Метод авторегрессионного моделирования речевого сигнала с использованием огибающей периодограммы Шустера в качестве опорного спектрального образца
- Авторы: Савченко В.В.1
-
Учреждения:
- Национальный исследовательский университет “Высшая школа экономики”
- Выпуск: Том 68, № 2 (2023)
- Страницы: 138-145
- Раздел: ТЕОРИЯ И МЕТОДЫ ОБРАБОТКИ СИГНАЛОВ
- URL: https://bakhtiniada.ru/0033-8494/article/view/138112
- DOI: https://doi.org/10.31857/S0033849423020122
- EDN: https://elibrary.ru/LDATIU
- ID: 138112
Цитировать
Полный текст
Аннотация
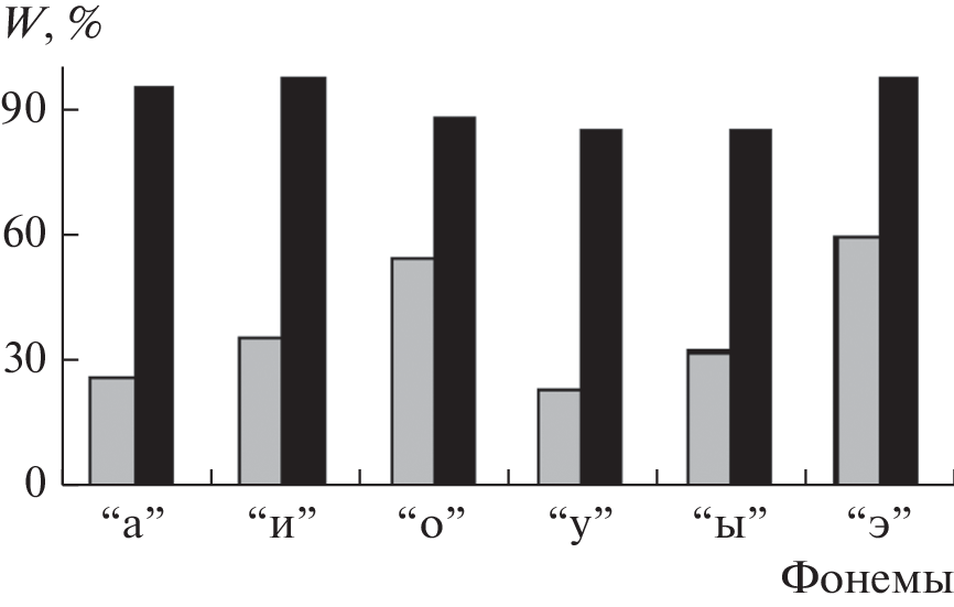
Рассмотрена задача авторегрессионного моделирования речевого сигнала по данным дискретного преобразования Фурье в режиме скользящего окна наблюдений небольшой длительности (миллисекунды). Исследована проблема устойчивости формируемой авторегрессионной модели. Предложено для ее преодоления использовать в качестве опорного спектрального образца огибающую периодограммы Шустера. Разработан новый метод авторегрессионного моделирования, в котором детектирование спектральной огибающей осуществляется с использованием рециркулятора последовательности отсчетов в частотной области. Рассмотрен пример его практической реализации, поставлен и проведен натурный эксперимент. По результатам эксперимента сделаны выводы о достижении существенного выигрыша в отношении не только устойчивости, но и точности авторегрессионной модели речевого сигнала.
Ключевые слова
Об авторах
В. В. Савченко
Национальный исследовательский университет “Высшая школа экономики”
Автор, ответственный за переписку.
Email: vvsavchenko@yandex.ru
Российская Федерация, 603155, Нижний Новгород, ул. Б. Печерская, 25
Список литературы
- Gibson J. // Entropy. 2018. V. 20. № 10. P. 7502018. https://doi.org/10.3390/e20100750
- Gudnason J. Speech Production Modeling and Analysis. Academic Press Library. In Signal Processing, Elsevier. 2014. V. 4. P. 985. https://doi.org/10.1016/B978-0-12-396501-1.00034-0
- Ando Sh. // The J. Acoustical Society of America. 2019. V. 146. P. 2846. https://doi.org/10.1121/1.5136873
- Cui S., Li E., Kang X. // IEEE Int. Conf. Multimedia and Expo (ICME). London. 06–10 Jul. 2020. N.Y.: IEEE, 2020. P. 9102765. https://doi.org/10.1109/ICME46284.2020.9102765
- Savchenko V.V. // Radioelectronics and Communications Systems. 2021. V. 64. № 11. P. 592. https://doi.org/10.3103/S0735272721110030
- Castanié F. Digital Spectral Analysis. Parametric, Non-Parametric and Advanced Methods. Hoboken–London: Wiley-ISTE. 2011. https://doi.org/10.1002/9781118601877
- Rabiner L.R., Shafer R.W. Theory and Applications of Digital Speech Processing. Boston: Pearson, 2010.
- Marple Jr. S.L. Digital Spectral Analysis with Applications. Mineola, N.Y.: Dover Publications, 2019.
- Савченко В.В., Савченко Л.В. // РЭ. 2021. Т. 66. № 11. С. 1100. https://doi.org/10.31857/S0033849421110085
- Kazemipour A., Miran S., Pal P. et al. // IEEE Trans. 2017. V. SP-65. № 9. P. 2333. https://doi.org/10.1109/TSP.2017.2656848
- Гоноровский И.С. Радиотехнические цепи и сигналы. М.: Сов. радио, 1977.
- Mustiere F., Bouchard M., Bolic M. // IEEE Trans. 2012. V. ASLP-20. № 2. P. 705. https://doi.org/10.1109/TASL.2011.2163511
- Savchenko A.V., Savchenko V.V. // Radioelectronics and Communications Systems. 2021. V. 64. № 6. P. 300. https://doi.org/10.3103/S0735272721060030
- Tohyama M. // Acoustic Signals and Hearing. Acad. Press, 2020. P. 89. https://doi.org/10.1016/B978-0-12-816391-7.00013-9
- Савченко А. В., Савченко В. В. // Измерит. техника. 2022. № 6. С. 60. https://doi.org/10.32446/0368-1025it.2022-6-60-66
- Palaparthi A., Titze I.R. // Speech Commun. 2020. V. 123. P. 98. https://doi.org/10.1016/j.specom.2020.07.003
- Ding J., Tarokh V., Yang Y. // IEEE Trans. 2018. V. IT-64. № 6. P. 4024. https://doi.org/10.1109/TIT.2017.2717599
- Min S.Y., Kim Y.K. // J. Korea Academia-industrial Cooperation Society. 2010. № 11. P. 3558. https://doi.org/10.5762/KAIS.2010.11.9.3558
- Савченко В.В. // Научные ведомости Белгород. ГУ. Сер. Экономика. Информатика. 2015. № 7. Вып. 34/1. С. 84.
- Sharma G., Umapathy K., Krishnan S. // Appl. Acoustics. 2020. V. 158. P. 107020. https://doi.org/10.1016/j.apacoust.2019.107020
Дополнительные файлы









