Effect of Elastic Resonances of Substrate on Ferromagnetic Resonance in Yttrium Iron Garnet Films
- Authors: Vetoshko P.M.1, Vlasov V.S.2, Shavrov V.G.1, Shcheglov V.I.1
-
Affiliations:
- Kotelnikov Institute of Radio Engineering and Electronics, Russian Academy of Sciences
- Pitirim Sorokin State University
- Issue: Vol 68, No 2 (2023)
- Pages: 157-164
- Section: РАДИОФИЗИЧЕСКИЕ ЯВЛЕНИЯ В ТВЕРДОМ ТЕЛЕ И ПЛАЗМЕ
- URL: https://bakhtiniada.ru/0033-8494/article/view/138115
- DOI: https://doi.org/10.31857/S0033849423020146
- EDN: https://elibrary.ru/LCUVXP
- ID: 138115
Cite item
Full Text
Abstract
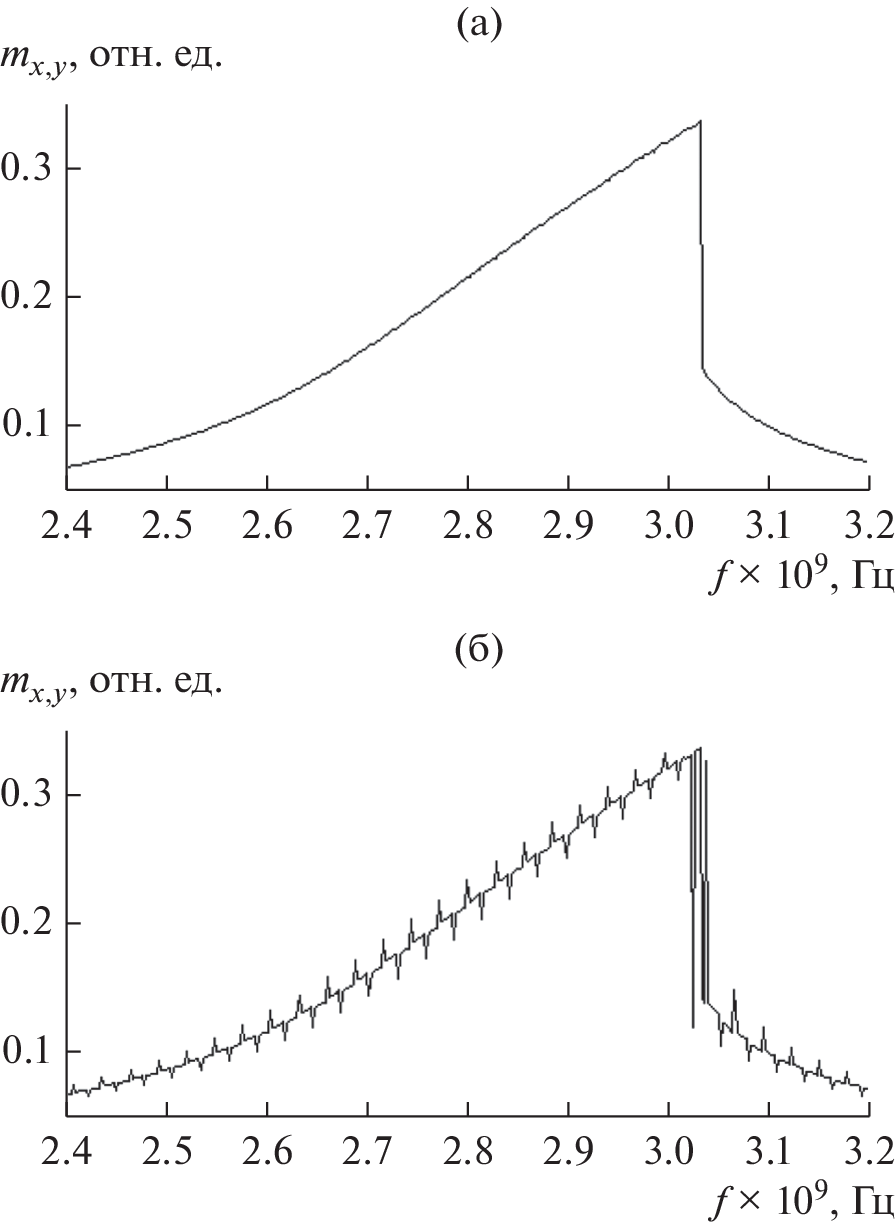
The problem of excitation of ferromagnetic resonance in a thin ferrite film with magnetoelastic properties located on a thick elastic substrate is considered. A model is proposed for the excitation of elastic modes in the substrate due to the propagation of a periodic boundary regime created by magnetic oscillations in the film. The conditions for stationary oscillations are used to obtain the frequency response characteristics of ferromagnetic resonance, which exhibit strong oscillations due to the excitation of high-order elastic modes over the thickness of the substrate.
About the authors
P. M. Vetoshko
Kotelnikov Institute of Radio Engineering and Electronics, Russian Academy of Sciences
Email: vshcheg@cplire.ru
Moscow, 125009 Russia
V. S. Vlasov
Pitirim Sorokin State University
Email: vshcheg@cplire.ru
Syktyvkar, 167001 Russia
V. G. Shavrov
Kotelnikov Institute of Radio Engineering and Electronics, Russian Academy of Sciences
Email: vshcheg@cplire.ru
Moscow, 125009 Russia
V. I. Shcheglov
Kotelnikov Institute of Radio Engineering and Electronics, Russian Academy of Sciences
Author for correspondence.
Email: vshcheg@cplire.ru
Moscow, 125009 Russia
References
- Штраусс В. // Физическая акустика / Под ред. У.П. Мэзона. Т. 4Б. Применения физической акустики в квантовой физике и физике твердого тела. М.: Мир, 1970. С. 247.
- Адам Дж.Д. // ТИИЭР. 1988. Т. 76. № 2. С. 73.
- Исхак В.С. // ТИИЭР. 1988. Т. 76. № 2. С. 86.
- Adam J.D., Davis L.E., Dionne G.F. et al. // IEEE Trans. 2002. V. MTT-50. № 3. P. 721.
- Шавров В.Г., Щеглов В.И. Магнитостатические волны в неоднородных полях. М.: Физматлит, 2016.
- Курушин Е.П., Нефедов Е.И. // Микроэлектроника. 1977. Т. 6. № 6. С. 549.
- Serga A.A., Chumak A.V., Hillebrands B. // J. Phys. D: Appl. Phys. 2010. V. 43. P. 264002.
- Ле-Кроу Р., Комсток Р. // Физическая акустика / Под ред. У.П. Мэзона Т. 3Б. Динамика решетки. М.: Мир, 1968. С. 156.
- Калашникова А.М., Кимель А.В., Писарев Р.В. // Успехи физ. наук. 2015. Т. 185. № 10. С. 1064.
- Chang C.L., Tamming R.R., Broomhall T.J. et al. // Phys. Rev. Appl. 2018. V. 10. № 3. P. 034068.
- Власов В.С., Голов А.В., Котов Л.Н. и др. // Акуст. журн. 2022. Т. 68. № 1. С. 22.
- An K., Litvinenko A.N., Kohno R. et al. // Phys. Rev. B. 2020. V. 101. № 6. P. 060407.
- Кузмичев А.Н., Ветошко П.М., Князев Г.А. и др. // Письма в ЖЭТФ. 2020. Т. 112. № 11-12. С. 749.
- Полулях С.Н., Бержанский В.Н., Семук Е.Ю. и др. // ЖТФ. 2021. Т. 91. № 7. С. 1124.
- Полулях С.Н., Бержанский В.Н., Семук Е.Ю. и др. // ЖЭТФ. 2021. Т. 159. № 2. С. 307.
- Гуляев Ю.В., Зильберман П.Е., Казаков Г.Т. и др. // Письма в ЖЭТФ. 1981. Т. 39. № 9. С. 500.
- Казаков Г.Т., Тихонов В.В., Зильберман П.Е. // ФТТ. 1983. Т. 25. № 8. С. 2307.
- Андреев А.С., Зильберман П.Е., Кравченко В.Б. и др. // Письма в ЖТФ. 1984. Т.10. № 2. С. 90.
- Хивинцев Ю.В., Сахаров В.К., Высоцкий С.Л. и др. // ЖТФ. 2018. Т. 88. № 7. С. 1060.
- Streib S., Keshtgar H., Bauer G.E.W. // Phys. Rev. Lett. 2018. V. 121. № 2. P. 027202.
- Власов В.С., Котов Л.Н., Шавров В.Г., Щеглов В.И. // РЭ. 2009. Т. 54. № 7. С.863.
- Тихонов А.Н., Самарский А.А. Уравнения математической физики. М.: Наука, 1972.
- Двайт Г.Б. Таблицы интегралов и другие математические формулы. М.: Наука, 1973.
- Корн Г., Корн Т. Справочник по математике для научных работников и инженеров. М.: Наука, 1973.
- Гуревич А.Г., Мелков Г.А. Магнитные колебания и волны. М.: Физматлит, 1994.
Supplementary files





