Field Effects in the Electrical Conductivity of Platinum/Diamond-Like Carbon/Platinum Capacitor Structures
- Authors: Vedeneev A.S.1, Rylkov V.V.1,2, Luzanov V.A.1, Nikolaev S.N.2, Kozlov A.M.1, Bugaev A.S.1,3
-
Affiliations:
- Institute of Radioengineering and Electronics, Fryazino Branch, Russian Academy of Science
- National Research Center Kurchatov Institute
- Institute of Physics and Technology
- Issue: Vol 68, No 8 (2023)
- Pages: 827-830
- Section: НАНОЭЛЕКТРОНИКА
- URL: https://bakhtiniada.ru/0033-8494/article/view/138364
- DOI: https://doi.org/10.31857/S0033849423080132
- EDN: https://elibrary.ru/UTZQTW
- ID: 138364
Cite item
Full Text
Abstract
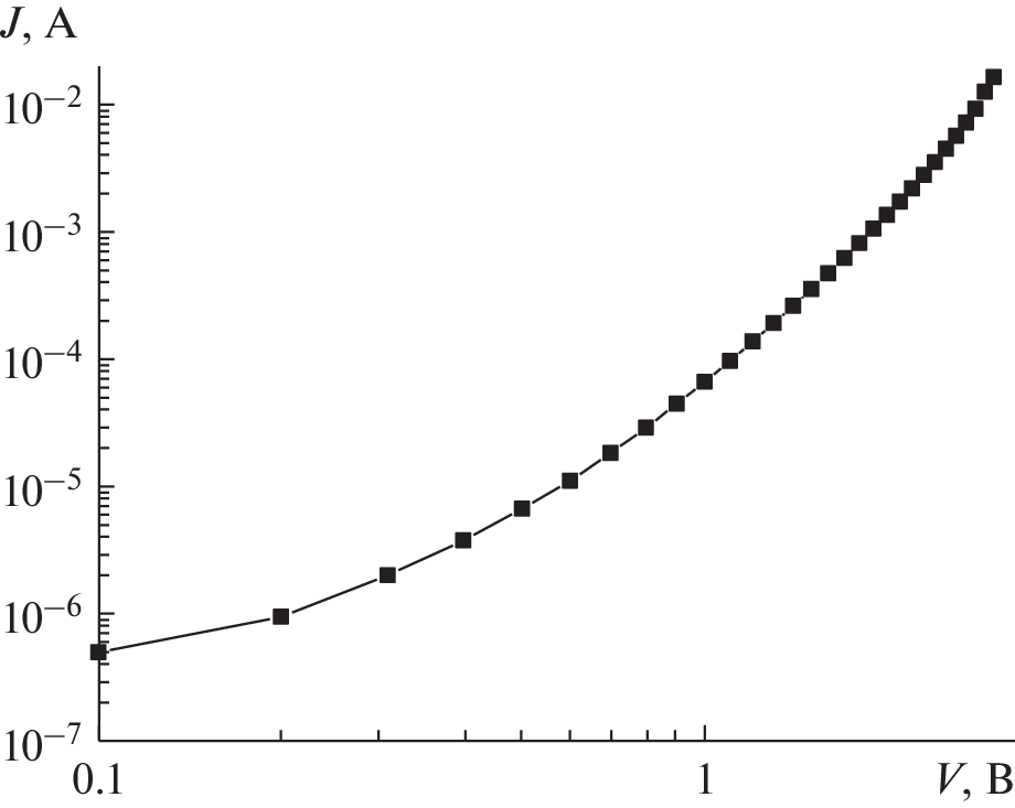
The field dependences of the electrical conductivity of Pt/diamond-like carbon (DLC)/Pt structures based on thin layers of high-resistivity DLC are studied. It is shown that the nonohmic behavior of theconductance of structures is described by the Frenkel–Poole formula and is related to correlated distribution of charges under conditions of their percolation hopping transport between low-resistance DLC regions.
About the authors
A. S. Vedeneev
Institute of Radioengineering and Electronics, Fryazino Branch, Russian Academy of Science
Email: asv335@mail.ru
Fryazino, Moscow oblast, 141190 Russia
V. V. Rylkov
Institute of Radioengineering and Electronics, Fryazino Branch, Russian Academy of Science; National Research Center Kurchatov Institute
Email: asv335@mail.ru
Fryazino, Moscow oblast, 141190 Russia; Moscow, 123182 Russia
V. A. Luzanov
Institute of Radioengineering and Electronics, Fryazino Branch, Russian Academy of Science
Email: asv335@mail.ru
Fryazino, Moscow oblast, 141190 Russia
S. N. Nikolaev
National Research Center Kurchatov Institute
Email: asv335@mail.ru
Moscow, 123182 Russia
A. M. Kozlov
Institute of Radioengineering and Electronics, Fryazino Branch, Russian Academy of Science
Email: asv335@mail.ru
Fryazino, Moscow oblast, 141190 Russia
A. S. Bugaev
Institute of Radioengineering and Electronics, Fryazino Branch, Russian Academy of Science; Institute of Physics and Technology
Author for correspondence.
Email: asv335@mail.ru
Fryazino, Moscow oblast, 141190 Russia; Dolgoprudny, Moscow oblast, 141700 Russia
References
- Frenkel J. // Phys. Rev. 1938. V. 54. № 8. P. 647.
- Френкель Я.И. // ЖЭТФ. 1938. Т. 8. № 12. С. 1292.
- Hill R.M. // Philosophical Magazine. 1971. V. 23. № 181. P. 59.
- Adachi H., Shibata Y., Ono S. // J. Phys. D: Appl. Phys. 1971. V. 4. № 7. P. 988.
- Makram-Ebeid S.S., Lannoo M. // Phys. Rev. B. 1982. V. 25. № 10. P. 6406.
- Nasyrov K.A., Gritsenko V.A. // J. Appl. Phys. 2011. V. 109. № 9. Article No. 093705.
- Шкловский Б.И. // ФТП. 1979. Т. 13. № 1. С.93.
- Шкловский Б.И., Эфрос А.Л. // Успехи физ. наук. 1975. Т. 117. № 11. С. 401.
- Насыров К.А., Гриценко В.А. // Успехи физ. наук. 2013. Т. 183. № 10. С. 1099.
- Sharma Y., Misra P., Katiyar R.S. // J. Appl. Phys. 2014. V.116. № 8. Article No. 084505.
- Peng P., Xie D., Yang Y. et al. // J. Appl. Phys. 2012. V.111. № 8. Article No. 084501.
- Lampert A., Mark P. Current Injection in Solids. N.Y.: Acad. Press, 1970.
- Andreeva N., Ivanov A., Petrov A. // AIP Advances. 2018. V. 8. № 25. Article No. 025208.
- Zhuge F., Dai W., He C. L. et al. // Appl. Phys. Lett. 2010. V. 96. № 16. Article No.163505.
- Takabayasi S., Yang M., Ogawa Sh. et al. // J. Appl. Phys. 2014. V. 116. № 9. Article No. 093507.
- Веденеев А.С., Лузанов В.А., Рыльков В.В. // Письма в ЖЭТФ. 2019. Т. 109. № 3. С. 170.
- Liao X., Zhang X., Takai K., Enoki T. // J. Appl. Phys. 2010. V. 107. № 1. P. 013709.
- Pollak M., Hauser J.J. // Phys. Rev. Lett. 1973. V. 31. № 21. P.1304.
- Райх М.Э., Рузин И.М. // Письма в ЖЭТФ. 1986. Т. 43. № 9. С. 437.
- Лузанов В.А., Веденеев А.С. // РЭ. 2018. Т. 63. № 9. С. 1007.
- Аладашвили Д.И., Адамия З.А., Лавдовский К.Г. и др. // ФТП. 1989. Т. 23. № 2. С. 213.
- Шкловский Б.И., Эфрос А.Л. Электронные свойства легированных полупроводников. М.: Наука, 1979.
- Аронзон Б.А., Ковалев Д.Ю., Рыльков В.В. // ФТП. 2005. Т. 39. № 7. С. 844 .
- Николаев С.Н., Веденеев А.С., Лузанов В.А. и др. // РЭ. 2021. Т.66. № 10. С.1024.
Supplementary files





