The influence of nonlinearity on a singular point in a system of coupled Duffing oscillators
- Authors: Temnaya O.S.1, Safin A.R.1,2, Kravchenko O.V.1,3, Nikitov S.A.1,3,4
-
Affiliations:
- Kotelnikov Institute of Radioengineering and Electronics, Russian Academy of Sciences
- Moscow Power Engineering Institute (National research University)
- Institution of Russian Academy of Sciences Dorodnicyn Computing Centre of RAS
- Saratov State University (National research University
- Issue: Vol 68, No 9 (2023)
- Pages: 893-896
- Section: К 70-ЛЕТИЮ ИРЭ ИМ. В.А. КОТЕЛЬНИКОВА РАН
- URL: https://bakhtiniada.ru/0033-8494/article/view/138413
- DOI: https://doi.org/10.31857/S0033849423090231
- EDN: https://elibrary.ru/SJESLH
- ID: 138413
Cite item
Full Text
Abstract
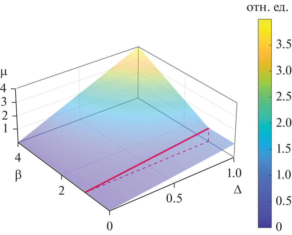
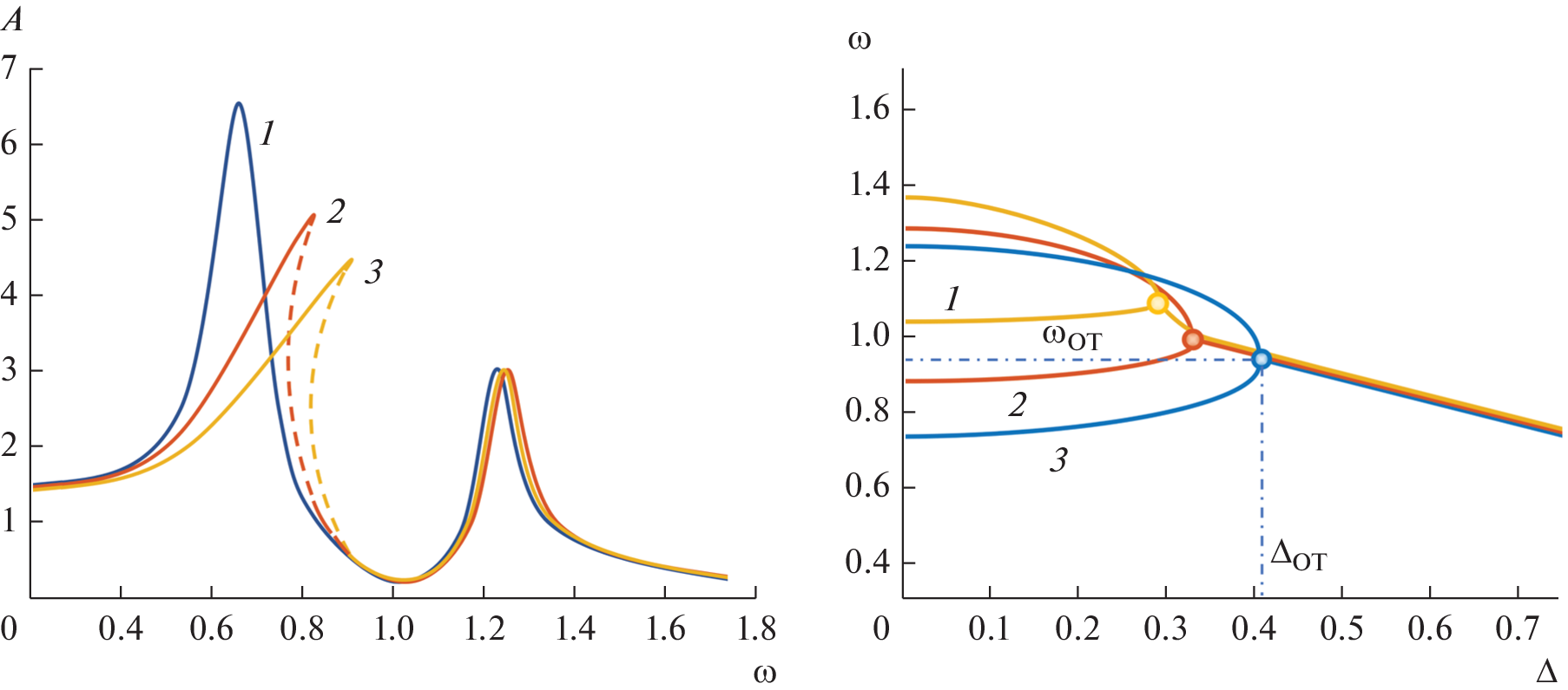
The influence of nonlinearity on the displacement of a singular point in a system of two connected Duffing oscillators when coupling coefficients and insertion losses change. It is shown that the displacement of the singular point when the nonlinearity coefficient changes is accompanied by a decrease in the amplitude of the excited oscillations and a shift in the resonant frequency. The threshold values of the nonlinearity, coupling, and insertion loss coefficients at which a singular point occurs are numerically found. It is shown that an increase in the nonlinearity coefficient leads to a decrease in the threshold value of the insertion losses required for the formation of a singular point.
About the authors
O. S. Temnaya
Kotelnikov Institute of Radioengineering and Electronics, Russian Academy of Sciences
Email: ostemnaya@gmail.com
Moscow, 125009 Russia
A. R. Safin
Kotelnikov Institute of Radioengineering and Electronics, Russian Academy of Sciences; Moscow Power Engineering Institute (National research University)
Email: ostemnaya@gmail.com
Moscow, 125009 Russia; Moscow, 111250, Russia
O. V. Kravchenko
Kotelnikov Institute of Radioengineering and Electronics, Russian Academy of Sciences; Institution of Russian Academy of Sciences Dorodnicyn Computing Centre of RAS
Email: ostemnaya@gmail.com
Moscow, 125009 Russia; Moscow,119333, Russia
S. A. Nikitov
Kotelnikov Institute of Radioengineering and Electronics, Russian Academy of Sciences; Institution of Russian Academy of Sciences Dorodnicyn Computing Centre of RAS; Saratov State University (National research University
Author for correspondence.
Email: ostemnaya@gmail.com
Moscow, 125009 Russia; Dolgoprudnyi, Moscow oblast, 141701 Russia; Saratov, 410012, Russia
References
- Kato T. A Short Introduction to Perturbation Theory for Linear Operators. N.Y.: Springer., 2011. https://doi.org/10.1007/978-1-4612-5700-4
- Wiersig J. // Photon. Res. 2020. V. 8. № 9. P. 1457. https://doi.org/10.1364/PRJ.396115
- Weidong C., Wang C., Chen W. et al. // Nat. Nanotech. 2022. V. 17. Article No. 262268. https://doi.org/10.1038/s41565-021-01038-4
- Зябловский А.А., Виноградов А.П., Пухов А.А. и др. // Успехи физ. наук. 2014. Т. 184. № 11. С. 1177. https://doi.org/10.3367/UFNr.0184.201411b.1177
- Rüter C., Makris K., El-Ganainy R. // Nat. Phys. 2010. V. 6. Article No. 192195. https://doi.org/10.1038/nphys1515
- Вилков Е.A., Бышевский-Конопко О.А., Темная О.С. и др. // Письма в ЖТФ. 2022. Т. 48. № 24. С. 38. https://doi.org/10.21883/PJTF.2022.24.54023.19291
- Zhu X., Ramezani H., Shi C. et al. // Phys. Rev. X 2014. V. 4. Article No. 031042. https://doi.org/10.1103/PhysRevX.4.031042
- Wittrock S., Perna S., Lebrun R. et al. // arXiv: 2108.04804.
- Liu H., Sun D., Zhang C. et al. // Sci. Adv. 2019. V. 5. № 11. Article No. aax9144. https://doi.org/10.1126/sciadv.aax9144
- Temnaya O.S., Safin A.R., Kalyabin D.V., Nikitov S.A. // Phys. Rev. Appl. 2022. V. 18. Article No. 014003. https://doi.org/10.1103/PhysRevApplied.18.014003
- Sadovnikov A.V., Zyablovsky A.A., Dorofeenko A.V., Nikitov S.A. // Phys. Rev. Appl. 2022. V. 18. Article No. 024073. https://doi.org/10.1103/PhysRevApplied.18.024073
- Rajasekar S., Sanjuan M. Nonlinear Resonances. Cham: Springer, 2015.
- Рабинович И.М., Трубецков Д.И. Введение в теорию колебаний и волн. Ижевск: НИЦ РХД, 2000.
- Moon K.-W., Chun B.S., Kim W. et al. // Sci. Reports. 2014. V. 4. Article No. 6170.
Supplementary files





