Extraction of U(VI), Th(IV), and Lanthanides(III) from Nitric Acid Solutions with Mixtures of Diphenyl-N,N-dioctylcarbamoylmethylphosphine Oxide and Lithium Bis[(trifluoromethyl)sulfonyl]imide
- Authors: Turanov A.N.1, Karandashev V.K.2
-
Affiliations:
- Osipyan Institute of Solid State Physics, Russian Academy of Sciences
- Institute of Microelectronics Technology and High Purity Materials, Russian Academy of Sciences
- Issue: Vol 66, No 5 (2024)
- Pages: 456-460
- Section: Articles
- URL: https://bakhtiniada.ru/0033-8311/article/view/287805
- DOI: https://doi.org/10.31857/S0033831124050051
- ID: 287805
Cite item
Full Text
Abstract
The extraction of U(VI), Th(IV), and lanthanide(III) ions with mixtures of diphenyl-N,N-dioctylcarbamoylmethylphosphine oxide (Ph2Oct2) and lithium bis[(trifluoromethyl)sulfonyl]imide (LiTf2N) in dodecane containing 10% octanol was studied. A synergistic effect was discovered during the extraction of metal ions with such mixtures. When extracting Ln(III) from solutions of 3 mol/l HNO3, the DLn values in the system with Ph2Oct2–LiTf2N are more than three orders of magnitude higher than when extracting with a solution of Ph2Oct2. The stoichiometry of the extracted complexes was determined, and the effect of HNO3 concentration on the extraction of metal ions was studied. It has been established that actinide and lanthanide(III) ions are extracted with a mixture of Ph2Oct2 and LiTf2N from nitric acid solutions via a cation-exchange mechanism.
Full Text
Карбамоилметилфосфиноксиды (КМФО) являются эффективными экстрагентами для извлечения актинидов и лантанидов(III) из азотнокислых растворов и используются в процессах переработки отработанного ядерного топлива [1–4]. Повышение экстракционной способности КМФО достигается при добавке хлорной кислоты или перхлоратов щелочных металлов в водную фазу [5, 6] или в присутствии хлорированного дикарболлида кобальта (ХДК) [7–9]. Значительное увеличение коэффициентов распределения актинидов и лантанидов(III) наблюдается при использовании ионных жидкостей (ИЖ) – гексафторфосфатов или бис[(трифторметил)сульфонил]имидов метилалкилимидазолия [10–14] в качестве растворителя нейтральных экстрагентов, а также при добавке даже небольших количеств ИЖ в органическую фазу [15–18].
Процесс катионообменной экстракции ионов актинидов и Ln(III) нейтральными экстрагентами в присутствии бис[(трифторметил)сульфонил]имидов метилалкилимидазолия (CnmimTf2N) сопровождается переходом катионов Cnmim+ в водную фазу [19], что приводит к загрязнению рафинатов экстракционных систем. Снижению таких загрязнений способствует увеличение длины углеводородного радикала катиона Cnmim+, однако это обычно приводит к значительному снижению эффективности экстракции ионов металлов в системах с ИЖ [14].
Бис[(трифторметил)сульфонил]имид лития (CF3SO2)2NLi (LiTf2N), используемый в качестве прекурсора при синтезе ИЖ, обладает хорошей растворимостью в полярных органических растворителях, таких как н-октанол. Представляет интерес рассмотреть возможность использования LiTf2N как компонента экстракционных систем для извлечения ионов металлов из азотнокислых растворов, что позволило бы исключить присутствие катионов Cnmim+ в экстракционных системах.
В настоящей работе исследована экстракция ионов актинидов и Ln(III) из азотнокислых растворов смесями дифенил-N,N-диоктилкарбамоилметилфосфиноксида Ph2P(O)CH2C(O)NOct2 (Ph2Oct2) и LiTf2N в додекане, содержащем 10% октанола.
ЭКСПЕРИМЕНТАЛЬНАЯ ЧАСТЬ
Дифенил-N,N-диоктилкарбамоилметилфосфиноксид (Ph2Oct2) синтезирован в Институте физиологически активных веществ РАН по известной методике [20]. Бис[(трифторметил)сульфонил]имид лития (Sigma–Aldrich), н-октанол и додекан (Вектон) использовали без дополнительной очистки.
Методика проведения экстракции Ln(III), U(VI) и Th(IV) описана в предыдущих работах [15, 16]. Исходная концентрация каждого из Ln(III), U(VI) и Th(IV) составляла 4·10–6 моль/л, концентрацию азотной кислоты в водной фазе варьировали в интервале 0.1–5.0 моль/л.
Содержание Ln(III), U(VI) и Th(IV) в исходных и равновесных водных растворах определяли методом масс-спектрометрии с ионизацией пробы в индуктивно связанной плазме с использованием масс-спектрометра XSeries 2 (Thermo Scientific, США). Содержание элементов в органической фазе определяли по разнице концентраций в водном растворе до и после экстракции. Коэффициенты распределения элементов (D) рассчитывали как отношение их концентраций в равновесных фазах. Погрешность определения D не превышала 10%.
РЕЗУЛЬТАТЫ И ИХ ОБСУЖДЕНИЕ
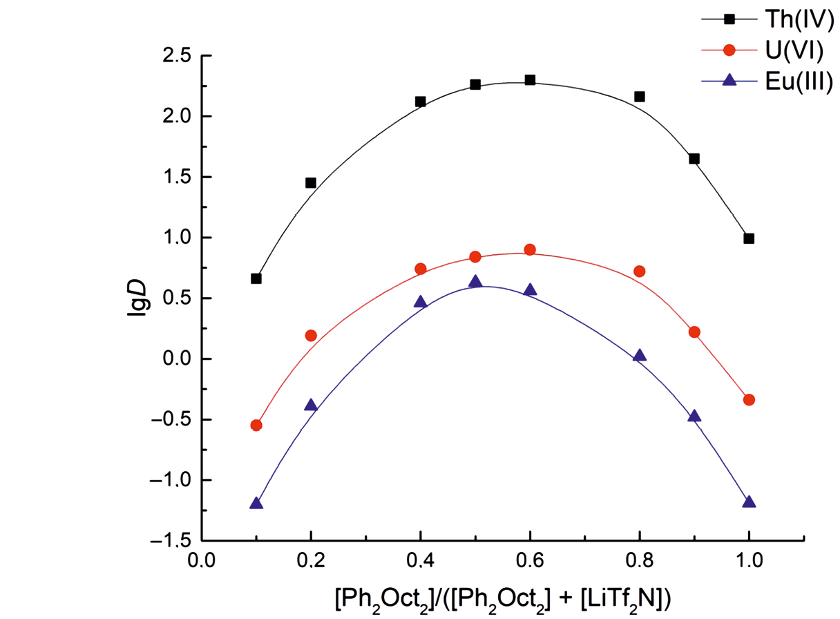
Данные по экстракции Ln(III), U(VI) и Th(IV) из азотнокислых растворов изомолярными смесями Ph2Oct2 и LiTf2N указывают на проявление эффекта синергизма в системе (рис. 1). Наблюдаемый синергетический эффект может быть связан с вхождением гидрофобных анионов Tf2N– в состав экстрагируемых комплексов, приводящим к увеличению их гидрофобности по сравнению с сольватированными нитратами, экстрагируемыми растворами КМФО Ph2Oct2 из азотнокислых растворов.
Рис. 1. Экстракция Th(IV), U(VI) и Eu(III) из растворов 3 моль/л HNO3 изомолярными смесями КМФО Ph2Oct2 и LiTf2N в додекане, содержащем 10% октанола. [Ph2Oct2] + + [LiTf2N] = 0.02 моль/л при экстракции Th(IV) и U(VI) и 0.05 моль/л при экстракции Eu(III).с
При экстракции смесями Ph2Oct2 и LiTf2N в додекане, содержащем 10% октанола, происходит значительное увеличение степени извлечения ионов Ln(III) в органическую фазу (рис. 2, табл. 1S). Величина синергетического эффекта выражается как SC = D/(DL + DLiTf2N) (где DL, DLiTf2N и D – коэффициенты распределения при экстракции индивидуальными КМФО (L), LiTf2N и их смесями соответственно). При экстракции из раствора 3 моль/л HNO3 величина SC возрастает в ряду Ln(III) от 1660 (для La) до 4470 (для Eu), а затем постепенно снижается с увеличением атомного номера Ln(III) и составляет 1860 при экстракции Lu(III).
Рис. 2. Коэффициенты распределения Ln(III) при экстракции из раствора 3 моль/л HNO3 растворами 0.05 моль/л КМФО Ph2Oct2 в додекане, содержащем 10% октанола (2), и в додекане, содержащем 10% октанола, в присутствии 0.05 моль/л LiTf2N (1).
Методом сдвига равновесия определены стехиометрические соотношения Mn+: L в комплексах, экстрагируемых смесями Ph2Oct2 и LiTf2N в додекане, содержащем 10% октанола, из растворов 3 моль/л HNO3. При экстракции Ln(III) и Th(IV) наклон (производная функции) зависимостей lgD–lg[Ph2Oct2] близок к 3 (рис. 3), что соответствует переходу этих ионов в органическую фазу в виде трисольватов. Наклон зависимостей lgDU–lg[Ph2Oct2] составляет 2.52 ± 0.12 (рис. 3), что указывает на экстракцию ионов U(VI) из азотнокислых растворов в виде смеси ди- и трисосольватов.
Рис. 3. Зависимость коэффициентов распределения Th(IV) (1), U(VI) (2), Pr(III) (3), Eu(III) (4), Ho(III) (5) и Lu(III) (6) от концентрации Ph2Oct2 в додекане, содержащем 10% октанола и 0.025 моль/л LiTf2N, при экстракции из раствора 3 моль/л HNO3.
При постоянной концентрации КМФО в органической фазе наклон зависимости lgD–lg[LiTf2N] характеризует число анионов Tf2N–, входящих в состав экстрагируемого комплекса. Для Th(IV) и U(VI) этот наклон составляет 1.96 ± 0.12 и 1.64 ± 0.15 соответственно (рис. 4). Это указывает на то, что в состав экстрагируемого комплекса Th(IV) входят два аниона Tf2N–, а при экстракции U(VI) в органическую фазу переходят комплексы с двумя и одним анионом Tf2N–. При экстракции Ln(III) наклон зависимости lgDLn–lg[LiTf2N] снижается в ряду Ln(III) от 2.64 ± 0.15 для La(III) – Eu(III) до 1.94 ± 0.12 при экстракции Lu(III) (рис. 4). Следовательно, ионы Ln(III) экстрагируются из раствора 3 моль/л HNO3 смесями Ph2Oct2 и LiTf2N в виде комплексов, включающих три и два аниона Tf2N–. Доля комплексов с тремя анионами Tf2N– снижается по мере увеличения атомного номера Ln(III), а ионы Tm(III)–Lu(III) экстрагируются в форме комплексов только с двумя анионами Tf2N–. Учитывая слабую координационную способность ионов Tf2N– [21], можно предположить, что они входят во внешнюю координационную сферу экстрагируемых комплексов.
Рис. 4. Зависимость коэффициентов распределения Th(IV) (1), U(VI) (2), Eu(III) (3), Ho(III) (4), Tm(III) (5) и Lu(III) (6) от концентрации LiTf2N в додекане, содержащем 10% октанола и 0.01 (1), 0.02 (2) и 0.05 (3–6) моль/л Ph2Oct2, при экстракции из раствора 3 моль/л HNO3.
Исследование влияния концентрации HNO3 в равновесной водной фазе на эффективность экстракции ионов металлов растворами смесей Ph2Oct2 и LiTf2N показало, что значения DLn уменьшаются с ростом [HNO3] (рис. 5, табл. S2). Такой характер зависимости D–[HNO3] указывает на катионообменный механизм экстракции ионов металлов растворами смесей Ph2Oct2 и LiTf2N, как и при экстракции этих ионов растворами КМФО в ИЖ CnmimTf2N [14].
Рис. 5. Зависимость коэффициентов распределения Ln(III) от концентрации HNO3 в водной фазе при экстракции растворами смеси 0.025 моль/л КМФО Ph2Oct2 и 0.025 моль/л LiTf2N в додекане, содержащем 10% октанола.
Ранее было показано, что КМФО взаимодействуют с HTf2N, образуя комплексы КМФОH+Tf2N–, способные экстрагировать ионы металлов из азотнокислых растворов [22]. Такие комплексы образуются и при контакте смеси Ph2Oct2 и LiTf2N с раствором HNO3 в результате реакции
H+ (в) + L(о) + LiTf2N(о) ⇆ LH(Tf2N)(о) + Li+ (в). (1)
Соотношение между концентрациями L и LH(Tf2N) в равновесной органической фазе зависит от исходных концентраций Ph2Oct2 и LiTf2N, а также от концентрации HNO3 в водной фазе. При этом увеличение [HNO3] до определенной величины способствует образованию комплекса LH(Tf2N) [уравнение (1)], а затем может приводить к снижению его концентрации в органической фазе вследствие образования комплексов Ph2Oct2 с HNO3 [23].
Учитывая нахождение Ph2Oct2 в органической фазе, содержащей LiTf2N, в различных формах, процесс экстракции ионов Ln(III) из азотнокислых растворов может быть описан уравнением
Ln3+ (в) + (3 – s)NO3–(в) + (3 – s)L(о) + sLHTf2N(о) ⇆
⇆ LnL3(NO3)3–s(Tf2N)s(о) + sH+ (в), (2)
где s – число ионов Tf2N–, входящих в состав экстрагируемого комплекса. Концентрационная константа экстракции выражается как
Kex = DLn[H+]s/([NO3–]3–s[L]3–s[LHTf2N]s), (3)
а зависимость DLn от концентраций компонентов системы – как
DLn = Kex[L]3–s[LHTf2N]s[H+]–s[NO3 –]3–s. (4)
Из уравнения (4) следует, что DLn ~ [HNO3]3–2s. Поскольку величина s уменьшается по мере увеличения атомного номера Ln(III) (рис. 4), DEu ~ [HNO3]–3, а DLu ~ [HNO3]–1 (рис. 5, табл. S2). В результате этого с ростом концентрации HNO3 в водной фазе происходит снижение коэффициента разделения Eu и Lu (βEu/Lu = DEu/DLu) от 78 до 2.2 при увеличении [HNO3] от 0.5 до 5 моль/л (рис. 5, табл. S2).
Следует отметить, что растворы смеси Ph2Oct2 и LiTf2N эффективно экстрагируют ионы Ln(III) из растворов других минеральных кислот. Большинство Ln(III) экстрагируются из раствора HCl более эффективно, чем из раствора HNO3 такой же концентрации (рис. 6, табл. S3). Это связано с тем, что замещение в экстрагируемом комплексе анионов NO3 – на более гидрофобные анионы Tf2N– менее энергетически выгодно, чем замещение ими анионов Cl–. Кроме того, HCl значительно меньше по сравнению с HNO3 соэкстрагируется растворами КМФО [24], что повышает концентрацию свободного экстрагента, участвующего в образовании комплекса LHTf2N. Более высокие значения DLn при экстракции Ln(III) из растворов HNO3 по сравнению с экстракцией из раствора HCl наблюдаются для Tm(III)–Lu(III) (рис. 6, табл. S3). Причиной этого может быть то, что в образовании экстрагируемых комплексов этих Ln(III) участвуют два аниона Tf2N– и один анион NO3 –, а сольватированные нитраты Ln(III) экстрагируются растворами КМФО с более высокими величинами DLn, чем сольватированные хлориды [24].
Рис. 6. Коэффициенты распределения Ln(III) при экстракции из раствора 3 моль/л HNO3 (2) и 3 моль/л HCl (1) растворами смеси 0.025 моль/л КМФО Ph2Oct2 и 0.025 моль/л LiTf2N в додекане, содержащем 10% октанола.
Представленные данные показали, что смеси КМФО Ph2Oct2 и LiTf2N в додекане, содержащем 10% октанола, эффективно экстрагируют ионы актинидов и лантанидов(III) из азотнокислых растворов. При экстракции Ln(III) из растворов 3 моль/л HNO3 значения DLn в системе с Ph2Oct2–LiTf2N более чем на три порядка выше, чем при экстракции раствором Ph2Oct2. В отличие от использования ИЖ в качестве растворителя при экстракции ионов металлов смесями КМФО и LiTf2N исключается переход катионов ИЖ в рафинат экстракционной системы.
ФОНДОВАЯ ПОДДЕРЖКА
Работа выполнена в рамках Государственного задания 2024 г. Института физики твердого тела им. Ю.А. Осипьяна РАН и Института проблем технологии микроэлектроники и особо чистых материалов РАН.
КОНФЛИКТ ИНТЕРЕСОВ
Авторы заявляют об отсутствии конфликта интересов в связи с публикацией данной статьи.
ДОПОЛНИТЕЛЬНЫЕ МАТЕРИАЛЫ К СТАТЬЕ
К статье имеются дополнительные электронные материалы: табл. S1–S3 с экстракционными данными. Дополнительные материалы размещены в электронном виде по ссылке: https://doi.org/10.31857/S0033831124050051
About the authors
A. N. Turanov
Osipyan Institute of Solid State Physics, Russian Academy of Sciences
Author for correspondence.
Email: karan@iptm.ru
Russian Federation, ul. Akademika Osipyana 2, Chernogolovka, Moscow oblast, 142432
V. K. Karandashev
Institute of Microelectronics Technology and High Purity Materials, Russian Academy of Sciences
Email: karan@iptm.ru
Russian Federation, ul. Akademika Osipyana 6, Chernogolovka, Moscow oblast, 142432
References
- Myasoedov B.F., Kalmykov S.N. // Mendeleev Commun. 2015. Vol. 25. N 5. P. 319. https://doi.org/ 10.10016/j.mencom.2015.09.001
- Horwitz E.P., Martin K.A., Diamond H., Kaplan L. // Solvent Extr. Ion Exch. 1986. Vol. 4. N 3. P. 449. https://doi.org/10.1080/07366298608917877
- Чмутова М.К., Литвина М.Н., Прибылова Г.А. Иванова Л.А., Смирнов И.В., Шадрин А.Ю, Мясоедов Б.Ф. // Радиохимия. 1999. Т. 41. № 4. С. 331.
- Аляпышев М.Ю., Бабаин В.А., Устынюк Ю.А. // Успехи химии. 2016. Т. 85. № 9. С. 943–961; Alyapyshev M. Yu., Babain V.A., Ustynyuk Yu.A. // Russ. Chem. Rev. 2016. Vol. 85. N 9. P. 943. https://doi.org/10.1070/RCR4588
- Chmutova M.K., Litvina M.N., Nesterova N.P., Myasoedov B.F., Kabachnik M.I. // Solvent Extr. Ion Exch. 1992. Vol. 10. P. 439.
- Смирнов И.В. // Радиохимия. 2007. Т. 49. № 1. С. 40.
- Rais J., Tachimori S. // J. Radioanal. Nucl. Chem. Lett. 1994. Vol. 188. N 2. P. 157.
- Smirnov V.I., Babain V.A., Shadrin A.Yu., Efremova T.I., Bondarenko N.A., Herbst R.S., Peterman D.R., Todd T.A. // Solvent Extr. Ion Exch. 2005. Vol. 23. N 1. P. 1.
- Makrlik E., Vanura P., Selucky P. // J. Radioanal. Nucl. Chem. 2010. Vol. 283. P. 571.
- Riano S., Foltova S.S., Binnemans K. // RSC Adv. 2020. Vol. 10. P. 307. doi: 10.1039/c9ra08996
- Iqbal M., Waheed K., Rahat S.B., Mehmood T., Lee M.S. // J. Radioanal. Nucl. Chem. 2020. Vol. 325. P. 1. doi: 10.1007/s10967-020-07199-1
- Atanassova M. // J. Mol. Liq. 2021. Vol. 343. ID 117530. https://doi.org/10.1016/j.molliq.2021.117530
- Белова В.В. // Радиохимия. 2021. Т. 63. № 1. С. 3; Belova V.V. // Radiochemistry. 2021. Vol. 63. N 1. Р. 1. https://doi.org/10.1134/S106636222101001X
- Sun T., Zhang Y., Wu Q., Chen J., Xia L., Xu C. // Solvent Extr. Ion Exch. 2017. Vol. 35. P. 408. https://doi.org/10.1080/07366299.2017.1379142
- Туранов А.Н., Карандашев В.К., Яркевич А.Н. // Радиохимия. 2013. Т. 55. № 4. С. 314; Turanov A.N., Karandashev V.K., Yarkevich A.N. // Radiochemistry. 2013. Vol. 55. N 4. P. 382. https://doi.org/10.1134/S1066362213040073
- Turanov A.N., Karandashev V.K., Sharova E.V., Artyushin O.I., Kostikova G.V., Fedoseev A.M. // Radiochim. Acta. 2023. Vol. 111. P. 602.
- Прибылова Г.А., Смирнов И.В., Новиков А.П. // Радиохимия. 2012. Т. 54. № 5. С. 435.
- Pribilova G., Smirnov I., Novikov A. // J. Radioanal. Nucl. Chem. 2012. Vol. 295. P. 83.
- Gaillard C., Boltoeva M., Billard I., Georg S., Mazan V., Ouadi A., Ternova D., Henning C. // ChemPhysChem. 2015. Vol. 16. P. 2653. https://doi.org/ 10.1002/cphc.201500283
- Туранов А.Н., Карандашев В.К., Харитонов А.В., Лежнев А.Н., Сафронова З.В., Яркевич А.Н., Цветков Е.Н. // ЖОХ. 1999. Т. 69. N 7. С. 1109; Turanov A.N., Karandashev V.K., Kharitonov A.N., Lezhnev A.N., Safronova Z.V., Yarkevich A.N. Tsvetkov E.N. // Russ. J. Gen. Chem. 1999. Vol. 69. N 7. P. 1068.
- Binnemans K. // Chem. Rev. 2007. Vol. 107. P. 2593. https://doi.org/ 10.1021/cr050979c
- Туранов А.Н., Карандашев В.К., Костикова Г.В., Федосеев А.М. // Радиохимия. 2023. Т. 65. № 4. С. 310.
- Чмутова М.К., Литвина М.Н., Прибылова Н.П., Нестерова Н.П., Клименко В.Е., Мясоедов Б.Ф. // Радиохимия. 1995. Т. 37. № 5. С. 430.
- Horwitz E.P., Diamond H., Martin K.A., Chiarizia R. // Solvent Extr. Ion Exch. 1987. Vol. 5. P. 419.
Supplementary files








