RNi (R = Gd and Dy) Compound-Based Magnetocaloric Materials
- Authors: Kurganskay A.A.1, Tereshina I.S.1
-
Affiliations:
- Moscow State University
- Issue: Vol 68, No 4 (2023)
- Pages: 366-371
- Section: К 90-ЛЕТИЮ ВЛАДИМИРА ГРИГОРЬЕВИЧА ШАВРОВА
- URL: https://bakhtiniada.ru/0033-8494/article/view/138194
- DOI: https://doi.org/10.31857/S0033849423040071
- EDN: https://elibrary.ru/PFPJKE
- ID: 138194
Cite item
Full Text
Abstract
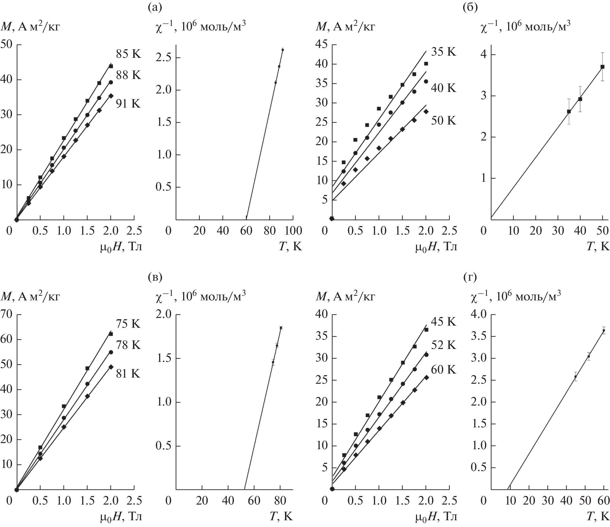
High-performance materials for solid-state magnetic cooling in the temperature range of 1.5–100 K were developed. The magnetic and magnetocaloric properties of the new (R, R')Ni (R = Gd and R' = Dy) compounds and their hydrides were studied in the Curie temperature region. The main regularities in the behavior of the temperature dependences of the magnetocaloric effect for different compositions were established.
About the authors
A. A. Kurganskay
Moscow State University
Email: kurganskaia.aa17@physics.msu.ru
Moscow, 119234 Russia
I. S. Tereshina
Moscow State University
Author for correspondence.
Email: kurganskaia.aa17@physics.msu.ru
Moscow, 119234 Russia
References
- Gschneidner K.A., Jr, Pecharsky V.K., Tsokol A.O. // Rep. Prog. 2005. V. 68. № 6. P. 1479. https://doi.org/10.1088/0034-4885/68/6/R04
- Tanaeva I.A., Ikeda H., Van Bokhoven L.J.A et al. // Cryogenics. 2003. V. 43. № 8. P. 441. https://doi.org/10.1016/S0011-2275(03)00099-7
- Kumar P., Suresh K.G., Nigam A.K., Gutfleisch O. // J. Phys. D. 2008. V. 41. № 24. P. 245006. https://doi.org/10.1088/0022-3727/41/24/245006
- Tripathy S.K., Suresh K.G., Nirmala R. et al. // Solid State Commun. 2005. V. 134. № 5. P. 323. https://doi.org/10.1016/j.ssc.2005.01.047
- Walline R.E., Wallace W.E. // J. Chem. Phys. 1964. V. 41. № 6. P. 1587. https://doi.org/10.1063/1.172612741
- Abrahams S.C., Bernstein J.L., Sherwood R.C. et al. // J. Phys. Chem. Solids. 1964. V. 25. № 10. P. 1069. https://doi.org/10.1016/0022-3697(64)90129-5
- Chzhan V.B., Kurganskaya A.A., Tereshina I.S. et al. // Mater. Chem. Phys. 2021. V. 264. Article No. 124455. https://doi.org/10.1016/j.matchemphys.2021.124455
- Smarzhevskaya A.I., Iwasieczko W., Verbetsky V.N., Nikitin S.A. // Phys. Status Solidi C. 2014. V. 11. № 5–6. P. 1102. https://doi.org/10.1002/pssc.201300728
- Лушников С.А., Терешина И.С., Вербицкий В.Н. // ФТТ. Т. 61. № 1. С. 81.
- Iwasieczko W., Drulis H., Yaropolov Y.L. et al. // J. Alloys Compounds. 2011. V. 509. № 3. P. 827. https://doi.org/10.1016/j.jal.com.2010.10.140
- Yaropolov Y.L., Andreenko A.S., Nikitin S.A. et al. // J. Alloys Compounds. 2011. V. 509. Suppl. 2. P. S830. https://doi.org/10.1016/j.jal.com.2011.01.047
- Tereshina E.A., Khmelevskyi S., Politova G. et al. // Sci. Rep. 2016. V. 6. Article No. 22553. https://doi.org/10.1038/srep22553
- Duc N.H. // Handbook on the Physics and Chemistry of Rare Earths. 1997. V. 24. P. 339.
- Tereshina E.A., Yoshida H., Andreev A.V. et al. // J. Phys. Soc. Japan. 2007. V. 76. Suppl. A. P. 82. https://doi.org/10.1143/JPSJS.76SA.82
- Rana P., Verma U.P. // Int. Scholarly Research Notices. 2014. V. 2014. Article ID 763401. https://doi.org/10.1155/2014/763401
- Tishin A.M., Spichkin Y.I. The Magnetocaloric Effect and Its Applications, Bristol: Inst. of Phys., 2003.
- de Oliveira N.A., von Ranke P.J. // Phys. Rep. 2010. V. 489. № 4–5. P. 89. https://doi.org/10.1016/j.physrep.2009.12.006
- Tereshina I., Politova G., Tereshina E. et al. // J. Phys.: Conf. Ser. 2010. V. 200. № 9. Article No.092012. https://doi.org/10.1088/1742-6596/200/9/092012
- Pankratov Yu., Skourski Y.V., Tristan N.V. et al. // J. Alloys Compounds. 2001. V. 322. P. 42. .https://doi.org/10.1016/S0925-8388(01)01170-7
- Rajivgandhi R., Chelvane J.A., Nigam A.K. et al. // J. Magn. Magn. Mater. 2016. V. 418. P. 9. https://doi.org/10.1016/j.jmmm.2016.02.052
- Bebenin N.G., Zainullina R.I., Ustinov V.V. // J. Appl. Phys. 2012. V. 113. № 7. P. 073907. https://doi.org/10.1063/1.4792306
- Романов А.Ю., Силин В.П.//ФММ. 1997. Т. 83. № 2. С. 111.
Supplementary files






