Компактная поведенческая модель нанокомпозитного мемристора
- Авторы: Суражевский И.А.1, Рыльков В.В.1,2, Демин В.А.1
-
Учреждения:
- Национальный исследовательский центр “Курчатовский институт”
- Фрязинский филиал Института радиотехники и электроники им. В.А. Котельникова РАН
- Выпуск: Том 68, № 11 (2023)
- Страницы: 1140-1146
- Раздел: НОВЫЕ РАДИОЭЛЕКТРОННЫЕ СИСТЕМЫ И ЭЛЕМЕНТЫ
- URL: https://bakhtiniada.ru/0033-8494/article/view/232612
- DOI: https://doi.org/10.31857/S0033849423100170
- EDN: https://elibrary.ru/DNNGTF
- ID: 232612
Цитировать
Полный текст
Аннотация
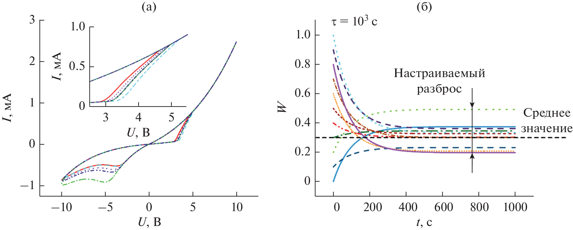
Предложена компактная поведенческая модель нанокомпозитного мемристора (Co40Fe40B20)x(LiNbO3)100 – x, которая количественно описывает динамику изменения проводимости лабораторных образцов, а также реализует механизмы конечного времени хранения резистивных состояний, разбросов по напряжениям переключения от цикла к циклу и от устройства к устройству. Показана возможность реализации импульсной нейронной сети с синаптическими мемристорными связями на основе данной модели.
Об авторах
И. А. Суражевский
Национальный исследовательский центр “Курчатовский институт”
Автор, ответственный за переписку.
Email: isurazhevsky@yandex.ru
Российская Федерация, 123182, Москва, пл. Академика Курчатова, 1
В. В. Рыльков
Национальный исследовательский центр “Курчатовский институт”; Фрязинский филиал Института радиотехники и электроники им. В.А. Котельникова РАН
Email: isurazhevsky@yandex.ru
Российская Федерация, 123182, Москва, пл. Академика Курчатова, 1; Российская Федерация, 141190, Московской области, Фрязино, пл. Введенского, 1
В. А. Демин
Национальный исследовательский центр “Курчатовский институт”
Email: isurazhevsky@yandex.ru
Российская Федерация, 123182, Москва, пл. Академика Курчатова, 1
Список литературы
- Gasseling T. // Microw. J. 2012. V. 55. P. 74.
- Денисенко В.В. // Электроника: Наука, технология, бизнес. 2004. № 5. C. 76.
- Chauhan Y.S., Venugopalan S., Karim M.A. et al. // 2012 Proc. Europ. Solid-State Circuits Conf. Bordeux. 12‒17 Sept. N.Y.: IEEE, 2012. P. 30. https://doi.org/10.1109/ESSCIRC.2012.6341249
- Łuszczek M., Turzynski M., Swisulski D. // Int. J. Electron. Telecommun. 2020. V. 66. № 4. P. 753.
- Hennessy J.L., Patterson D.A. Computer Architecture: A Quantitative Approach. 7th ed. Cambridge MA: Morgan Kaufmann Publ., 2019.
- Simonyan K., Zisserman A. // 3rd Int. Conf. Learn. Represent. ICLR San Diego 7–9 May 2015 – Conf. Track Proc. 2015. P. 1.
- He K., Zhang X., Ren S., Sun J. // 2016 IEEE Conf. Computer Vision and Pattern Recognition (CVPR). Las Vegas. 27–30 Jun. N.Y.: IEEE, 2016. P. 770.
- Brown T.B., Kaplan J., Ryder N. et al. // arXiv: 2005.14165. 2020. https://doi.org/10.48550/arXiv.2005.14165
- Yao P., Wu H., Gao B. et al.// Nature. 2020. V. 577. № 7792. P. 641.
- Hu M., Graves C.E., Li C. et al. // Adv. Mater. 2018. V. 30. № 9. Article No. 1705914.
- Wan W., Kubendran R., Schaefer C. et al. // Nature. 2022. V. 608. № 7923. P. 504.
- Kvatinsky S., Friedman E.G., Kolodny A., Weiser U.C. // IEEE Trans. 2013. V. TCAS-I-60. № 1. P. 211.
- Kvatinsky S., Ramadan M., Friedman E.G., Kolodny A. // IEEE Trans. 2015. V. TCAS-II-62. № 8. P. 786.
- Abunahla H., Mohammad B. Memristor Technology: Synthesis and Modeling for Sensing and Security Applications. Cham: Springer, 2018. P. 93.
- Теплов Г.С., Горнев Е.С. // Микроэлектроника. 2019. Т. 48. № 3. С. 163.
- Мацукатова А.Н., Никируй К.Э., Миннеханов А.А. и др. // РЭ. 2020. Т. 65. № 10. C. 1008.
- Никируй К.Э., Ильясов А.И., Емельянов А.В. и др. // ФТТ. 2020. Т. 62. № 9. C. 1562.
- Demin V.A., Surazhevsky I.A., Emelyanov A.V. et al. // J. Comput. Electron. 2020. V. 19. № 2. P. 565.
- Surazhevsky I.A., Demin V.A., Ilyasov A.I. et al. // Chaos, Solitons and Fractals. 2021. V. 146. Article No. 110890.
- Surazhevsky I.A., Nikiruy K.E., Emelyanov A.V. et al. // Nanoindustry Russ. 2022. V. 15. P. 470.
- Davies M., Srinivasa N., Lin T.H. et al. // IEEE Micro. 2018. V. 38. № 1. P. 82.
- Sboev A., Serenko A., Rybka R., Vlasov D. // Math. Methods Appl. Sci. 2020. V. 43. № 13. P. 7802.
- Demin V.A., Nekhaev D.V., Surazhevsky I.A. et al. // Neural Networks. 2021. V. 134. P. 64.
- Demin V., Nekhaev D. // Frontiers in Neuroinformatics. 2018. V. 12. Article No. 79.
Дополнительные файлы







