Dimensional resonance of intrinsic stimulated picosecond emission while it induces a photonic crystal and electron population oscillations in heterostructure AlxGa1–xAs–GaAs–AlxGa1–xAs
- Authors: Ageeva N.N.1, Bronevoi I.L.1, Krivonosov A.N.1
-
Affiliations:
- Kotel’nikov Institute of Radio Engineering and Electronics, Russian Academy of Sciences
- Issue: Vol 69, No 2 (2024)
- Pages: 187-198
- Section: PHYSICAL PROCESSES IN ELECTRONIC DEVICES
- URL: https://bakhtiniada.ru/0033-8494/article/view/265597
- DOI: https://doi.org/10.31857/S0033849424020106
- EDN: https://elibrary.ru/KMGYNI
- ID: 265597
Cite item
Full Text
Abstract
Powerful picosecond optical pumping of the GaAs heterostructure layer causes the generation of stimulated picosecond emission in it. Due to its high intensity, the emission induces a Bragg grating of the electron population in the active region of the layer, making the latter an active photonic crystal. In the emission field, the inverse population of electrons oscillates with time, which should lead to spatiotemporal modulation of the emission and this population. It has been discovered that if the distance Y between the end of the heterostructure and the center of the active medium and the geometric parameters of the indicated modulation and movement of emission in the photonic crystal satisfy certain conditions, then dimensional resonance occurs - a maximum of modulation of the dependence of the energy of emission emerging from the end on Y and on pump energy appears locally.
Full Text
ВВЕДЕНИЕ
Во время мощной оптической пикосекундной накачки слоя GaAs гетероструктуры AlxGa1–xAs–GaAs–AlxGa1–xAs в нем возникает интенсивное пикосекундное стимулированное излучение (далее – излучение). Ранее преимущественное внимание уделялось нами исследованию той части излучения, которая вытекала прямо из активной области слоя GaAs в направлении, ортогональном плоскости гетероструктуры. Это было излучение, рассеиваемое несовершенствами кристаллической структуры и сохраняющее при этом основные характерные свойства стимулированного излучения. Оно не подвергалось поглощению в пассивной области, и на его генерацию практически не влияло отраженное от далеко расположенных торцов гетероструктуры излучение. Только в работе [1] при фиксированной энергии Wex импульса накачки экспериментально исследовалось выходившее из торца гетероструктуры излучение, а исходное расстояние от центра активной области до торца гетероструктуры было уменьшено до 1 мм. Тогда обнаружилось, в частности, что зависимость энергии спектральной компоненты излучения от уменьшения расстояния между активной областью и торцом гетероструктуры автомодулирована. В более поздней работе, также в отсутствие влияния отраженного от торца излучения было установлено, что излучение наводило в активной области брэгговскую решетку населенности – распределенный брэгговский отражатель (РБО), превращая эту область в фотонный кристалл. Кроме того, было найдено, что под влиянием поля излучения возникали осцилляции инверсной населенности электронов, происходившие во времени и в энергетическом пространстве. Частота F осцилляций населенности зависела от интенсивности излучения, зависящей, в свою очередь, от Wex. (Подробнее см. обзор [2].)
Цель данной статьи – продолжая исследования работы [1], описать дальнейшее экспериментальное исследование автомодуляции зависимостей энергии излучения, интегрального по спектру, и энергии его спектральных компонент от расстояния Y центра активной области до торца гетероструктуры и энергии импульса накачки Wex. Под модуляцией понималось отклонение графика зависимости от гладкой кривой.
Эти исследования обнаружили локальные усиления отдельных колебаний в автомодуляции. При этом выделяющееся своей величиной колебание энергии излучения возникает при определенных сочетаниях расстояния Y и энергии Wex. Этим сочетаниям соответствуют установленные соотношения между расстоянием Y и геометрическими параметрами: а) движения излучения в фотонном кристалле, б) пространственной модуляции излучения и населенности электронов, вызванной упомянутыми осцилляциями последней. Тем самым обнаружен новый размерный резонанс (РР), поскольку избирательный отклик колебательной системы на установление определенного соотношения между геометрическими параметрами образца и происходящими в нем физическими процессами квалифицируется как РР. Он пополняет ряд уже описанных в [2] колебательных процессов, возникающих, как доказывает их существование, в новой колебательной системе – гетероструктуре с наведенным активным фотонным кристаллом и собственным стимулированным излучением.
Обнаруженный РР образовывался при участии фотонного кристалла, что является новым вкладом и в изучение фотонных кристаллов. Их исследование актуально и ведет к нетривиальным результатам (см. [3] и ссылки там). В частности, в работе [4] были математически получены результаты, распространяющиеся также на случай наведения решетки населенности, но двумя симметричными световыми лучами, падающими извне на полупроводник, который остается пассивной средой. Полученные в [4] результаты показали возможность нарушения симметрии указанных лучей в полупроводнике и возникновения бистабильности их интенсивности.
В прикладном аспекте данная работа интересна в связи со следующими фактами. Наведение собственным излучением брэгговской решетки заселенности в волноводной гетероструктуре во многом сходно с выжиганием пространственных дыр в полупроводниковом лазере. А наведение излучением осцилляций населенности электронов является одной из причин нестабильностей лазерного излучения. Поэтому описанные здесь явления могут быть характерны и для лазеров, и их исследование в нашей постановке экспериментов, по-видимому, доступнее, чем исследование непосредственно в лазерах.
1. ЭКСПЕРИМЕНТ
Данная работа началась с исследования зависимости интегральной по времени энергии спектра излучения от расстояния центра активной области до ближайшего торца гетероструктуры, которое исходно составляло Y0 ≈ 1 мм. Эксперименты выполняли на спектрофотохронометрическом лазерном пикосекундном комплексе, подробно описанном в [2]. Исследуемый образец изначально представлял собой гетероструктуру Al0.22Ga0.78As–GaAs–Al0.4Ga0.6As с толщиной слоев соответственно 1.3–1.5–1.2 мкм. Часть площади гетероструктуры, включая один торец, была освобождена от подложки. Оставшаяся часть подложки окаймляла гетероструктуру, как рама, с трех сторон (см. [1, рис. 1]). Слои AlxGa1–xAs предназначены для стабилизации поверхностной рекомбинации и механической прочности и прозрачны для света, используемого в эксперименте.
Рис. 1. Зависимость энергии излучения WΣ, интегральной по спектру, от изменения δY расстояния между центром активной области и торцом гетероструктуры при энергии импульса накачки Wex: 3.96 (1), 3.75 (2), 3.6 (3), 3.46 (4) и 3.9 отн. ед. (5). Для наглядности спектры сдвинуты по оси ординат относительного своего истинного положения на величину, указанную справа от кривых. Пунктиром показан пример нивелирования зависимости WΣ(δY). Зависимости 1–4 (левая ось ординат) измерены в максимуме диаграммы направленности излучения, а 5 (правая ось) – на ее периферии (стрелки пояснены в тексте).
Слой GaAs подвергали оптической накачке (ех) мощным световым импульсом длительностью (FWHM, т.е. на полувысоте) tp 10 пс и с энергией фотона ħωex 1.56 эВ. Длительность основания импульса составляла около 22 пс. Диаметр луча накачки (FWHM), а соответственно, и диаметр создаваемой ею активной области слоя GaAs, равнялся Dex 0.5 мм. Стимулированное излучение возникало, как только плотность накачиваемых носителей заряда достигала пороговой величины. Затем его интенсивность росла в течение примерно 16 пс, достигала максимума, после чего релаксировала на протяжении примерно 46 пс. Длительность (FWHM) составляла ts 24 пс (Подробно см. [5]). Часть излучения, выходившего из торца участка гетероструктуры, освобожденного от подложки, попадала в кварцевый световод, по которому транспортировалась к входной щели двойного спектрографа. Интегральный по времени спектр излучения регистрировался ПЗС-камерой PIXIS, установленной у выходной щели первой ступени спектрографа.
Положения в пространстве световода и фокусного пятна оптической накачки сохранялись неизменными во время каждого опыта. Изменение расстояния фокусного пятна, т.е. активной области в слое GaAs, до торца гетероструктуры достигалось за счет сдвига образца в направлении измеряемого излучения. Поскольку затруднительно определять с высокой точностью расстояние между центром пятна и торцом, далее будем указывать сдвиг δY от исходного положения образца. В каждом опыте образец устанавливали так, чтобы с допустимой точностью исходное расстояние между центром фокусного пятна и торцом образца составляло Y0 1 мм. Сдвиг δY, приближавший активную область к торцу образца, считался положительным.
По сравнению с экспериментами, описанными в работе [1], лазерный комплекс был модернизирован так, что позволял одновременно измерять интегральные по времени энергии Ws спектральных компонент излучения, расположенных в спектральном диапазоне шириной до 52 мэВ. Спектральное разрешение было равно 0.1 мэВ. Во время измерений в расчет принимались только те акты накачки, для которых отклонение энергии импульса накачки от заданного значения не превышало ±2 %. Накопление данных продолжалось до тех пор, пока усредненный по ним спектр излучения не переставал с точностью до 1 % зависеть от числа импульсов накачки.
На основании измерений при фиксированной Wex определяли зависимость энергии WΣ основной части излучения, интегральной примерно по указанному выше диапазону спектра, от δY. Зависимость была автомодулированной. Обнаружилось, что при изменении Wex меняется характер модуляции зависимости WΣ(δY), измерявшейся в почти одном и том же диапазоне значений δY (см. рис. 1, кривые 1–4). Под характером модуляции понимается расположение, форма и высота локальных выступов (ЛВ) на графике зависимости.
Модуляция зависимостей WΣ(δY) являлась суммой модуляций зависимостей энергии Ws спектральных компонент излучения от δY. Каждая зависимость Ws(δY), являвшаяся наиболее ярким примером модуляции при каждой Wex, была разделена с помощью компьютерного анализа на гладкую составляющую и на модуляционную составляющую ΔWs(δY) (рис. 2). Последняя представляла разность экспериментальной зависимости Ws(δY) и ее гладкой составляющей. На рис. 1 только в качестве примера представлена гладкая составляющая (пунктир), полученная компьютерным нивелированием графика 3. Ширина спектрального диапазона Δħω, в котором заключены существенно модулированные зависимости Ws(δY), менялась при изменении Wex (рис. 3). Эта и другие экспериментальные зависимости получены при Wex < 4 отн. ед., что объясняется опасностью повреждения образца при длительных измерениях с еще более высокой энергией накачки.
Рис. 2. Зависимость от δY модуляционной составляющей ΔWs энергии спектральной компоненты излучения: с ħω = 1.387 эВ при Wex = 3.96 (1), 3.75 (3), 3.6 отн. ед. (4); с ħω = 1.384 эВ при Wex = 3.9 отн. ед. (2), 3.46 отн. ед. (5); с ħω = 1.39 эВ при Wex = 3.32 отн. ед. (6). Стрелки пояснены в тексте.
Рис. 3. Ширина спектрального диапазона Δħωs, в котором заключены существенно модулированные зависимости Ws(δY), в функции Wex для измерений в максимуме (1) и на периферии (2) диаграммы направленности излучения.
То, что при изменении Wex менялся характер модуляции зависимости WΣ(δY) заставило предположить, что и зависимость WΣ(Wex) при δY = const должна быть модулированной. Это действительно экспериментально обнаружилось (рис. 4). Измеренная зависимость может быть представлена как сумма её немодулированной составляющей (пунктирная прямая) и модуляционной составляющей, представляемой разностью экспериментальной зависимости и указанной пунктирной прямой. Полученные модуляционные составляющие ΔWs(Wex) измеренных зависимостей энергии спектральных компонент излучения Ws(Wex) иллюстрирует на отдельных примерах рис. 5. Максимум и минимум на графиках ΔWs(Wex) соответствуют, как будет показано ниже, РР.
Рис. 4. Зависимость энергии излучения WΣ от энергии накачки Wex при δY = 160 мкм; пунктиром показана линейная составляющая этой зависимости.
Рис. 5. Зависимость от Wex модуляционной составляющей ΔWs энергии спектральной компоненты излучения с ħω: 1.387 (1), 1.39 (2), 1.394 (3), 1.398 (4) и 1.403 эВ (5).
Описанные результаты получены благодаря измерениям излучения, располагавшегося в максимуме диаграммы направленности. Но при Wex = 3.9 отн. ед. было однократно выполнено ещё и измерение энергии излучения на периферии диаграммы его направленности, т.е. распространявшегося в гетероструктуре и преломлявшегося при выходе из нее под другими углами, чем излучение из максимума диаграммы. На графике этой зависимости выделились два высоких и узких ЛВ при δY = 120 и 150 мкм (см. рис. 1, кривая 5). Подобные им высокие ЛВ, выявляющие локально возникающие наиболее сильные колебания в модуляции энергии излучения (на рис. 1 и 2 на такие ЛВ указывают стрелки) наблюдаются при δY = 60 и 100 мкм (см. рис. 1, кривая 4, рис. 2, кривая 5), при δY = 90 мкм (кривая 1), а также при δY = 0 и δY = 90 и 120 мкм (см. рис. 2, кривая 1). Они вызваны тоже РР, см. ниже.
2. ОБСУЖДЕНИЕ РЕЗУЛЬТАТОВ
Введем сначала упрощенное представление, на основании которого сделаны приводимые ниже оценки. Оно допускает формирование РР модуляции излучения, выходящего из торца гетероструктуры. Начнем с того, что в активной среде в поле излучения возникают осцилляции населенности электронов. Частота F осцилляций является линейной функцией Wex и интенсивности излучения, интегрального по спектру, а спектр фазовой постоянной осцилляций в наиболее простом случае (в области максимума импульса излучения) имеет форму меандра [2]. Эти осцилляции модулируют излучение. Части одной и той же спектральной компоненты излучения, движущиеся диаметрально противоположно, формируют цилиндрическую стоячую волну. Последняя создает осциллирующие обеднения (“выжигает осциллирующие дыры”) в распределении в пространстве населенности P электронов на тех энергетических уровнях зоны проводимости, рекомбинируя с которых, они генерируют эту компоненту излучения. Это приводит к такой модуляции пространственного распределения данной населенности, которая имеет подобную же форму цилиндрической стоячей волны (далее – f-волна). Ее период в пространстве равен Lo = Tоc0/ng, где То = F–1 – период осцилляций населенности электронов, возбуждаемых полем излучения, с0 – скорость света в вакууме, ng ≈ 5.1 – групповой показатель преломления для GaAs. Пространственное распределение населенности Р в два избранных момента времени, разделенных интервалом То/4, представлены схематически на рис. 6.
Рис. 6. Схематическое представление: а – движения в слое GaAs навстречу друг другу парциальных волн спектральной компоненты излучения; б – распределения населенности Р электронов в пространстве в моменты времени, разделенные интервалом То/4 (1), (2); в – изменения интенсивности IR отраженного излучения в пространстве, в моменты времени, разделенные интервалом То/2 (3), (4).
Представление о f-волне позволяет объяснить и модуляцию излучения, выходящего из активной среды, диаметр которой не менее Dex >> Lо. f-Волна должна обладать бистабильной осевой симметрией, поскольку в местоположении оси, проведенной через центр активной области, может находиться узел (состояние 1) или середина пучности (состояние 2) f-волны. Переход f-волны из состояния 1 в состояние 2 равнозначен сдвигу ее пучностей и узлов в пространстве в радиальном направлении на Lо/2.
Уточним, что модуляция излучения установлена пока косвенными экспериментальными методами [2, 6]. Осуществить её прямые измерения в реальном времени имеющимися средствами пока невозможно. Однако факт аналогичной модуляции, но с периодом 6 пс и более, был доказан измерениями в реальном времени огибающей зондирующего светового импульса, прошедшего через фотонакаченный слой GaAs гетероструктуры, в котором генерировалось излучение, [2].
Пусть при какой-то Wex получается, что отраженное от торца гетероструктуры модулированное излучение движется в активной среде так, что в местоположениях пучностей f-волны в состоянии 2, в момент максимума инверсной населенности (рис. 6, локальные максимумы кривой 1), оказываются минимумы интенсивности модулированного отраженного излучения, представляемого кривой 4. Тогда отраженное излучение минимально усилится. В то же время генерируемое, движущееся к торцу излучение усилится в активной среде максимально. Это требует выполнения условия
(1)
где m – целое число. Если же, меняя Wex, изменить частоту F и, соответственно, период Lо так, чтобы создать ситуацию, когда локальным максимумам (ЛМ) инверсной населенности в пучностях f-волны будут соответствовать ЛМ модулированного отраженного излучения (см. рис. 6, кривая 3), то отраженное излучение максимально усилится в активной среде, а энергия выходящего из торца излучения станет минимальной. Это потребует выполнения условия
(2)
Однако бистабильность f-волны делает возможным при выполнении условия (2) и противоположный результат. Пусть в состоянии 1 при условии (1) энергия движущейся к торцу спектральной компоненты излучения усилилась максимально, что отобразилось бы появлением высокого выступа, или, иначе, ЛМ, на зависимости Ws(δY). Если изменить затем δY на Lо/4, то согласно (2) энергия выходящего из торца излучения стала бы минимальной. Но с приходом отраженного излучения в активную область, возможно, начнется синхронизация его модуляции с бистабильной модуляцией f-волны. Допустимо, что в процессе этого произойдет переключение f-волны в состояние 2. Тогда энергия движущейся к торцу волны вновь усилится максимально. При этом на зависимости Ws(δY) появится второй ЛМ, отделенный от первого ЛМ интервалом Δ1Y ≈ Lо/4. Такое наблюдалось экспериментально в работе [1, рис. 2, кривые 1 и 2], где было То ~ 4 пс и Δ1Y ≈ Lо/4 ~ 60 мкм, и теперь получило объяснение. Этим же, видимо, объясняется и описанное в разд. 1 появление преимущественно парами наиболее высоких ЛМ на зависимости Ws(δY). Значение для них Δ1Y ≈ 30…40 мкм сопоставимо с величиной Lо/4 ~ 44 мкм при оцениваемом ниже для нынешних экспериментов значении То ~ 3 пс.
Кроме того, отметим следующее. При увеличении δY возрастает интенсивность отраженной волны. Возможно, с этим связано то, что по мере возрастания δY от 0 до 150 мкм возникает сначала один ЛМ с шириной основания 40 мкм, затем две пары ЛМ с разной шириной основания – первая пара 40 и 20 мкм, вторая пара – 20 и 30 мкм и, наконец, пара ЛМ с шириной основания 20 мкм каждого, предельно узкой для нашей возможности менять δY с шагом 10 мкм. То есть появление второго ЛМ и сужение основания обоих ЛМ до 20 мкм имеет характер нелинейного явления.
Излучение наводит в гетероструктуре в слое GaAs еще и брэгговскую (динамическую) решетку населенности электронов. Иными словами, это РБО, или фотонный кристалл (подробнее см. [2]). В волноводной гетероструктуре, имеющей такой РБО, генерируемое излучение движется в активной области от одного её края до диаметрально противоположного, соответственно в двух противоположных направлениях по двум зигзагообразным траекториям (далее – z-траекториям), простирающимся и в пассивную область, и наклоненным под углом β к гетерограницам (см. рис. 6). Угол β задается граничными условиями, при выполнении которых образуется РБО. В соответствии с ними угол β должен удовлетворять соотношению
(3)
где λ0 – длина волны (в вакууме) той наиболее интенсивной в активной области спектральной компоненты излучения, которая создает РБО, n0 – показатель преломления GaAs, d – толщина слоя GaAs, k – целое число, отчего угол β может меняться только дискретно. РБО должен приводить к образованию в спектре излучения кроме ЛМ при λ0, еще других ЛМ, приблизительно разделенных с ним интервалами, кратными величине
(4)
Примем для оценки, что k = 1, λ0 = 0.886 мкм для спектральной моды с энергией фотона ħω0 = 1.40 эВ, n0 = 3.6 для GaAs при температуре решетки TR ≈ 300 K, d = 1.5 мкм. Получаем β ≈ 4.7°, ξ ≈ 9.4 мэВ. Упомянутое выше граничное условие образования РБО состоит в следующем. Каждой точке пересечения одной z-траектории с гетерограницей соответствует симметрично расположенная точка пересечения второй z-траектории с другой гетерограницей, так что обе указанные точки лежат на противоположных концах нормали к гетерограницам. Это условие беспрепятственно выполняется до того момента, пока отраженное от торца излучение не поступит в активную область. Допустим, что точка пересечения двух симметричных зигзагообразных z-траекторий излучения – последняя точка перед его выходом через торец наружу – не располагается в плоскости торца. Тогда отраженное излучение будет двигаться в активной области, усиливаясь, в направлении от торца уже по другим, новым траекториям. И эти траектории будут пересекаться с гетерограницами в новых точках, отличающихся от установившихся до прихода отраженного излучения. И эти новые точки уже не лежат на одной нормали с точками пересечения с гетерограницами излучения, двигающегося в направлении к торцу.
Возникшее расхождение с граничным условием образования РБО окажет деструктивное влияние на РБО. Это проявится в уменьшении доли генерируемого излучения, направляемой из активной области к указанному торцу. То есть одно из условий достижения максимальной энергии выходящего из торца гетероструктуры излучения заключается в том, что точка пересечения z-траекторий – последняя точка перед выходом излучения из гетероструктуры – лежит на ее торце. Соответствующий выполнению этого условия ЛМ энергии излучения должен достигаться в какой-то точке зависимости Ws(δY), а ширина основания образованного на ней при этом ЛВ примерно совпадать с интервалом Li между соседними точками пересечения z-траекторий, который по оценке равен Li = d/tgβ ≈ 18 мкм. Этому условию в эксперименте соответствуют наиболее высокие и узкие ЛВ, например, для зависимости Ws(δY) на рис. 2 при δY = 100 (5) и 90 мкм (1) и для зависимости WΣ(δY) на рис. 1 при δY = 120 и 150 мкм (кривая 5) и др.
Перейдем к дальнейшим оценкам. При Wex-1 = 3.96 отн. ед. на зависимости ΔWs(δY) наибольшие ЛМ располагались при δY = 0 и 90 мкм (см. рис. 2 кривая 1), т.е. их разделял интервал ΔY ≈ 90 мкм. Предположим, что при сдвиге торца относительно центра активной области на ΔY отраженная волна сдвигается в активной области на период Lo. Тогда из следующего отсюда равенства
(5)
получаем То = 3.06 пс для ΔY ≈ 90 мкм, что вполне реалистично для наших экспериментов согласно графику частотной характеристики F(Wex), представленному в [2, рис. 11]. Периоду То = 3.06 пс соответствует частота F = 0.327 ТГц, которая на указанном графике достигается при энергии накачки, определявшейся в [2] в других относительных единицах нежели в данной работе, Wex-2 = 0.84 отн. ед. То, что наибольшие ЛМ возникают при выполнении равенства (5), является эмпирическим подтверждением равенства (1), поскольку (5) следует из (1). Тем самым подтверждается, что (1) – это одно из условий РР.
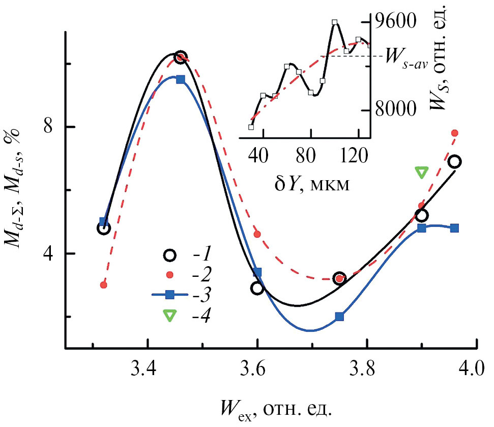
Будем характеризовать относительную величину модуляции Md-s зависимости Ws(δY) как
(6)
где ΔWs-max – ΔWs-min – разность энергий соседних локальных максимума и минимума на зависимости энергии модуляционной составляющей ΔWs(δY), а Ws-av – энергия спектральной компоненты излучения, соответствующая точке пересечения линии, соединяющей те же локальные максимум и минимум, но уже на зависимости Ws(δY), с гладкой составляющей этой зависимости (см. рис. 7, пунктир на вставке). Максимальная глубина модуляции на зависимости Ws(δY), измеренной при фиксированной Wex, представлена в функции Wex в качестве примера (см. рис. 7, кривые 2 и 3). Это сделано для двух спектральных компонент излучения, в которых модуляция наиболее контрастна. Аналогично полученная максимальная глубина Md-Σ модуляции графиков WΣ(δY) представлена в функции Wex (см. рис. 7, кривая 1). На примере этих трех графиков и одиночного значения Md-Σ = 6.6 при Wex = 3.9 отн. ед. для измерений на периферии диаграммы направленности (рис. 7) можно принять, что экстремумы модуляции зависимости энергии излучения от δY возникают при энергиях Wex-3 ≈ 3.46 отн. ед. и вблизи Wex-1 ≈ 3.96 отн. ед., т.е. через интервал ΔWex ≈ 0.5 отн. ед. Предположим, что такое изменение энергии накачки нужно, чтобы те из пучностей f-волны, которые совпадают с точками пересечения z-траекторий, сместилась в пространстве настолько, чтобы опять совпадать, но уже со следующими точками пересечения z-траекторий. Для этого увеличение периода Lо должно равняться интервалу Li. Чтобы увеличить Lо на величину Li , надо увеличить период То на δТо = Ling/c0 = 0.306 пс. Большему на δТо , чем То = 3.06 пс, периоду То = 3.366 пс соответствует на упоминавшемся графике F(Wex) в [2] частота F = 0.297 ТГц при Wex-4 = 0.71 отн. ед. Получается, что для увеличения Lо на величину Li надо изменить энергию накачки в Wex-4/Wex-2 = 0.71/0.84 = 0.85 раза. Эта оценка настолько близка к отношению энергий в эксперименте Wex-3/Wex-1 = 3.46/3.96 = 0.87, что подтверждает предположения, на которых была основана. То есть ещё одним условием максимальной модуляции зависимости энергии выходящего из торца излучения от δY должно быть совмещение в пространстве пучностей f-волны с какими-либо из точек пересечения z-траекторий. Отсюда вытекает ещё одно условие создания РР, заключающееся в кратности периодов
(7)
Возможно, эмпирическое условие (7) указывает на влияние f-волны на z-траектории в фотонном кристалле. Это, по-видимому, интересно для теоретического исследования в будущем. В отсутствие же РР, когда по мере изменения сдвига δY колеблется степень приближения к его условиям, возникает наблюдавшаяся более слабая модуляция энергии излучения.
Модуляцию зависимости WΣ(Wex) при δY = 160 мкм (см. рис.4) можно упрощенно прокомментировать следующим образом. Как установлено выше, при Wex-1 = 3.96 отн. ед. частота модуляции F = 1/To = 0.327 ТГц, которая на частотной характеристике F(Wex) располагается при Wex-2 = 0.84 отн. ед. (см. [2, рис.11]). С помощью этого соответствия определяем, что Wex = 4.54 отн. ед. соответствует на указанной характеристике Wex-5 = 0.963 отн. ед. и F1 = 0.355 ТГц, а Wex = 3.38 отн. ед. соответствует Wex-6 = 0.717 отн. ед. и F2 = 0.3 ТГц. Отсюда следует, что период То ≈ 2.82 пс при Wex = 4.54 отн. ед. и период То ≈ 3.33 пс при Wex = 3.38 отн. ед. Этому соответствуют периоды Lо = 196 мкм при Wex = 3.38 отн. ед. и Lо= 166 мкм при Wex = 4.54 отн. ед. Расстояние от центра активной области до торца Y0 – δY ≈ 1 мм – 0,16 мм = 0.84 мм. Тогда расстояние от центра активной области до торца и обратно, которое пройдено излучением, возвратившимся в активную область, составит 2(Y0 – δY) = 8.57Lо при Wex = 3.38 отн. ед. То есть при Wex = 3.38 отн. ед. будет примерно выполнено условие (1), в согласии с которым в эксперименте энергия модуляционной составляющей излучения, представляемая зависимостями ΔWs(Wex) для его спектральных компонент (см. рис. 5), оказывается максимальной. Напротив, при Wex = 4.54 получается 2(Y0 – δY) ≈ 10Lо, т.е. выполняется условие (2), и в согласии с ним в эксперименте энергия модуляционной составляющей излучения, представляемая указанными зависимостями на рис. 5 минимальна.
Таким образом, экспериментально подтвердились условия РР (1) и (2). Если выше подтверждение условия (1) было дано при варьировании δY, то теперь при варьировании Lо путем изменения Wex.
Появление резонансных максимумов при Wex ≈ 3.9 отн. ед. и δY = 120 и 150 мкм на кривой 5 (см. рис. 1) для измерений на периферии диаграммы направленности и то, что их еще не было при измерениях с той же Wex, но в максимуме диаграммы направленности, можно теперь объяснить следующим. Излучение в первом случае двигалось под несколько другим углом к гетерограницам, чем излучение во втором случае, поэтому они и вышли из торца под разными углами. Соответственно, периоды Li этих частей несколько отличались. Из-за этого, как и должно быть по условию (7), резонанс возникал при разных Lo, а значит, немного разных Wex. Аналогично объясняется и то, что на рис.7 одна спектральная компонента (кривая 3) уже проходит через максимум при 3.9 < Wex < 3.96 отн. ед., а другая (кривая 2) еще нет. Дело в том, что направление максимального усиления спектральных компонент излучения при их отражении от разных слоев РБО зависит от длины волны компоненты. Поэтому компоненты, по-видимому, тоже двигаются в гетероструктуре под несколько разными углами к гетерограницам. Зависимость от длины волны очевидна из соотношения Брэгга-Вульфа, которое имеет тот же вид, что и соотношение (3), но только в соотношении Брэгга-Вульфа d – период РБО, β – угол скольжения (дополнение до π/2 угла падения света на границу раздела двух сред с разными показателями преломления).
Рис. 7. Изменение с Wex максимальной относительной величины Md-Σ модуляции зависимости WΣ(δY) для измерений в максимуме (1) и на периферии (4) диаграммы направленности; то же, но для глубины Md-s зависимости Ws(δY) спектральной компоненты излучения с ħω = 1.387 (2) и 1.384 эВ (3). На вставке: фрагмент зависимости Ws(δY) – сплошная кривая; её гладкая составляющая – штрихпунктир; определение энергии Ws-aν для формулы (6) – пунктир.
Спектры относительной высоты ЛВ на зависимости Ws(δY) при тех фиксированных δY и Wex, при которых возникал резонанс, представлены на рис. 8. Относительную высоту ЛВ характеризует отношение ΔWs/Ws-f, где ΔWs – высота ЛВ, а Ws-f – энергия спектральной компоненты излучения на уровне основания ЛВ (см. рис. 8, вставка). Эти спектры оказались модулированы так, что интервал между выступами составлял Δħω = 21 мэВ (кривые 1 и 5) или 14 мэВ (кривые 2–4), что связано с δY (объяснение см. ниже).
Рис. 8. Спектры относительной высоты ΔWs/Ws-f локальных выступов на зависимости Ws(δY) при Wex = 3.46 отн. ед. и δY = 60 (1) и 100 мкм (2); Wex = 3.9 отн.ед и δY = 120 (3) и 150 мкм (4); Wex = 3.96 отн. ед. и δY = 90 мкм (5); на вставке – определение относительной высоты локальных выступов (см. текст статьи).
Спектры ΔWs/Ws-aν = f(ħω) (рис. 9) характеризуют относительную величину модуляции зависимостей ΔWs(Wex) (см. рис.5) в максимуме при Wex ≈ 3.38 отн. ед. и минимуме при Wex ≈ 4.54 отн. ед. Энергия Ws-aν определялась аналогично показанному на вставке к рис. 7. Эти спектры модулированы с периодом Δħω= 8…10 мэВ, близким к приведенной выше оценке периода ξ модуляции спектра излучения, создаваемой РБО при k = 1. С таким периодом были модулированы благодаря РБО и экспериментальные мгновенные спектры излучения в [2].
Рис. 9. Спектры относительной величины максимума (1) и минимума (2) зависимости ΔWs(Wex).
При сопоставлении спектров на рис. 8 и 9 обнаруживается, что интервал Δħω между выступами на них составляет 21 мэВ ~ 2ξ при δY < 100 мкм и 8…14 мэВ ~ ξ при δY > 100 мкм. Аналогичная смена ширины интервалов с 21…23 мэВ на 12 мэВ происходила в модуляции спектров фундаментального поглощения зондирующего света в гетероструктуре, генерирующей излучение (см. [7, рис.5]). Тогда это объяснялось обеднением населенности электронов в зоне проводимости, создаваемым излучением, модулированным в РБО с k = 2 и k = 1 соответственно. Величина k = 1 относилась к области максимальной интенсивности излучения, а k = 2 – к области фронта излучения, когда его интенсивность была меньше. При этом возможно такое объяснение изменения величины Δħω. При δY > 100 мкм отраженное излучение приходит в активную область, когда там интенсивность излучения достаточно большая, чтобы формировать РБО с k = 1, и тогда Δħω ~ ξ, а при δY < 100 мкм оно приходит туда позже, когда интенсивность излучения там уже меньше, и поэтому РБО с k = 2, отчего Δħω ~ 2ξ. Очевидно, что обсуждавшаяся модуляция спектров дополнительно указывает на то, что РБО или, иначе говоря, активный фотонный кристалл, участвует в создании размерного резонанса.
То, что интервал Δħω не точно совпадал со значениями ξ и 2ξ, по-видимому, вызвано второстепенными причинами, которые не подвергают сомнению сделанные выше выводы. Причинами не точного совпадения могли бы быть следующие: а) резонанс возникал в каком-то участке времени излучения, а обсуждавшиеся спектры строили, основываясь на измерениях энергии, интегральной по времени; б) неточность определения толщины слоя GaAs; в) недостаточно точная настройка на резонанс из-за возможности изменения δY только с шагом 10 мкм; г) упрощения, исходно сделанные при оценке ξ [2], и т.п. Отметим, что аналогично и, видимо, по сходного рода причинам для упоминавшейся модуляции спектров фундаментального поглощения света интервал между локальными максимумами тоже несколько превышал значения ξ и 2ξ.
И ещё один существенный вывод. Во-первых, сопоставление графика Δħω(Wex) (см. рис. 3) с графиком Md-Σ(Wex) (см. рис. 7) обнаруживает подобие их формы. Во-вторых, сопоставление со спектрами на рис. 8 выявляет совпадение ширины спектров ΔWs /Ws-f = f(ħω) при размерном резонансе с шириной диапазона Δħω на рис. 3 при той Wex, при которой возникает размерный резонанс (напомним, что Δħω – диапазон спектральных компонент, у которых зависимости Ws(δY) существенно модулированы). Из этого можно заключить следующее. При наступлении РР энергия WΣ-излучения, интегрального по спектру, возрастает еще и благодаря тому, что РР возникает в относительно широком ≈ 29 мэВ диапазоне спектральных компонент.
ЗАКЛЮЧЕНИЕ
Продолжено экспериментальное исследование обнаруженной в работе [1] модуляции зависимости энергии собственного излучения гетероструктуры, вышедшего из её торца, от изменения (на δY) расстояния активной области до этого торца. Наряду с этим экспериментально обнаружена модуляция зависимости энергии указанного излучения от энергии накачки Wex. Проведен анализ экстремумов модуляции названных зависимостей, учитывающий, что излучение создает в активной области РБО, превращая её этим в фотонный кристалл, и что в поле излучения возбуждаются осцилляции населенности электронов. Последние приводят к модуляции излучения и стоячей волне населенности электронов в активной области с одинаковыми периодами в пространстве Lo и во времени То. Этот анализ привел к заключению, что в обеих зависимостях имеются РР нового вида. Размерный резонанс представлял собой локальное усиление отдельного колебания в модуляции этих зависимостей. Максимум энергии излучения в таком колебании возникал при следующих условиях:
а) удвоенная длина интервала между центром активной области и торцом гетероструктуры равна целому нечетному числу полупериодов Lo/2;
б) период Lo является кратным расстоянию между ближайшими точками пересечения двух симметричных зигзагообразных траекторий, по которым, благодаря РБО, преимущественно движется излучение в гетероструктуре;
в) точка пересечения упомянутых траекторий излучения – последняя точка перед выходом излучения из гетероструктуры – лежит на её торце.
Определяемые РР условия максимального выхода энергии излучения из гетероструктуры в заданном направлении, по-видимому, должны приниматься во внимание для достижения максимальной энергии излучения при создании полупроводниковых лазеров, предназначаемых для генерации мощных пикосекундных импульсов света. РР оказывается и новым нелинейным эффектом, возникающим при участии фотонного кристалла.
Авторы заявляют об отсутствии конфликта интересов.
ФИНАНСИРОВАНИЕ РАБОТЫ
Работа выполнена в рамках государственного задания Института радиотехники и электроники им. В.А. Котельникова РАН.
About the authors
N. N. Ageeva
Kotel’nikov Institute of Radio Engineering and Electronics, Russian Academy of Sciences
Email: bil@cplire.ru
Russian Federation, Moscow
I. L. Bronevoi
Kotel’nikov Institute of Radio Engineering and Electronics, Russian Academy of Sciences
Author for correspondence.
Email: bil@cplire.ru
Russian Federation, Moscow
A. N. Krivonosov
Kotel’nikov Institute of Radio Engineering and Electronics, Russian Academy of Sciences
Email: bil@cplire.ru
Russian Federation, Moscow
References
- Агеева Н.Н., Броневой И.Л., Кривоносов А.Н. и др.// ФТП. 2005. Т. 39. № 6. С. 681.
- Агеева Н.Н., Броневой И.Л, Кривоносов А.Н. // ЖЭТФ. 2022. Т. 162. № 6. С. 1018.
- Шадрина Г.В., Булгаков Е.Н. // ЖЭТФ. 2022. Т. 162. Вып. 5. С. 646.
- Peschel T., Peschel U., Lederer F. // Phys. Rev. A. 1994. V.50. P. 5153.
- Агеева Н.Н., Броневой И.Л., Кривоносов А.Н. // РЭ. 2023. Т. 68. № 3. С. 211.
- Васильев П.П. // Квант. электроника. 1994. Т. 21. № 6. С. 585.
- Агеева Н.Н., Броневой И.Л., Забегаев Д.Н., Кривоносов А.Н. // ФТП. 2020. Т. 54. № 10. С. 1018.
Supplementary files











