Features of the Sorption Interaction of [3H]Hyaluronic Acid with Hydroxyapatite
- Authors: Badun G.A.1
-
Affiliations:
- Moscow State University
- Issue: Vol 66, No 3 (2024)
- Pages: 284-292
- Section: Articles
- URL: https://bakhtiniada.ru/0033-8311/article/view/288422
- DOI: https://doi.org/10.31857/S0033831124030102
- ID: 288422
Cite item
Full Text
Abstract
[3H]Hyaluronic acid with a molecular weight of 2.37 MDa and a specific radioactivity of 35 GBq/g was obtained using the tritium thermal activation method. Tritium labelled preparations of hyaluronic acid (HA) with a molecular weight of 2.37, 0.20 and 0.10 MDa were used to study their adsorption on hydroxyapatite (HAP) in two textural modifications: aqueous suspension and powder. Differences in adsorption kinetics and adsorption isotherms were observed due to variations in the interaction between polysaccharide molecules and the sorbent forms under consideration. The adsorption isotherms of HA on HAP turned out to be linear. It is shown that strong HA-CAP complexes are formed, and no desorption of HA into water and 0.9% NaCl solution was detected in 2 days.
Keywords
Full Text
Использование биосовместимых компонентов, которые могут проявлять свои полезные свойства в составе современных медицинских препаратов, является важной актуальной задачей. Логично видится поиск сочетания веществ, которые присутствуют в физиологической среде и не будут рассматриваться организмом как чужеродные, но при этом способствовать доставке и дозированному высвобождению лекарственного средства. Одним из перспективных вариантов такого сочетания является комплекс гидроксиапатита и гиалуроновой кислоты. Гидроксиапатит (ГАП) - основной неорганический компонент костной ткани [1–3]. Гиалуроновая кислота (ГК) – полисахарид, играющий важную роль во многих биологических процессах, таких как регуляция клеточной адгезии, пролиферация клеток, их дифференцирование и многие другие [4, 5]. Оба вещества уже используются в медицине [6–8].
Предполагается, что композиционные материалы на основе гидроксиапатита и гиалуроновой кислоты расширят спектр своего применения за счет комплексного действия, в том числе при лечении заболеваний десен и костей, для ускоренного заживления костных дефектов, в лечении артритов и артрозов. Такие композиты могут найти свое место также и в ядерной медицине при создании современных перспективных радиофармпрепаратов (РФП), поскольку гидроксиапатит уже давно рассматривается как потенциальный носитель терапевтических и диагностических радионуклидов [9, 10]. Здесь ГК может выполнять функцию защитного покрытия наночастиц гидроксиапатита для предотвращения преждевременного высвобождения радионуклидов за счет их комплексообразования с компонентами физиологической среды. Для радионуклидов, неспособных связываться с ГАП, но образующих прочные комплексы с ГК, последняя может выполнить роль молекулы-линкера, а ГАП обеспечит доставку и удержание препарата.
Такие органо-минеральные комплексы можно создать как сокристаллизационным, так и сорбционным способом. В работах авторов [11, 12] было показано, что использование раствора ГК как активной среды синтеза ГАП может существенно повлиять на структуру и морфологию формирующихся наночастиц. Однако до сих пор не было получено информации о количестве ГК, связавшейся с ГАП, а также прочности полученного комплекса в водной и физиологической среде. Это связано с тем, что с применением традиционных аналитических методов очень трудно определить содержание гиалуроновой кислоты в изучаемой системе. Решить эту проблему можно, используя метод радиоактивных индикаторов. Для этих целей удобно использовать долгоживущие радионуклиды химических элементов, входящих в состав ГК - тритий или 14C. Введение 14C без химической модификации ГК невозможно или потребует проведения сложного синтеза [13]. Недавно был разработан способ введения трития в гиалуроновую кислоту с помощью метода термической активации в одну стадию путем изотопного замещения водорода на тритий [14]. Было показано, что меченные тритием препараты ГК сохраняют свои свойства, имеют высокую удельную радиоактивность и могут быть использованы в длительных экспериментах без заметной деградации. [3H]ГК была успешно использована для определения условий создания адсорбционных покрытий, образующихся на поверхности наноалмазов и содержащих в своем составе лекарственный препарат мирамистин [15]. Также с помощью [3H]ГК исследовали получение бислойных хитозан/ГК покрытий биологических протезов сердечных клапанов, их устойчивость и антимикробные свойства [16].
В цитированных работах использовали препараты ГК с молекулярной массой от 0.1 до 0.35 МДа. В нашей работе предложено использовать высокомолекулярную ГК (2.37 МДа), так как предполагается, что полисахарид с такой массой в комплексе с ГАП может найти медицинское применение в антираковой терапии [17]. Таким образом, целью данной работы является получение меченной тритием гиалуроновой кислоты со средней молекулярной массой 2.37 МДа и определение особенностей её сорбционного взаимодействия с ГАП, имеющим разную текстуру.
ЭКСПЕРИМЕНТАЛЬНАЯ ЧАСТЬ
В работе использовали ГК в форме натриевых солей производства BLOOMAGE BIOTECHNOLOGY CORP., LTD., (средняя молекулярная масса Mw 2.37 МДа), а также Lifecore (Mw 0.1 и 0.2 МДа). Для введения трития в ГК применили метод термической активации. Использовали условия проведения экспериментов и очистки препаратов, как описано в [14]. На всех этапах работы радиоактивность измеряли на жидкостном сцинтилляционном спектрометре RackBeta 1215 (LKB, Финляндия), внося аликвоты растворов в сцинтилляционную жидкость UltimaGold (PerkinElmer).
В сорбционных экспериментах использовали гидроксиапатит двух типов:
1) водная суспензия ГАП (ГАПс) полученная по стандартной методике [18] с содержанием твердой фазы 7.7 ± 0.5 мас% (по массе). Средний размер частиц ГАПc – 100 × 40 × 10 нм – был определен из данных трансмиссионной электронной микроскопии [18].
2) порошок ГАП (ГАПп), полученный при высушивании суспензии ГАПс до постоянной массы при температуре 800°С и размолотый в фарфоровой ступке до размеров частиц 120–180 мкм.
Для введения трития в ГК (2.37 МДа) готовили водный раствор с концентрацией 1 г/л и проводили очистку от низкомолекулярных компонентов с помощью диализа через мембраны (MWCO 8–10 кДа Float-A-LyzerG2 (Spectra/Por)) против дистиллированной воды в течение 3 недель при 4°C. Очищенный препарат равномерно наносили на внутренние стенки реакционного сосуда, замораживали с помощью жидкого азота, удаляли воду лиофилизацией при комнатной температуре в течение 1 ч. Реакционный сосуд присоединяли к установке для работы с газообразным тритием и вакуумировали до остаточного давления 0.005 Па в течение 1 ч. Затем охлаждали стенки жидким азотом, заполняли систему газообразным тритием до 0.5 Па и активировали реакцию изотопного обмена нагреванием вольфрамовой проволоки электрическим током до температуры 1850 K в течение 10 с.
Меченое вещество смывали со стенок реакционного сосуда 4 мл дистиллированной воды. Для очистки препарата от трития в лабильных положениях молекулы ГК, а также от низкомолекулярных продуктов реакции проводили диализ через мембрану MWCO 810 кДа против дистиллированной воды при температуре 4°C. Периодически заменяли внешний раствор и измеряли его радиоактивность. Для очистки потребовалось проводить диализ в течение 16 сут. В работе также использовали препараты ГК с молекулярной массой 0.10 и 0.20 МДа, полученные по аналогичной методике ранее. Для получения препаратов нужной концентрации меченые препараты смешивали с исходной ГК и хранили при 4°C. Препарат ГАПп перед экспериментом замачивали в воде, для чего к навеске массой 10 мг добавляли 0.1 мл дистиллированной воды и выдерживали 1 сут, периодически перемешивая. ГАПс, использовали в готовом виде.
Для определения кинетики адсорбции добавляли 1 мл раствора [3H]ГК к 0.1 мл суспензии ГАПс или ГАПп, перемешивали встряхиванием и оставляли в стационарном положении, периодически встряхивая. Через определенный промежуток времени проводили разделение фаз центрифугированием в течение 3 мин на центрифуге MiniSpin (Eppendorf) при 3000g. Затем отбирали с помощью автоматического дозатора 50 мкл надосадочной жидкости для определения ее радиоактивности.
Для определения изотермы адсорбции готовили растворы [3H]ГК с требуемой концентрацией (в интервале от 0.1 до 1.0 г/л). Далее эксперимент проводили по схеме, использованной в кинетическом эксперименте. Использовали время выдержки 7 сут для препаратов ГК Mw 2.37 МДа и 1 сут для препаратов ГК Mw 0.2 и 0.1 МДа.
Эксперименты по десорбции [3H]ГК с ГАП-ГК проводили в воде и в 0.9 %-ном растворе NaCl (физиологический раствор, Гематек, Россия). Сначала получали адсорбционный комплекс ГАПс и ГАПп с ГК (2.37 и 0.20 МДа) по схеме, описанной в таблице 1. Затем каждый препарат тщательно перемешивали, разделяли на две равные части с весовым контролем и центрифугировали (3 мин, центрифуга MLWT.51.1, 3000g). Раствор над осадком отбирали, заменяли на дистиллированную воду или физиологический раствор, интенсивно перемешали, а затем выдерживали при комнатной температуре, периодически встряхивая. Через 1, 5, 24 и 48 ч отбирали по 0.3 мл суспензии в пластиковые пробирки с крышкой объемом 1.5 мл, центрифугировали (3 мин при 5000g, центрифуга MiniSpin, Eppendorf) и отбирали аликвоту надосадочной жидкости (50 мкл) для измерения радиоактивности.
Таблица 1. Соотношение компонентов при проведении предварительной сорбции (точность – 1–3%).
Обозначение образца | Образец | Mw полимера, МДа | m(ГК), г | m(H2O), г | m([3H]ГК), г |
1п | порошок | 2.37 | 0.050 | 0.496 | 4.871 |
2п | порошок | 0.20 | 0.050 | 0.495 | 5.077 |
1с | суспензия | 2.37 | 0.511 | – | 5.041 |
2с | суспензия | 0.20 | 0.502 | – | 5.054 |
Все сорбционные эксперименты проводили при комнатной температуре (22 ± 2°C).
РЕЗУЛЬТАТЫ И ИХ ОБСУЖДЕНИЕ
С помощью метода термической активации был получен меченный тритием препарат ГК (Mw 2.37 МДа). Удельная радиоактивность препарата составила Aуд.масс = 35 ГБк/г. Для препаратов ГК с молекулярной массой 0.1–0.35 МДа в аналогичных условиях была получена удельная активность от 43 до 52 ГБк/г [14]. Таким образом в этой работе показано, что удельная массовая радиоактивность ГК мало зависит от среднего количества звеньев в цепи биополимера. Удельная молярная радиоактивность препарата с Mw 2.37 МДа достигает величины Aуд.мол = 82 ПБк/моль, то есть каждая молекула биополимера содержит в среднем 77 атомов трития. Для сорбционных экспериментов меченые препараты разбавляли носителем до удельной радиоактивности от 28 до 333 МБк/г.
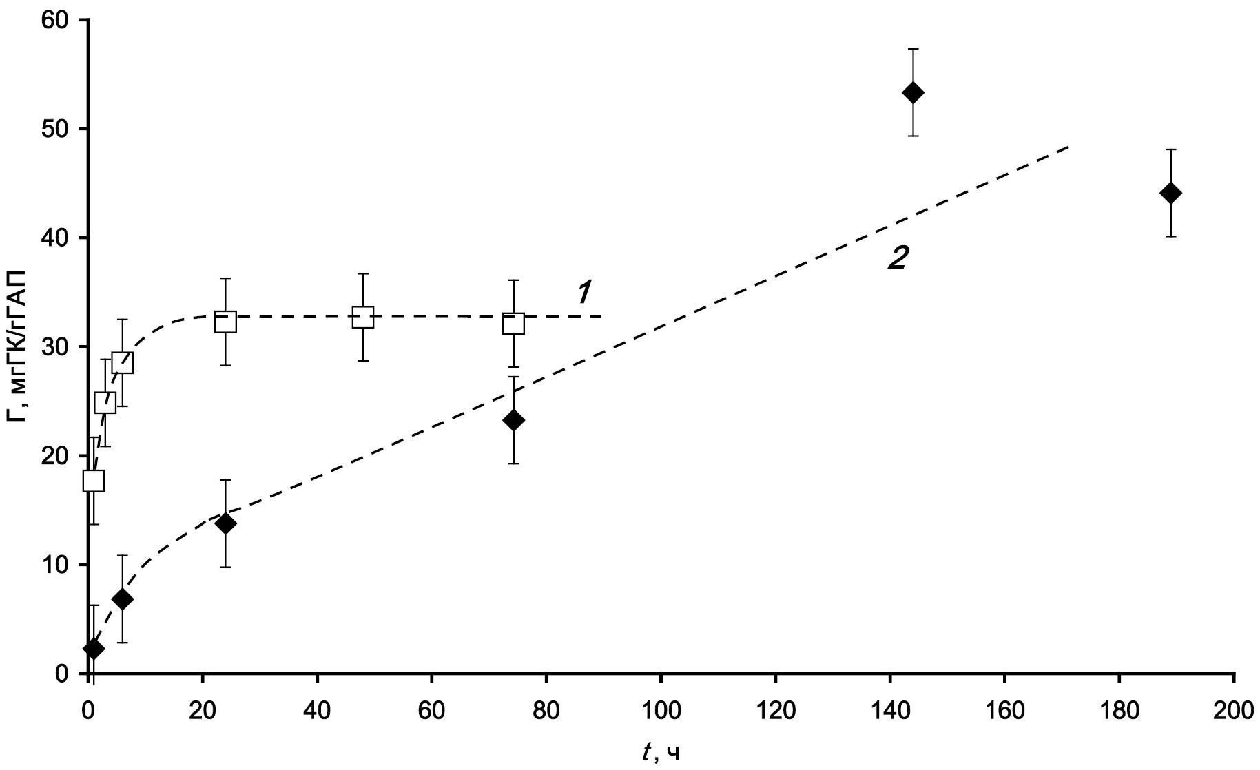
Кинетика адсорбции ГК (2,37 МДа) из растворов с концентрацией 0.98 г/л на ГАПп и ГАПс представлена на рис. 1. При этой концентрации раствор ГК был еще достаточно вязким, и максимальная величина связывания ГК для ГАПп достигалась за 1 сут. Для ГАПс кинетика была гораздо более медленной. Концентрация ГК в растворе переставала существенно меняться через 7 сут. Количество ГК было выше в составе комплекса с ГАПс.
Рис. 1. Кинетические кривые сорбции ГК (2.37 МДа. с = 1 г/л) на ГАПп (1) и ГАПс (2).
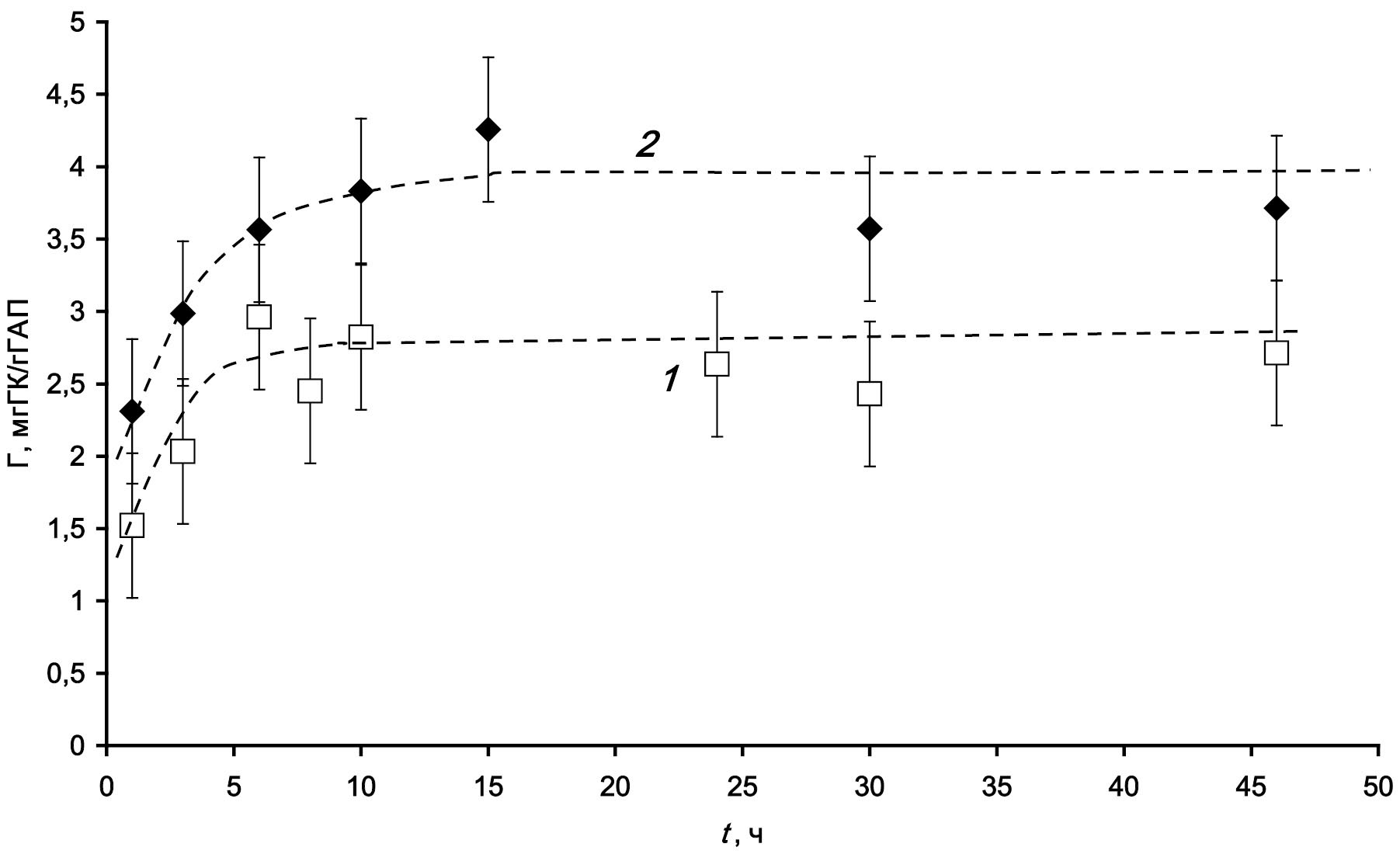
При разбавлении раствора в 10 раз (концентрация 0.1 г/л) вязкость раствора стала намного ниже, и кинетика адсорбции высокомолекулярной ГК существенно изменилась (рис. 2). Для ГАПп равновесие наступало за 10 ч, а ГАПс – за 6 ч. Равновесное содержание ГК в составе комплекса также оказалось выше для ГАПс., хотя различие стало меньше.
Рис. 2. Кинетические кривые сорбции ГК (2.37 МДа. с = 0.1 г/л) на ГАПп (1) и ГАПс (2).
Для ГК (0,20 МДа) вязкость раствора при концентрации 1.0 г/л была низкой и адсорбционное равновесие наступало быстрее для двух препаратов ГАП (рис. 3). Величина максимальной адсорбции оказалась одинаковой для порошка и суспензии, и была меньше, чем для высокомолекулярной ГК.
Рис. 3. Кинетические кривые сорбции ГК (0.20 МДа. с = 1.0 г/л) на ГАПп (1) и ГАПс (2).
Полученные данные по кинетике адсорбции описали с использованием моделей псевдопервого и псевдовторого порядка Лагергена [19, 20]. Модель псевдопервого порядка описывается уравнением – Из графика зависимости ln(–Гe – Г) = f(t) по тангенсу угла наклона прямой определяли константу скорости псевдопервого порядка. В модели псевдовторого порядка – после преобразования к виду из графика зависимости t/Г = f(t) по тангенсу угла наклона определяли Ге, а по точке пересечения оси ординат – константу скорости псевдовторого порядка. Результаты математической обработки представлены в таблице 2.
Таблица 2. Параметры кинетики адсорбции гиалуроновой кислоты с различной молекулярной массой на образцах ГАПп и ГАПс (точность 4–6%).
№ | Сорбент | Mw ГК, МДа | Сгк, г/л | Время выхода на стационар, ч | Модель псевдо-первого порядка | Модель псевдовторого порядка | |||
k 1, ч–1 | R2 | Гe, мг/г | k 2, (мг/г)–1ч-1 | R2 | |||||
1 | ГАПп | 2.37 | 0.98 | 24 | 0.144 | 0.965 | 33.3 | 0.032 | 0.999 |
2 | ГАПс | 2.37 | 0.98 | 168 | 9·10–3 | 0.989 | 58.8 | 3·10–4 | 0.820 |
3 | ГАПп | 2.37 | 0.10 | 10 | 0.044 | 0.763 | 2.7 | 0.335 | 0.994 |
4 | ГАПс | 2.37 | 0.10 | 10 | 0.017 | 0.300 | 3.7 | 0.205 | 0.996 |
5 | ГАПп | 0.20 | 1.00 | 1 | 0.813 | 0.750 | 27.1 | 0.030 | 0.971 |
6 | ГАПс | 0.20 | 1.00 | 7 | 0.309 | 0.965 | 28.3 | 0.040 | 0.989 |
Если в качестве критерия выбора модели использовать коэффициент детерминации, то для растворов ГК (2.37 МДа, с = 0.1 г/л) и ГК (0.20 МДа, с = 1 г/л) адсорбция лучше описывается моделью псевдо-второго порядка. В работах [21, 22] показано, что кинетика сорбционных процессов (в том числе и на фосфатах кальция) часто описываются именно уравнением псевдо-второго порядка. Применимость такой модели не зависит от механизмов, определяющих скорость сорбционного процесса, и не требует привлечения представлений о хемосорбции и специальных уравнений кинетики, лимитируемой химическими реакциями или диффузией. В случае, когда модель псевдовторого порядка выполняется с высоким коэффициентом детерминации, можно предположить, что в адсорбционном слое взаимодействие адсорбат-адсорбат значительно слабее взаимодействия адсорбат-адсорбент.
Тем не менее для раствора ГК (2.37 МДа, с = 0.98 г/л) кинетика адсорбции на ГАПс лучше описывается моделью псевдо-первого порядка. Тогда, вероятно, скорость адсорбции определяется взаимным движением как наночастиц ГАПс, так и структурной реорганизацией молекул ГК в вязком растворе. В этом случае в координатах Г – t1/2 наблюдается линейная зависимость (рис. 4).
Рис. 4. Линеаризация кинетических данных диффузионной моделью при адсорбции ГК 2.37 МДа (1.0 г/л) на ГАПп (1) и ГАПс (2).
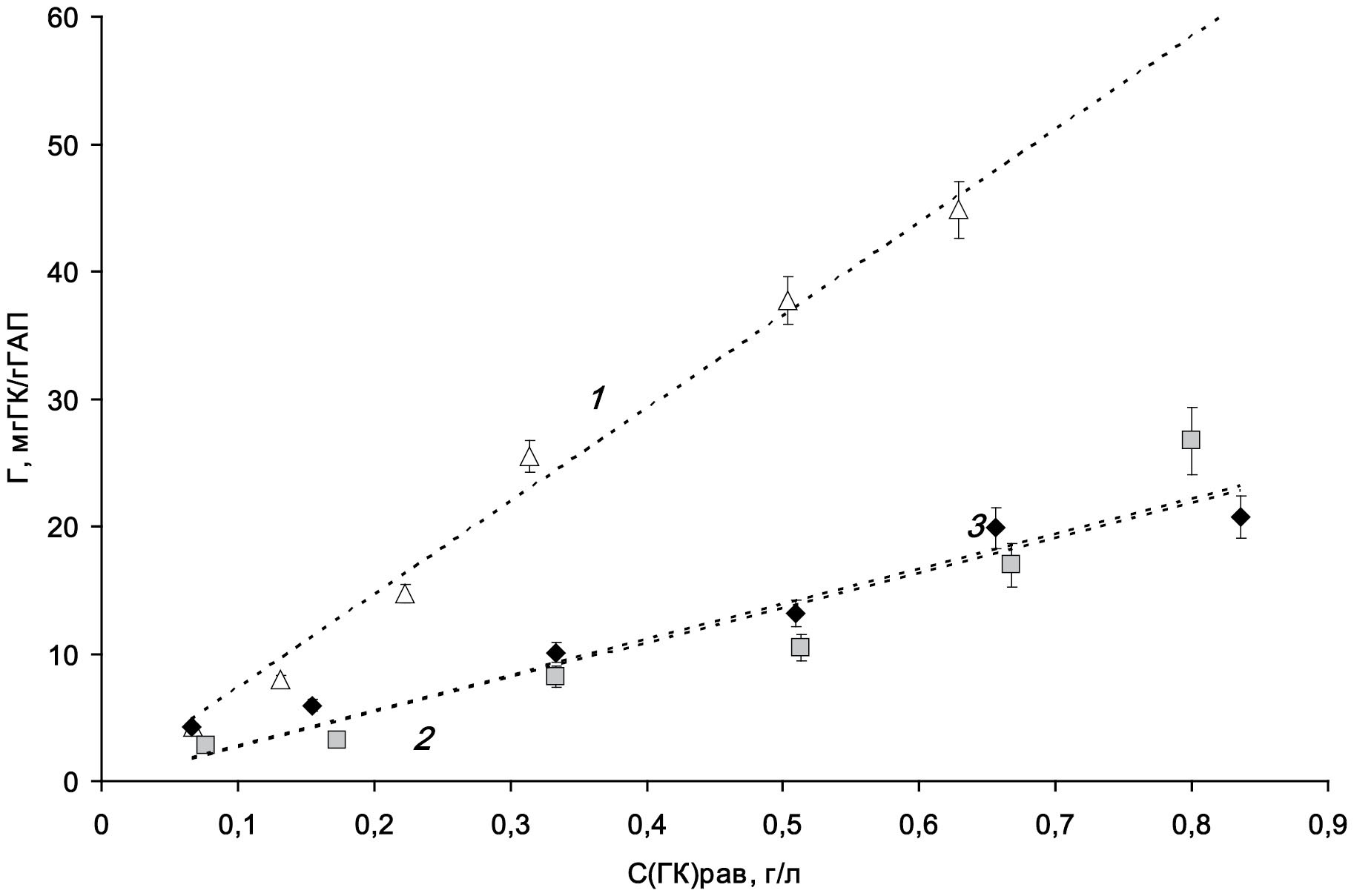
На рис. 5 и 6 представлены изотермы адсорбции ГК на двух типах ГАП. В рассматриваемом диапазоне концентраций ГК (0.1–1.0 г/л) изотермы оказались линейными, то есть могут быть описаны уравнением, аналогичным уравнению Генри. Параметры уравнений адсорбции приведены в таблице 3.
Таблица 3. Параметры экспериментальных изотерм сорбции.
№ | Сорбент | Mw ГК, МДа | Константа Генри, kГ л/г | R2 |
1 | ГАПп | 2.37 | 52.3±5.5 | 0.986 |
2 | ГАПс | 2.37 | 73.0±7.5 | 0.989 |
3 | ГАПп | 0.20 | 37.7±3.8 | 0.953 |
4 | ГАПс | 0.20 | 27.8±2.8 | 0.902 |
5 | ГАПп | 0.10 | 32.0±3.5 | 0.910 |
6 | ГАПс | 0.10 | 27.3±2.7 | 0.924 |
Рис. 5. Изотерма сорбции ГК различной Mw на ГАПп: 1 – 2.37 МДа; 2 – 0.2 МДа; 3 – 0.1 МДа.
Рис. 6. Изотерма сорбции ГК различной Mw на ГАПс: 1 – 2.37 МДа; 2 – 0.2 МДа; 3 – 0.1 МДа.
Адсорбция ГК (2.37 МДа) на двух вариантах ГАП оказалась выше, чем адсорбция ГК с массой 0.1 и 0.2 МДа. Для ГАПп различие составляло примерно в 1.5 раза, а для ГАПс – в 2.6 раза.
Наблюдалось существенное различие в адсорбции ГК (2.37 МДа) на двух типах ГАП: самая высокая константа в адсорбционном уравнении 73 л/г была получена для ГК (2,37 МДа) на ГАПс, а на ГАПп она оказалась на 30% меньше. Для ГК (0.20 МДа) наблюдалась обратная картина: адсорбция была выше дляГАПп на 36%. Для ГК (0.10 МДа) изотермы на двух типах ГАП были одинаковыми в пределах ошибки эксперимента.
Совокупность полученных данных по кинетике и величине адсорбции ГК на двух типах ГАП говорит о сложности процессов, протекающих в рассматриваемой системе. Рассмотрим зависимость констант в уравнении типа Генри от молекулярной массы ГК (рис. 7).
Рис. 7. Зависимость константы Генри в уравнении адсорбции ГК от молекулярной массы для ГАПс и ГАПп.
Для суспензии зависимость близка к функции kГ ~ (Mw)1/3, то есть kГ фактически пропорциональна линейному размеру макромолекул ГК. Для порошка ГАП зависимость kГ от Mw более слабая. Учитывая то, что суспензия ГАП в диспергированном виде представляет собой пластинки размером в десятки нм, процесс образования устойчивого комплекса ГАПс-ГК в растворе высокомолекулярной ГК может протекать медленно, так как требует изменения конформации макромолекул и медленной диффузии агрегатов в вязкой среде. Кроме того, возможен обратный процесс - сорбция нанопластин ГАП на агрегатах макромолекул ГК, что еще больше замедляет процесс. Уменьшение концентрации ГК или ее молекулярной массы ускоряет процесс образования адсорбционного комплекса, и увеличивает число молекул в комплексе пропорционально доступной поверхности сорбента. Как результат адсорбция или удельное содержание ГК в комплексе с ГАПс (mГК/mГАП) будут связаны с молекулярной массой и удельной поверхностью молекул ГК как VГК/SГК ~ (Mw)1/3, что и отразилось в зависимости kГ от Mw.
Для порошка ГАП в растворе ГК Mw 2.37 МДа с концентрацией 1 г/л адсорбция происходит также достаточно медленно, однако в 7 быстрее, чем в случае суспензии, так как не требует структурных перестроек и, кроме того, обратная сорбция микрочастиц порошка невозможна. В этом случае, вероятно, внутренняя поверхность пор недоступна для адсорбции ГК с большой молекулярной массой, однако при снижении молекулярной массы ГК доступность пор для адсорбции возрастает. Следствием этого становится слабая зависимость kГ от Mw. В тоже время сорбция ГК с меньшей молекулярной массой может приводить к усилению процесса агрегации наночастиц ГАП в суспензии. В результате эффективная сорбционная поверхность ГАПс снижается и это приводит во-первых – к уменьшению максимальной сорбции ГК на ГАПс, а во-вторых – к нивелированию различий в сорбции ГК с молекулярной массой 0.2 и 0.1 МДа. Безусловно, для надежного установления механизма адсорбции ГК на ГАП потребуются дополнительные исследования.
Результаты десорбционного эксперимента показали незначительный выход ГК в воду и физиологический раствор за период времени от 1 до 48 ч. Во всех образцах отмечен быстрый выход радиоактивности в раствор, что связано не с десорбцией, а с разбавлением остаточного маточного раствора. Результаты для образцов 1п и 2с (см. табл. 1) показали незначительный избыточный выход ГК (около 4–6% от сорбированного количества ГК) при десорбции в водную среду, для остальных образцов эта величина еще меньше и в среднем не превышает 1%, что говорит о прочном связывании биополимера с сорбентом.
ЗАКЛЮЧЕНИЕ
Обобщая все выше сказанное, отметим, что впервые получена меченная тритием гиалуроновая кислота с Mw 2.37 МДа и удельной радиоактивностью 35 ГБк/г, что позволило выявить особенности поведения высокомолекулярного полимера при контакте с различными типами сорбентов на основе ГАП, в том числе и в сравнении с препаратами ГК с Mw 0.1 и 0.2 МДа. В наших экспериментальных условиях кинетика сорбции ГК на ГАП оказалась диффузионно-контролируемым процессом. При этом время выхода системы на стационарное состояние и величина максимальной сорбции логично уменьшались с уменьшением концентрации ГК и ее молекулярной массы. Показано, что кинетика адсорбции может быть удовлетворительно описана в рамках модели псевдовторого порядка Лагергена. Найдено, что изотермы связывания [3H]ГК с ГАП в диапазоне концентраций от 0.1 до 1 г/л имеют линейный вид и описываются уравнением изотермы типа Генри. При этом с уменьшением молекулярной массы различия между изотермами сорбции на одном типе сорбента нивелируются. Это связано с различием во взаимодействии между молекулами полисахарида и различными текстурами сорбента. Было показано, что в результате контактного взаимодействия образуется очень прочный адсорбционный комплекс ГК-ГАП. Десорбция ГК в воду и физиологический раствор практически не происходит за 2 сут.
Таким образом, результаты нашей работы показывают перспективность использования сорбционного способа создания прочного композита ГАП-ГК, что делает его потенциально доступным для использования, в том числе и для создания новых лекарственных препаратов на их основе.
ФОНДОВАЯ ПОДДЕРЖКА
Работа выполнена в рамках Госзадания № 122012600116-4 «Получение и использование радионуклидов и меченных соединений для целей ядерной медицины, изучения биологически значимых процессов и взаимодействия живых организмов с ионизирующим излучением».
КОНФЛИКТ ИНТЕРЕСОВ
Авторы подтверждают отсутствие конфликтов интересов.
About the authors
G. A. Badun
Moscow State University
Author for correspondence.
Email: badunga@my.msu.ru
Chemical Department
Russian Federation, Moscow, 119991References
- Hench L.L. // J. Am. Ceram. Soc. 1998. Vol. 81. N7. P. 1705.
- Каназава Т. Неорганические фосфатные материалы: Пер. с японского. Киев: Наукова думка, 1998. С. 17–109.
- White T.J., Li Z.D. // Acta Crystallogr., Sect. B. 2003. Vol. 59. P. 1.
- Lippender G., Fehrer S., Reitinger S.V. // Chemistry and biology of hyaluronan / Eds H. Garga, H.G. Hales. Oxford, UK: Elsevier, 2004. 343 p.
- Азбукина Н.В., Астахова А.А., Горияинов С.В., Чистяков В.В., Сергеева М.Г. // Биологические мембраны. 2020. Т. 37. № 2. С. 102 (Azbukina N.V., Astakhova A.A., Goriainov S.V., Chistiakov V.V., Sergeeva M.G. // Biochem. Moscow, Suppl. Ser. A. 2020. Vol. 14. N2. P. 126).
- Хабаров В.Н., Бойков П.Я., Колосов В.А., Иванов П.Л. Гиалуронан в артрологии. Комплексы гиалуроновой кислоты с низкомолекулярными биорегуляторами – новая страница в лечении суставных патологий. М.: Издательство ООО «Тисо принт». 2014. 208 с..
- Suzuki K., Anada T., Miyazaki T. // Acta Biomaterialia. 2014. Vol. 10. P. 531.
- Сарычев В.В. Экспериментальное изучение остеопластических свойств новых гелевых композиций на основе гиалуроновой кислоты для замещения дефектов челюстной кости: Дис. … к.м.н. М., 2005. 149 с.
- Vasiliev A.N., Severin A.V., Lapshina E.V., Chernykh E.A., Ermolaev S.V., Kalmykov S.N. // J. Radioanal. Nucl. Chem. 2017. Vol. 311. N2. P. 1503.
- Kazakov A.G., Severin A.V. // J. Radioanalytical and Nuclear Chem. 2020. Vol. 5. P. 1..
- Северин А.В., Иванов П.Л., Костина Ю.В., Хабаров В.Н., Калмыкова Т.П., Антонов С.В. // Высокомолекулярные соединения. Серия Б. 2016. Т. 58. № 4. С. 314. (переводная версия: Severin A.V., Ivanov P.L., Kostina J.V., Habarov V.N., Kalmykova T.P., Antonov S.V. // Polymer Science, Series B. 2016. Vol. 58. N4. P. 428).
- Калмыкова Т.П., Костина Ю.В., Ильин С.О, Богданова Ю.Г., Северин А.В., Иванов П.Л., Антонов С.В. // Высокомолекулярные соединения. Серия Б. 2020. Т. 62. № 1. С. 68. (переводная версия: Kalmykova T.P., Kostina J.V., Ilyin S.O., Bogdanova J.G., Severin A.V., Ivanov P.L., Antonov S.V. // Polymer Science, Series B. 2020. Vol. 62. N1. P. 61).
- Cozikova D., Laznickova A., Hermannova M., Svanovsky E., Palek L., Buffa R., Sedova P., Koppova R., Petrik M., Smejkalova D., Laznicek M., Velebny V. // J. Pharm. Biomed. Anal. 2010. Vol. 52. N4. P. 517.
- Синолиц А.В., Чернышева М.Г., Бадун Г.А. // Радиохимия. 2021. Т. 63. № 4. С. 395. (переводная версия: Sinolits A.V., Chernysheva M.G., Badun G.A. // Radiochemistry. 2021. Vol. 63. P. 507).
- Chernysheva M.G., Sinolits A.V., Votyakova V.S., Popov A.G., Badun G.A. // Mendeleev Communications. 2022. Vol. 32. P. 501.
- Chaschin I.S., Sinolits M.A., Badun G.A., Chernysheva M.G., Anuchina N.M., Krasheninnikov S.V., Khugaev G.A., Petlenko A.A., Britikov D.V., Zubko A.V., Kurilov A.D., Dreger E.I., Bakuleva N.P. // Int. J. Biol. Macromol. 2022. Vol. 222 (Pt B). P. 2761.
- Delpech B., Girard N., Bertrand P., Courel M.N. // J. Inter. Med. 1997. Vol. 7. P. 41.
- Северин А.В., Панкратов Д.А. // Журнал неорганической химии. 2016. Т. 61. № 3. С. 279. (переводная версия: Severin A.V., Pankratov D.A. // Russian Journal of Inorganic Chemistry. 2016. Vol. 61. N3. P. 265).
- Kaludjerovic-Radoicic T., Raicevic S. // Chem. Engin. J. 2010. Vol. 160. Р. 503.
- Хамизов Р.Х. // Журнал физической химии. 2020. T. 94. № 1. С. 125. (переводная версия: Khamizov R.Kh. // Russ. J. Phys. Chem. A. 2020. Vol. 94. N1. P. 171).
- Guan Y., Cao W., Guan H., Lei X. // Colloids and Surfaces A: Physicochemical and Engineering Aspects. 2018. Vol. 548. P. 85.
- Гопин А.В., Долгова В.К., Северин А.В., Логутенкова Е.А. // Известия Академии наук. Серия химическая. 2023. Т. 72. № 5. С. 1505. (переводная версия: Gopin A.V., Dolgova V.K., Severin A.V., Logutenkova E.A. // Russian Chemical Bulletin. 2023. Vol. 72. N7.P. 1505).
Supplementary files









