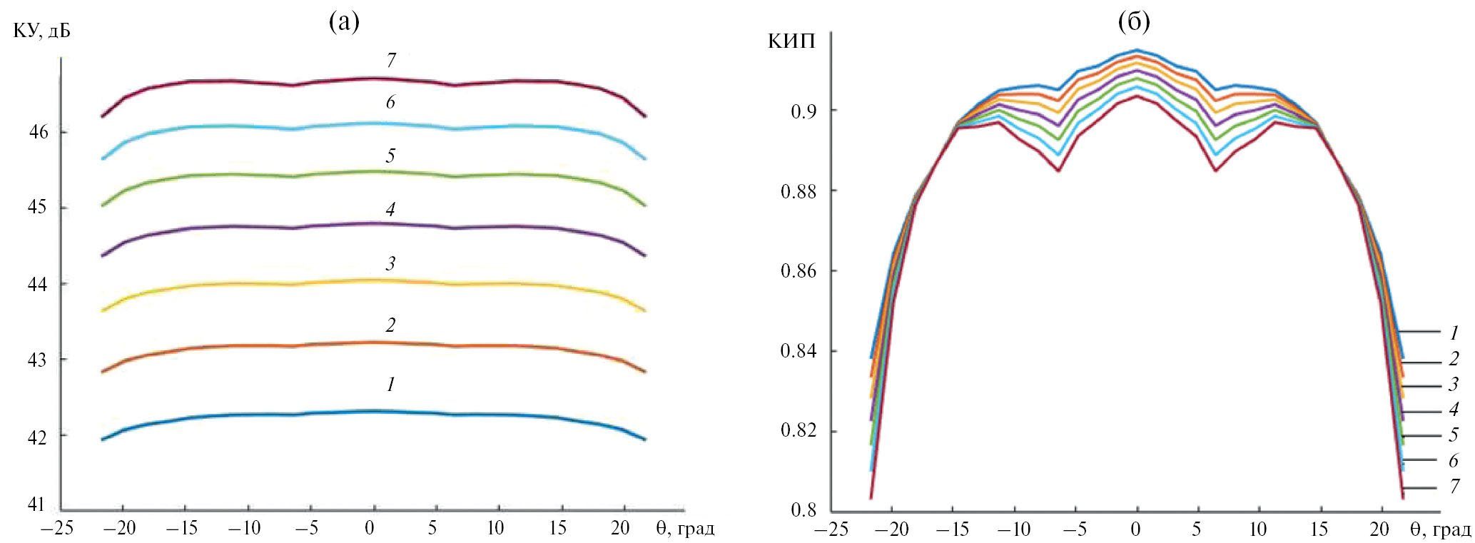
Рис. 8. Зависимости коэффициентов усиления (а) и апертурного КИПа (б) от угла зрения на частотах: 18 (1), 20 (2), 22 (3), 24 (4), 26 (5), 28 (6) и 30 ГГц (7).
Амплитуду электрического поля в дальней зоне найдем с использованием скалярного приближения Кирхгофа (физической оптики) [7]
где k — волновое число, а интегрирование проводится по поверхности S апертуры облучателя. Подставляя в интеграл (38) в качестве Еs амплитудное распределение (37), находим диаграмму направленности облучателя
где J0(x) — функция Бесселя. Закон сохранения энергии в приближении геометрической оптики имеет вид В результате для распределения амплитуды отраженного от решетки 2 поля получаем
где
а компоненты nx, ny, nz определены формулой (30).
Амплитудно-фазовое распределение отраженного от решетки 2 поля имеет вид
где L — эйконал луча от облучателя до выхода из системы в точке решетки 2 с координатами x, y. Подставляя это выражение в формулу (38) и интегрируя по всей поверхности решетки 2, находим диаграмму направленности бифокальной системы в приближении Кирхгофа. На рис. 7 приведены результаты расчета диаграммы направленности бифокальной антенны с облучателем диаметром 25 мм, габаритами решетки 2, равными 1×0.52 м, f1 = f2 = 0.9862 м, d = 1 м на частоте 24 ГГц при перемещении облучателя по фокальной кривой.
На рис. 8а и 8б показаны зависимости соответственно коэффициента усиления (КУ) и апертурного коэффициента использования поверхности (КИП) бифокальной антенны от угла зрения на семи частотах.
Как видно из рис. 8, в угловом секторе 40° уровень боковых лепестков диаграммы направленности лучей ниже — 15.8 дБ, а величина КИП выше уровня 0.84 в полосе частот от 18 до 30 ГГц.
Заключение
На основе полученных результатов можно сделать следующие выводы.
- Разработанная методика позволяет синтезировать и оптимизировать бифокальные системы двух отражательных решеток по минимуму СКА.
- Синтезированные и оптимизированные бифокальные системы двух отражательных решеток для углов зрения 40° и 65° имеют среднеквадратическую аберрацию менее 3.2×10–4и 6.5×10–4соответственно.
- Модель антенны в приближении Кирхгофа на основе синтезированной и оптимизированной бифокальных систем двух отражательных решеток в полосе частот от 18 до 30 ГГц обеспечивает КУ более 42 дБ и апертурный КИП больше 0.84 в угловом секторе 40°.
Финансирование работы
Работа выполнена за счет бюджетного финансирования в рамках государственного задания.
Sobre autores
V. Kaloshin
Kotelnikov Institute of Radioengineering and Electronics RAS
Autor responsável pela correspondência
Email: vak@cplire.ru
Rússia, st. Mokhovaya, 11, build. 7, Moscow, 125007
Trinh Van Tuan
Moscow Institute of Physics and Technology (National Research University)
Email: vak@cplire.ru
Rússia, Institutsky per., 9, Dolgoprudny, Moscow region, 141700
Bibliografia
- Leberer R., Menzel W. // IEEE Trans. 2005. AP-53. № 11. P. 3534.
- Tienda C., Encinar J.A., Carrasco E., Arrebola M. // J. Wireless Networking and Commun. 2012. V. AP-1. № 2. P. 9.
- Tienda C., Arrebola M., Encinar J. A. // Intern. J. Antennas and Propagation. 2012. V. 2012. № 125287. P. 10. doi.org/10.1155/2012/125287.
- Martinez-de-Rioja E., Encinar J.A., Florencio R., Tienda C. // IEEE Trans. 2019. V. AP-67.№ 1. P. 450.
- Martinez-de-Rioja E., Encinar J.A., Pino A., Gonzalez-Valdes B. // 13th Eur. Conf. on Antennas and Proragation (EuCAP). 2019. Poland. 31/3/2019-05/4/2019. https://ieeexplore.ieee.org/document/8740142.
- Martinez-de-Rioja E., Encinar J.A., Toso G. Electronics. 2020. V. AP-9. № 6. P. 961.
- Фрадин А.З. Антенны сверхвысоких частот. М.: Сов. радио, 1957.
Arquivos suplementares










