Исследование скорости затухания сверхширокополосной волны на открытой местности в двухлучевой модели
- Авторы: Андреев Ю.В.1,2, Петросян М.М.1
-
Учреждения:
- Институт радиотехники и электроники им. В.А. Котельникова РАН
- Московский физико-технический институт (национальный исследовательский университет)
- Выпуск: Том 68, № 11 (2023)
- Страницы: 1056-1064
- Раздел: ЭЛЕКТРОДИНАМИКА И РАСПРОСТРАНЕНИЕ РАДИОВОЛН
- URL: https://bakhtiniada.ru/0033-8494/article/view/232602
- DOI: https://doi.org/10.31857/S0033849423100030
- EDN: https://elibrary.ru/DPJTWF
- ID: 232602
Цитировать
Полный текст
Аннотация
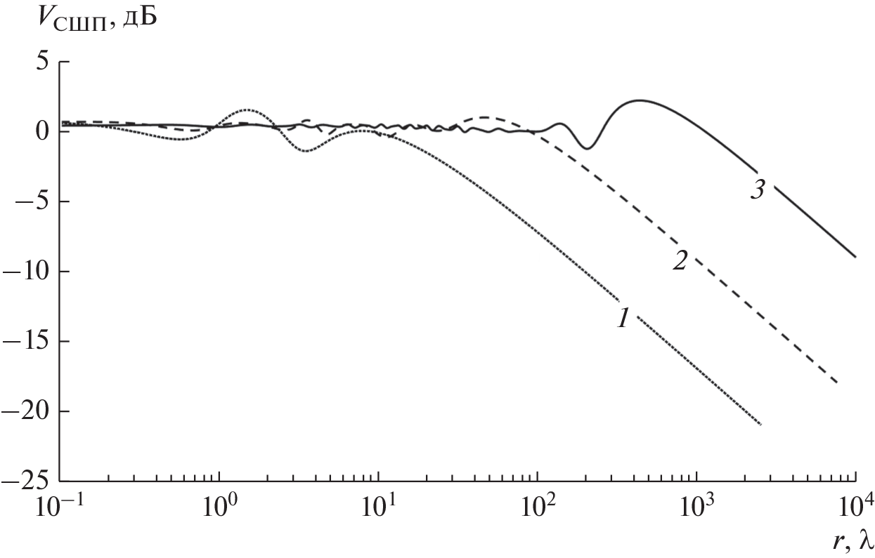
Исследованы особенности распространения сверхширокополосной волны над поверхностью Земли в двухлучевой модели. Показано, что существует предельное расстояние (точка срыва), до которого сверхширокополосная волна затухает примерно как в свободном пространстве с показателем затухания n = 2, не испытывая замираний, благодаря крайне малому времени автокорреляции сверхширокополосной волны; за точкой срыва показатель затухания волны становится равным n = 4.
Об авторах
Ю. В. Андреев
Институт радиотехники и электроники им. В.А. Котельникова РАН; Московский физико-технический институт (национальный исследовательский университет)
Автор, ответственный за переписку.
Email: andreev.iuv@mipt.ru
Российская Федерация, 125009, Москва, ул. Моховая, 11, стр. 7; Российская Федерация, 141700, Московской обл., Долгопрудный, Институтский пер., 9
М. М. Петросян
Институт радиотехники и электроники им. В.А. Котельникова РАН
Email: andreev.iuv@mipt.ru
Российская Федерация, 125009, Москва, ул. Моховая, 11, стр. 7
Список литературы
- Долуханов М.П. Распространение радиоволн. М.: Связь, 1972.
- ET Docket 98-153, FCC 02-48. April 22, 2002. Washington: Federal Communications Commission (FCC), 2002.
- Решение ГКРЧ № 09-05-02 от 15 декабря 2009 г.
- ECMA-368. High Rate Ultra Wideband PHY and MAC Standard. 3rd ed. Dec. 2008.
- 15.4a-2007. N.Y.: IEEE, 2007.
- Андреев Ю.В., Дмитриев А.С., Клецов А.В. // РЭ. 2007. Т. 52. № 7. С. 838.
- Molisch A.F. Wireless Communications. Chichester: John Wiley & Sons, Ltd., 2010.
- Molisch A.F., Balakrishnan K., Cassioli D. et al. IEEE 802.15.4a Channel Modeling Sub-committee Report Final. IEEE 802.15-04-0662-02-004a. 2005. P. 3681.
- Richardson P., Xiang W., Shan D. // Int. J. Ultra Wideband Comm. and Syst. 2014. V. 3. № 1. P. 1.
- Yang Li, Kai D., Maorong J. et al. // Aut. Control Comp. Sci. 2019. V. 53. P. 186. https://doi.org/10.3103/S014641161902010X
- Win M.Z., Ramirez-Mireles F., Scholtz M.A., Barnes M.A. // Proc. 1997 IEEE 47th Vehicular Techn. Conf. Technology in Motion. N.Y.: IEEE, 1997. V. 1. P. 251. https://doi.org/10.1109/VETEC.1997.596358
- Sangodoyin S., Niranjayan S., Molisch A.F. // Proc. 2013 7th Europ. Conf. Antennas and Propagation (EuCAP). N.Y.:IEEE, 2013. P. 3034.
- Sato S., Kobayashi T. // 8th IEEE Int. Symp. Spread Spectrum Techniques & Applications. N.Y.: IEEE, 2004. P. 488. https://doi.org/10.1109/ISSSTA.2004.1371748
- Maw M.M., Rankhamrat B., Promwong S. // Proc. Reg. Conf. Comp. & Inf. Eng. (RCCIE-2013). Bangkok. Aug 22–23, 2013. P. 87.
- Siwiak K., Bertoni H.L., Yano S.M. // Electronic Lett. 2003. V. 39. № 1. P. 142.
- Дмитриев А.С., Панас А.И. Динамический хаос: новые носители информации для систем связи. М.: Физматлит, 2002.
- Рытов С. М. Введение в статистическую радиофизику. Ч. 1. Случайные процессы. М.: Наука, 1966.
Дополнительные файлы










