Numerical study of dispersion characteristics of cylindrical spiral lines and periodic gratings based on them
- Authors: Bankov S.E.1, Kalinichev V.I.1
-
Affiliations:
- Kotel’nikov Institute of Radio Engineering and Electronics, Russian Academy of Sciences
- Issue: Vol 69, No 2 (2024)
- Pages: 103-114
- Section: ELECTRODYNAMICS AND RADIO WAVE PROPAGATION
- URL: https://bakhtiniada.ru/0033-8494/article/view/265585
- DOI: https://doi.org/10.31857/S0033849424020016
- EDN: https://elibrary.ru/KNBODU
- ID: 265585
Cite item
Full Text
Abstract
Numerical studies of the dispersion characteristics of cylindrical spiral lines have been carried out. One-dimensional and two-dimensional periodic lattices formed by such lines are also considered. The eigenvalue method was used in combination with periodic boundary conditions. The dispersion characteristics are calculated in the range of parameters for which the conditions of applicability of the known approximate numerical-analytical methods for analyzing spiral lines are not met. The dispersion characteristics of the first two eigen-waves in one-dimensional and two-dimensional periodic lattices of spirals are obtained for different values of phase shifts between lattice periods. It is shown that the main type of wave in them is a wave slowed down relative to the axes of the lines with the direction of rotation of the field vector determined by the direction of winding of the spiral.
Full Text
ПОСТАНОВКА ЗАДАЧИ
Изучению спиральных линий и антенн на их основе посвящено множество работ, и в настоящее время имеется значительная библиография на эту тему (см., например, [1, 2]). Большинство предыдущих исследований разных конструктивных вариантов таких линий основаны на приближенных аналитических и численно-аналитических методах. С помощью этих методов при определенных предположениях и ограничениях на параметры линий были получены дисперсионные уравнения для собственных волн регулярной бесконечно протяженной линии, численное решение которых позволило определить дисперсионные характеристики волн в линии в принятом при анализе приближении.
Среди использованных методов решения соответствующих граничных задач отметим применение анизотропных граничных условий, которые позволяют записать в аналитической форме дисперсионное уравнение для собственных волн спиралей с углами намотки, близкими к 90° [1]. Применение указанного подхода в случае малых и средних углов намотки невозможно.
Большей гибкостью обладает приближенный подход, позволяющий описывать собственные волны спиральных линий, выполненных из проводников с малым поперечным сечением [3]. Если речь идет о проводниках с круглым сечением, то условием малости являются неравенства ρ << P, R, где ρ – радиус проводника, Р – период спирали, R – ее радиус. Применение данного подхода приводит к дисперсионному уравнению в виде бесконечного ряда по цилиндрическим функциям и может использоваться независимо от угла намотки спирали.
В работе [4] анализируются волны в ленточной спирали. Граничная задача сводится к системе сингулярных интегральных уравнений, которая решается аналитически. Данный метод приводит к относительно простому дисперсионному уравнению, корректно описывающему собственные волны в широком диапазоне изменения параметров.
Таким образом, из опубликованных работ следует, что известные аналитические и численно-аналитические методы решения граничных задач на собственные волны спиральных линий имеют существенные ограничения или на их параметры, или на структуру.
Отметим, что если построению математических моделей одиночных спиральных линий было посвящено достаточно большое число работ, многие из которых стали классическими, то связанные спирали исследованы значительно менее детально, что неудивительно, поскольку их геометрическая структура намного сложнее геометрии одиночной линии и с трудом допускает аналитическое описание поля.
Наш интерес к связанным линиям передачи разных типов обусловлен перспективами их применения в диаграммообразующих схемах (ДОС), формирующих систему лучей с секторными диаграммами направленности (ДН). Некоторые результаты в этом направлении были получены и опубликованы нами ранее, в 2009–2014 гг. В них впервые предложены и рассмотрены одномерные решетки одинаковых связанных линий, содержащие систему фиксированных фазосдвигателей. В развитие этой темы была также предложена другая схема для построения ДОС на основе связанных линий передачи с разными параметрами, которая не требует применения фазосдвигателей. В качестве линий передачи исследовались системы связанных двухсторонних щелевых волноводов, связанных диэлектрических волноводов, связанных EBG (electromagnetic bandgap)-волноводов, связанных металлических волноводов. В недавней работе из этой серии рассматривается система микрополосковых линий со шлейфной связью [5]. Также в наших более ранних работах результаты для одномерных ДОС были обобщены для случая двумерной схемы с прямоугольной и гексагональной сетками.
С точки зрения построения ДОС спиральные линии обладают рядом несомненных достоинств, к которым можно отнести:
- технологичность и простоту изготовления;
- простоту создания распределенной связи, которая достигается простым сближением спиралей;
- простоту возбуждения широко распространенными коаксиальными линиями.
При проектировании ДОС связанные линии должны удовлетворять ряду технических требований, которые часто не позволяют использовать упомянутые выше приближенные методы. Поэтому построение универсальных моделей одиночных и связанных спиралей и исследование с их помощью электродинамических характеристик этих структур представляется нам актуальной научной задачей.
В данной работе при исследовании дисперсионных свойств спиральных линий и периодических решеток таких линий будем использовать строгий численный метод, основанный на программе электромагнитного моделирования HFSS (https://ansys.com). Для численного исследования дисперсионных характеристик периодических структур, к которым относится и спиральная линия, наиболее подходящим является метод собственных значений в сочетании с граничными условиями периодического типа. С их помощью удается исследовать характеристики бесконечно протяженных спиралей в широкой области параметров.
2. ОДИНОЧНАЯ СПИРАЛЬНАЯ ЛИНИЯ
Рассмотрим уединенную бесконечно протяженную вдоль оси z спиральную линию (рис. 1), которая представляет собой однозаходную цилиндрическую спираль с постоянным шагом намотки p, изготовленную из металлического проводника с поперечным размером Dw. Средний и внешний диаметры спирали равны соответственно Ds и Ds+Dw. Для исследования ее дисперсии будем использовать программу численного моделирования HFSS (https://ansys.com) в режиме вычислений собственных значений. Этот подход предполагает построение модели единичной ячейки исследуемой линии и использование граничных условий периодичности. В данном случае такая ячейка представляет собой один виток спирали, расположенный внутри воздушного бокса с достаточно большим поперечным сечением (рис. 2). На гранях бокса в направлении оси z используем условия периодичности, связывающие поля в двух сечениях линии, расстояние между которыми равно периоду спирали. На границах бокса вдоль осей x и y используем поглощающие слои, описываемые граничными условиями типа PML (Perfect Matched Layers). PML-слои (на рис. 2 не показаны) расположены на некотором удалении от оси линии, ограничивая область решения задачи в поперечной плоскости x0y. Использование периодических и граничных PML-условий позволяет получать численное решение в задачах на собственные значения для открытых периодических структур, в частности для спиральной линии. Поле замедленной собственной волны спиральной линии спадает при удалении от нее, поэтому поглощающие слои, расположенные на достаточном удалении от спирали, практически не влияют на постоянную распространения волны и дисперсионную характеристику линии.
Рис. 1. Модель трехмерной цилиндрической спиральной линии.
Рис. 2. Модель единичной ячейки линии (PML-слои не показаны).
Обозначим через δφz величину фазового сдвига между плоскостями, ограничивающими единичную ячейку вдоль оси z, при этом фазовая постоянная распространения волны равна βz = δφz/p. Для заданного значения δφz рассчитываем соответствующую ему первую (минимальную) собственную частоту эквивалентного резонатора, объем которого равен объему единичной ячейки линии. Эта частота соответствует основному типу волны в линии. Будем изменять δφz от нуля до 180°. В результате можем определить частотную зависимость коэффициента замедления собственной волны вдоль оси линии U = βz/к, где к – волновое число свободного пространства, соответствующее собственной частоте при заданном δφz.
На рис. 3–5 представлены рассчитанные этим методом дисперсионные характеристики спиральной линии при разных значениях периода p (рис. 3), среднего диаметра Ds (рис. 4) и поперечного размера проводника Dw (рис. 5).
Рис. 3. Дисперсионные характеристики спиральной линии при Ds = 4 мм, Dw = 1 мм, p = 1 (1), 2 (2), 5 (3), 10 мм (4).
Рис. 4. Дисперсионные характеристики спиральной линии при p = 5 мм, Dw = 1 мм, Ds = 10 (1), 8 (2), 6 (3), 4 мм (4).
Рис. 5. Дисперсионные характеристики спиральной линии при p = 5 мм, Ds = 4 мм, Dw = 0.5 (1), 1 (2), 2 мм (3).
Как видно из рис. 3, 4, с ростом частоты в исследуемом частотном диапазоне значения замедления стремятся к некоторой величине, которая следует из физического представления о волне тока, огибающей витки спирали. Это предельное значение замедления относительно оси z определяется отношением длины витка к периоду спирали L/p, где L = [(πDs)2 + p2]1/2 – длина витка, p – период. Нетрудно убедиться, что кривые на рис. 3, 4 с ростом частоты стремятся к соответствующим значениям этого отношения. При увеличении частоты быстрее всего замедляются меньшие значения p и большие значения Ds, т.е. с увеличением отношения L/p. Длина витка спирали в первом приближении может быть определена по средней линии проводника, которая определяет размер Ds, поэтому при постоянной величине Ds и изменении ширины проводника Dw замедление волны в том же диапазоне частот изменяется сравнительно слабо (см. рис. 5).
На низких частотах механизм распространения волны в спиральной линии изменяется за счет увеличения взаимной связи соседних витков. Как видно на рис. 3, с уменьшением частоты коэффициент замедления волны уменьшается и стремится к определенному значению, которое в пределе нулевой частоты определяется замедлением провода с анизотропными граничными условиями на поверхности.
Для иллюстрации структуры поля в линии на рис. 6 показано мгновенное распределение амплитуды напряженности электрического поля поверхностной волны в спиральной линии в плоскости XOY на частоте 9.633 ГГц, соответствующей набегу фазы на длине периода спирали 135°. Анимация этого распределения по фазе в пределах периода колебаний в распространяющейся волне показывает, что направление вращения вектора поля происходит против часовой стрелки, в соответствии с направлением намотки спирали в принятой модели на рис. 1.
Рис. 6. Мгновенное распределение амплитуды напряженности электрического поля поверхностной волны спирали в поперечной плоскости XOY на частоте 9.633 ГГц.
Как отмечалось выше, дисперсионные кривые на рис. 3 рассчитаны в интервале частот, верхняя граница которого определяется условием δφz = 180°. Эта частота определяет нижнюю границу первой запрещенной зоны спиральной линии. Интересно рассмотреть, как ведет себя дисперсия в окрестности этой зоны, включая частоты, которые лежат выше ее верхней границы. На рис. 7 приведена рассчитанная дисперсионная характеристика линии в интервале частот примерно от 8 до 14.5 ГГц, в который попадает запрещенная зона и ее окрестности. Соответствие ветвей характеристики и типов волн следующее: 1 и 3 – прямая и обратная волна [5, 6] (распространение вдоль оси +z), 2 и 4 – соответствующие им встречные волны (распространение вдоль оси –z). При обозначенных параметрах линии ширина запрещенной зоны равна примерно 5.5 МГц.
Рис. 7. Дисперсионная характеристика спиральной линии в широком диапазоне частот (а) и в узкой окрестности запрещенной зоны (б) при p = 5 мм, Ds = 4 мм, Dw = 1 мм: прямая (1) и обратная волны (3) и соответствующие им встречные волны (2) и (4).
Анимация поля волны в поперечном сечении линии на частотах ниже запрещенной зоны (кривые 1, 2) показывает, что вращение вектора Е в прямой волне (кривая 1) происходит против часовой стрелки, а в соответствующей встречной волне (кривая 2) – по часовой стрелке, так как эти волны распространяются в противоположных направлениях. Аналогичная картина наблюдается и на частотах выше запрещенной зоны: вращение вектора Е в обратной волне (кривая 3) происходит против часовой стрелки, а в соответствующей встречной волне (кривая 4) – по часовой стрелке.
3. ЛИНЕЙНАЯ РЕШЕТКА СПИРАЛЬНЫХ ЛИНИЙ
Используем теперь тот же метод для исследования дисперсионных характеристик собственных волн в более сложных структурах, которые представляют бесконечную решетку спиралей, электромагнитно связанных через внешние поля. Рассмотрим одномерную периодическую решетку спиральных линий с шагом намотки p, ориентированных вдоль оси z и расположенных вдоль оси y c периодом Py (рис. 8). Эта структура является бесконечно протяженной вдоль осей y и z.
Рис. 8. Фрагмент линейной периодической решетки спиральных линий.
Пусть величина δφy обозначает фазовый сдвиг между соседними линиями. Для расчета дисперсионных характеристик собственных волн в решетке при разных значениях δφy используем метод, аналогичный описанному выше для одиночной линии. Так как в данной структуре имеются два направления периодичности, выделяем одну ячейку структуры вдоль оси y и один виток спирали вдоль оси z и окружаем выделенную ячейку прямоугольным воздушным боксом (рис. 9), который определяет область решения в данной модели. Размеры бокса вдоль осей y и z равны соответственно Py и p, а размер в направлении оси х ограничен PML-слоями, расположенными на границах бокса вдоль этой оси. Так как структура не является периодической вдоль оси х, то размер ячейки вдоль нее не определяется однозначно параметрами структуры, и имеется определенная свобода выбора.
Рис. 9. Модель единичной ячейки для линейной периодической решетки спиральных линий.
При определении данного размера ячейки будем исходить из следующих соображений. Предполагаем, что исследуемые волны решетки являются замедленными относительно плоской волны в свободном пространстве и их поля сосредоточены в основном в окрестности плоскости решетки. Амплитуда замедленных волн спадает при удалении от решетки вдоль х с градиентом, определяемым величиной замедления. Поэтому размер бокса следует выбирать достаточно большим, чтобы влиянием поглощающих слоев, расположенных на границах области решения вдоль оси х, на дисперсию исследуемых волн решетки можно было бы пренебречь. Вместе с тем этот размер не должен быть слишком большим, чтобы не увеличивать чрезмерно область решения в задаче на собственные значения и время расчетов. В качестве компромиссного значения размер вдоль оси х был выбран равным 3Py.
На гранях бокса вдоль оси z с расстоянием между ними, равным периоду спирали p, используем граничные условия периодического типа со сдвигом фазы δφz, аналогично тому, как это было описано выше. На другой паре граней вдоль оси y с расстоянием между ними, равном периоду Py, также используем граничные условия периодичности, в которых набег фазы на длине периода Py равен δφy. Будем изменять величину δφz в пределах от нуля до 180° и рассчитывать соответствующие значения собственных частот, при этом величина δφy служит параметром. В данном исследовании ограничимся поиском первых двух собственных частот, которые соответствуют первым двум типам собственных волн решетки. При расчете дисперсионных характеристик будем искать фазовые постоянные распространения этих волн вдоль осей z и y по заданным фазовым сдвигам δφz и δφy. Это позволит определить полную постоянную распространения волны в плоскости решетки y0z. Как отмечалось выше при выборе модели единичной ячейки, мы предполагаем, что эта величина для исследуемых волн больше постоянной распространения плоской волны в свободном пространстве. Поэтому для них постоянная распространения вдоль оси x является мнимой величиной, а амплитуда поля спадает при удалении от плоскости решетки.
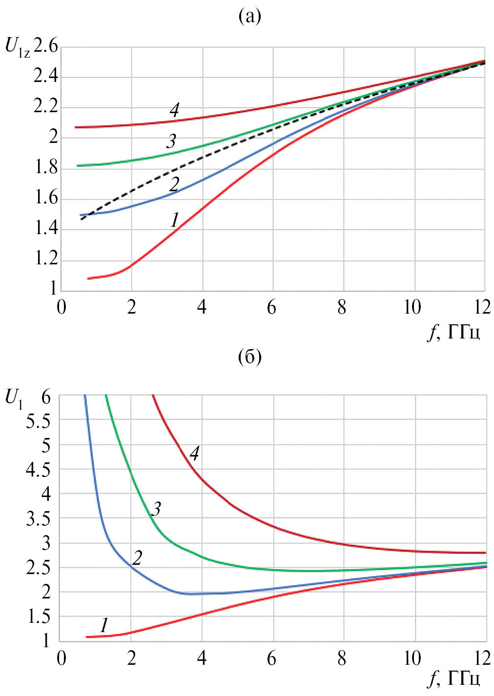
Сначала приведем результаты расчетов дисперсии для основной волны, которой соответствует первая собственная частота. В расчетах заданы следующие параметры структуры: Py = 10 мм, p = 5 мм, Ds = 4 мм, Dw = 1 мм, для δφy = 0°, 45°, 90°, 180°. На рис. 10а, 10б представлены рассчитанные значения замедления этой волны вдоль осей линий z (U1z) и полного замедления U1= (U1z2+U1y2)1/2 , где U1y – замедление волны вдоль оси решетки (зависимость U1y от частоты здесь не показана). Нижний индекс 1 в обозначениях показывает, что соответствующие величины относятся к первой (основной) волне решетки. При δφy = 0° (синфазная решетка) величина U1y = 0, поэтому имеется только одна компонента волнового вектора волны, направленная вдоль оси z. При ненулевых значениях δφy (фазированная решетка) волна имеет обе компоненты постоянной распространения вдоль осей z и y.
Для основной волны величина U1z больше 1 и монотонно растет при увеличении частоты. В соответствии с расчетами величина U1y монотонно спадает с ростом частоты при тех же значениях δφy и может быть как больше, так и меньше 1 в зависимости от частоты. При этом полное замедление U1 больше 1. Противоположный характер частотных зависимостей U1z и U1y приводит к тому, что для некоторых значений δφy имеется минимум в частотной зависимости величины U1, в окрестности которого она остается почти постоянной (см. рис. 10б, кривые 2,3).
Рис. 10. Дисперсионные кривые для первой собственной волны в линейной решетке спиральных линий при δφy = 0° (1), 45° (2), 90° (3) и 180° (4): а – замедление относительно осей линий, б – полное замедление; штриховая кривая – дисперсия одиночной линии.
Вторая собственная частота соответствует второму (высшему) типу волны решетки. На рис. 11а,11б приведены частотные зависимости составляющих замедления этой волны вдоль осей z и полного замедления U2 = (U2z2 + U2y2)1/2, где U2y – замедление волны вдоль оси решетки. Нижний индекс 2 показывает, что величины относятся ко второму типу волны.
Рис. 11. Дисперсионные кривые для второй собственной волны в линейной решетке спиральных линий при δφy = 0° (1), 45° (2), 90° (3), 180° (4): а – замедление относительно осей линий, б – полное замедление; светлые кружки на рис. (а) – точки перегиба.
На рис. 11а обозначены границы двух областей в соответствующих дисперсионных характеристиках с разным знаком производной по частоте (точки). В самой точке производная по частоте обращается в бесконечность. Это означает, что на данной частоте волна второго типа в решетке не распространяется. В некоторой области частот, расположенной ниже частоты точки перегиба, в решетке могут распространяться прямая и встречная волны этого типа. Выше точки перегиба имеется область частот, в которой распространяющиеся волны отсутствуют, т.е. имеет место типичная для периодических структур полоса запирания, обусловленная периодичностью решетки по оси y. Как и следовало ожидать, эта полоса запирания расположена в окрестности частоты 15 ГГц, на которой период Py равен половине длины волны.
Как видим, дисперсионные кривые на рис. 11а и 11б качественно отличаются от соответствующих кривых для основной волны на рис. 10а и 10б. При ненулевом фазовом сдвиге замедление второй волны вдоль осей линий U2z может принимать значения как меньше, так и больше единицы. При этом (см. рис. 11б) величина полного замедления второй волны U2 во всем исследованном диапазоне частот так же больше единицы, как и у основной волны. Однако дисперсионные характеристики этих волн разные вследствие разной структуры их полей. Для более наглядного сравнения характера частотной дисперсии и величины замедления обоих типов волн они приведены на рис. 12 на общем графике при δφy = 0° и 180°. Аналогичные зависимости имеют место и для промежуточных значений δφy (на рисунке не показаны).
Рис. 12. Зависимости полного замедления первой (сплошные кривые) и второй (штриховые линии) собственных волн линейной решетки от частоты при δφy = 0° (а) и 180° (б). Светлые кружки на рис. (а) и (б) – точки перегиба.
Отметим, что при заданных параметрах спиральных линий и периода решетки дисперсионные кривые на рис. 10–12 лежат в области частот ниже 16 ГГц. Как было уже отмечено, максимальная частота рассчитанных характеристик первых двух типов волн определялась при сдвиге фазы δφz = 180° для каждой из них на длине периода спиральной линии. Исследование дисперсии волн линейной решетки в более широком частотном диапазоне в данной работе не проводилось.
Полученные значения замедления вдоль осей z и y позволяют определить направление распространения собственных волн в плоскости решетки y0z. На рис. 13 приведены частотные зависимости угла распространения относительно осей линий (ось z) для основной волны, рассчитанные по формуле θ = arctg(U1y/U1z). В синфазной решетке направление распространения волны совпадает с осью z (θ = 0) и не зависит от частоты. При сдвиге фазы между линиями с ростом частоты направление распространения волны приближается к оси z тем быстрее, чем меньше величина фазового сдвига.
Рис. 13. Зависимость угла распространения основной волны относительно осей линий в линейной решетке от частоты при δφy= 0° (1), 45° (2), 90° (3), 180° (4).
Угол распространения волны в решетке представляет интерес в первую очередь для основного типа волны, поэтому для второго типа волны эта характеристика не представлена.
Как отмечалось выше, с точки зрения исследования возможности применения решетки спиральных линий в облучателях кластерного типа интерес представляют зависимости величины замедления вдоль осей линий U1z от разности фаз между линиями при заданной частоте (рис. 14). На рисунке отмечены значения замедления при δφy = 0°, 15°, 30°, 45°, 90°, 135° и 180° (темные квадраты), а кривые построены как сплайн-аппроксимации по этим семи значениям. Расчеты показывают, что зависимости U1z (δφy) на рис. 14 являются четными относительно значения δφy = 0°. Из рисунка следует, что на заданной частоте величина замедления основной волны вдоль осей спиральных линий монотонно растет с ростом фазового сдвига между ними. Скорость возрастания зависит от частоты: чем выше частота, тем зависимость становится более пологой.
Рис. 14. Зависимости замедления основной волны линейной решетки вдоль осей линий от сдвига фазы между ними при f = 5 (1), 6 (2) и 7 ГГц (3); точками на кривых отмечены значения замедления при δφy = 0°, 15°, 30°, 45°, 90°, 135° и 180° (слева направо).
4. ДВУМЕРНО-ПЕРИОДИЧЕСКАЯ РЕШЕТКА СПИРАЛЬНЫХ ЛИНИЙ
Исследуем теперь дисперсию собственных волн в двумерно-периодической решетке спиральных линий с шагом намотки p, ориентированных вдоль оси z (рис. 15). В общем случае периоды решетки вдоль осей x и y могут быть разными. Рассмотрим случай квадратной решетки с одинаковыми периодами Px = Py.
Рис. 15. Фрагмент двумерно-периодической решетки спиральных линий.
Для исследования дисперсии ее собственных волн используем тот же метод, что и выше. Для такой периодической структуры размеры единичной ячейки однозначно определяются величинами периодов вдоль каждой из осей (рис. 16). В этом случае граничные условия периодического типа надо задавать на трех парах граней ячейки вдоль осей z, y и x c соответствующими сдвигами фазы δφz, δφy и δφx. Будем изменять величину фазового сдвига δφz в интервале от 0 до 180° и определять собственные частоты для каждого значения этой переменной. При этом значения δφx и δφy, описывающие сдвиги фазы между соседними элементами решетки соответственно вдоль осей x и y, служат двумя независимыми параметрами.
Рис. 16. Модель единичной ячейки двумерно-периодической решетки спиральных линий.
Исследуем вариант решетки с одинаковыми значениями δφx = δφy = δφ. Для расчета дисперсии волн в такой решетке задаем значения периодов p = 5 мм, Px = Py = 10 мм, параметры линий Ds = 4 мм, Dw = 1 мм. Как и в случае линейной решетки, будем рассчитывать первые две собственные частоты и дисперсионные характеристики соответствующих им волн решетки. На рис. 17а,17б представлены результаты расчета замедления основного типа волны, соответствующего первой собственной частоте. Для ряда значений параметра δφ приведены значения замедления вдоль осей линий z (U1z), а также полного замедления U1= (U1z2 + U1xy2)1/2, где U1xy – замедление волны в поперечной плоскости; нижний индекс 1 означает, что соответствующие величины относятся к первому (основному) типу волны.
Рис. 17. Дисперсионные кривые первой собственной волны в двумерной решетке при δφ = 0° (1), 45° (2), 90° (3) и 180° (4): а – замедление относительно осей линий, б – полное замедление; пунктирная кривая – дисперсия одиночной линии.
Как и в линейной решетке, замедление основной волны U1z вдоль осей линий монотонно растет с ростом частоты, а величина замедления в перпендикулярной плоскости U1xy при ненулевых значениях δφ монотонно убывает в том же частотном диапазоне (частотные зависимости U1xy не приводим). При этом полное замедление при некоторых значениях δφ может иметь пологий минимум по частоте и оставаться почти постоянным в его окрестности (см. рис. 17б, кривые 2, 3). Сравнивая эти результаты с представленными на рис. 10а,10б для линейной решетки, видим, что дисперсионные кривые для основной волны в решетках обоих типов по форме соответствуют друг другу. Дисперсия основной волны в этих решетках определяется как дисперсией самих линий, так и их взаимной связью.
Также были рассчитаны дисперсионные характеристики второго типа волны двумерной решетки, которому соответствует вторая собственная частота. Для этой волны частотные зависимости U2z, U2xy (U2xy – замедление волны в поперечной плоскости) и полного замедления U2 = (U2z2 + U2xy2)1/2 приведены на рис. 18а,18б. Как и в случае линейной решетки, нижний индекс 2 показывает, что физические величины относятся ко второму типу волны. Характер частотных зависимостей U2xy аналогичен характеру частотных зависимостей U2y в линейной решетке.
На рис. 18а также обозначены границы двух областей в дисперсионных характеристиках с разным знаком производной по частоте (точки). Такой характер частотных зависимостей свидетельствует о том, что в некоторой области частот ниже точки перегиба в дисперсионной кривой в двумерной решетке также могут распространяться две волны, аналогично тому, как это имеет место в линейной решетке.
Рис. 18. Дисперсионные характеристики второй собственной волны в двумерной решетке спиральных линий при δφ = 0° (1), 45° (2), 90° (3), 180° (4): а – замедление относительно осей линий, б – полное замедление; светлые кружки на рис. (а) – точки перегиба.
Частотные зависимости на рис. 18а,18б при изменении фазового сдвига между линиями качественно аналогичны соответствующим зависимостям для второй собственной волны в линейной решетке (см. рис. 11). Для решеток обоих типов есть области частот, в которых замедление второй собственной волны вдоль осей линий меньше единицы. При этом с учетом составляющей замедления в перпендикулярной плоскости полное замедление второй волны остается больше единицы во всем исследованном частотном диапазоне. На рис. 19 приведены частотные зависимости замедления для двух собственных волн двумерной решетки в случае δφ = 0° и 180° Интересно сравнить эти графики с соответствующими графиками на рис. 12 для линейной решетки.
Рис. 19. Зависимости полного замедления первой (сплошные кривые) и второй (штриховые) собственных волн двумерной решетки от частоты при δφ = 0° (а) и 180° (б); светлый кружок на рис. (а) – точка перегиба.
На рис. 20 показаны рассчитанные по формуле θ = arctg(U1xy/U1z) углы распространения относительно осей линий (ось z) в зависимости от частоты для основной волны при изменении величины фазового сдвига между линиями. В этом случае волновой вектор собственной волны фазированной решетки лежит в диагональной плоскости, расположенной под углом 45° относительно осей x и y, что следует из условия одинаковой фазировки вдоль этих осей. Как и в линейной решетке, с ростом частоты направление распространения волны в двумерной решетке приближается к оси z тем быстрее, чем меньше фазовый сдвиг между линиями. В случае синфазной решетки волна распространяется вдоль осей линий (θ = 0).
Рис. 20. Угол распространения основной волны относительно осей линий в зависимости от частоты в двумерной решетке при δφ= 0° (1), 45° (2), 90° (3) и 180° (4).
На рис. 21 приведены зависимости замедления основной волны вдоль осей линий от разности фаз δφ для трех частот. Точки на кривых обозначают значения замедления при δφ = 0°, 15°, 30°, 45°, 90°, 135° и 180°, а кривые для каждой из частот представляют сплайн-аппроксимацию. Как видим, эти зависимости подобны соответствующим зависимостям для линейной решетки (см. рис. 14). Как и в том случае, данные зависимости являются четными относительно значения δφ = 0. Для решеток обоих типов величина замедления основной волны вдоль осей линий монотонно растет с ростом фазового сдвига между ними.
Рис. 21. Зависимости замедления основной волны двумерной решетки вдоль осей линий от сдвига фазы между ними при f = 6 (1), 7 (2) и 8 ГГц (3); точками на кривых отмечены значения замедления при δφy = 0°, 15°, 30°, 45°, 90°, 135° и 180° (слева направо).
ЗАКЛЮЧЕНИЕ
Проведенные численные исследования позволили получить дисперсионные характеристики цилиндрических однозаходных спиральных линий в широкой области параметров, включая такие, для которых условия применимости известных приближенных аналитических методов, описанных в более ранних работах, не выполняются. Для одиночных линий исследовалась дисперсия основной замедленной волны в полосе пропускания, ограниченной сверху нижней частотой запрещенной зоны. В этой полосе частот коэффициент замедления волны может изменяться в широких пределах и достигать достаточно больших значений.
Для одномерной и двумерной периодических решеток спиральных линий были исследованы дисперсионные характеристики первых двух типов волн для разных величин фазовых сдвигов между линиями. Первый тип волны представляет основную, замедленную вдоль осей линий волну, коэффициент замедления которой увеличивается как с ростом частоты, так и величины фазового сдвига между линиями. Направление вращения вектора поля в нем соответствует направлению намотки спирали. Второй тип волны в фазированной решетке на нижних частотах имеет коэффициент замедления меньше единицы, а на более высоких частотах он трансформируется в замедленную волну. Дисперсионная характеристика этого типа волны определяется наличием запрещенной зоны, обусловленной периодичностью структуры вдоль оси решетки.
Дальнейшее исследование в этом направлении может включать, в частности, решение задачи возбуждения спиральных линий и их решеток.
Авторы заявляют об отсутствии конфликта интересов.
ФИНАНСИРОВАНИЕ РАБОТЫ
Работа выполнена за счет бюджетного финансирования в рамках государственного задания Института радиотехники и электроники РАН.
About the authors
S. E. Bankov
Kotel’nikov Institute of Radio Engineering and Electronics, Russian Academy of Sciences
Author for correspondence.
Email: sbankov@yandex.ru
Russian Federation, Moscow
V. I. Kalinichev
Kotel’nikov Institute of Radio Engineering and Electronics, Russian Academy of Sciences
Email: sbankov@yandex.ru
Russian Federation, Moscow
References
- Силин Р.А., Сазонов В.П. Замедляющие системы. М.: Сов. радио, 1966.
- Юрцев О.А., Рунов А.В., Казарин А.Н. Спиральные антенны. М.: Сов. радио, 1974.
- Силин Р.А. Периодические волноводы. М.: Фазис, 2002.
- Bankov S.E., Bugrova T.I. // Microwave Optical Technol. Lett. 1993. V. 6. № 13. P. 782.
- Банков С.Е., Фролова Е.В.// РЭ. 2023. T. 68. № 9. С. 835.
- Вайнштейн Л.А. Электромагнитные волны. М.: Радио и связь. 1988.
Supplementary files






















