Анализ причин появления ступеней на изотермах сорбции
- Авторы: Воронина А.В.1
-
Учреждения:
- Уральский федеральный университет имени первого Президента России Б.Н. Ельцина
- Выпуск: Том 66, № 5 (2024)
- Страницы: 409-427
- Раздел: Статьи
- URL: https://bakhtiniada.ru/0033-8311/article/view/287481
- DOI: https://doi.org/10.31857/S0033831124050016
- ID: 287481
Цитировать
Полный текст
Аннотация
Проведен анализ причин появления ступеней с плато различной протяженности на изотермах сорбции на основе экспериментальных и литературных данных. Приведены примеры изотерм ступенчатого вида для иллюстрации каждого типа причин. Показано, что причинами, вызывающими отклонение от линейности изотерм сорбции и появление ступеней, могут выступать: полифункциональность сорбента, присутствие сорбционных центров с достаточно сильно различающейся специфичностью к сорбату; неоднородность сорбата, присутствие инертных сорбируемых форм состояния сорбата; химическое преобразование сорбентов в процессе сорбции с образованием новых фаз, в том числе с участием компонентов раствора; смена механизмов сорбции при условии их последовательной реализации.
Ключевые слова
Полный текст
ВВЕДЕНИЕ
Для оценки сорбционных характеристик материалов получают изотермы адсорбции, путем моделирования которых можно рассчитать сорбционные константы. Чем сложнее исследуемая система (сорбент и сорбат), тем сложнее вид изотермы сорбции. В некоторых случаях экспериментальные изотермы сорбции имеют плато и ступени, их правильная математическая обработка и интерпретация затруднены.
Первые теории адсорбции появились в более 100 лет назад [1] и были предложены для описания адсорбции газов твердым телом: потенциальная теория адсорбции А.Т. Эйкена и М. Полани (1914) [2, 3], теория мономолекулярной адсорбции И. Ленгмюра (1916–1918) [4–6]. В последующем модели адсорбции газов твердым телом нашли применение для описания равновесий в сиcтемах жидкость–твердое, и возможность их использования была подтверждена большим экспериментальным материалом [7].
В литературе можно встретить сотни статей, в которых моделирование процесса сорбции из растворов проводят изотермами Ленгмюра [6], Фрейндиха [8], Темкина [9], БЭТ [10], Редлиха–Петерсона [11], Дубинина–Радушкевича [12] и др. Применяя модели, многие исследователи формально описывают сорбционный процесс, не дают физико-химическое обоснование выбора модели. Так, используя модель полимолекулярной адсорбции, не оценивают возможность протекания процесса полимолекулярной сорбции в условиях проведения эксперимента, свойства сорбата и сорбента. Сорбционные системы сложны. В реальных системах сорбент и сорбат могут быть неоднородны. Проблемы выбора модели для описания сорбционных данных в системе энергетически неоднородный сорбент–химически однородный сорбат описаны в работе [7].
В 1803 г. для описания равновесия в системе газ–жидкость был предложен закон Генри [13]. Закон может быть использован для описания равновесий в идеальных и сильно разбавленных реальных растворах при невысоких давлениях. Выполняется он тем точнее, чем выше разбавление. Свое применение закон Генри нашел также для описания равновесий в системе жидкость–твердое в условиях микроконцентраций сорбата в растворе. Закон Генри может быть выведен из изотермы Ленгмюра (1) для моноэнергетических сорбционных центров сорбента [14].
,(1)
где Ст – равновесная концентрация компонента в сорбенте, мг/г (ммоль/г); Ср – равновесная концентрация компонента в растворе, мг/мл (ммоль/л); Г∞ – статическая обменная емкость сорбента, мг/г (ммоль/г); KL – константа Ленгмюра (параметр сорбционного сродства), мл/мг (л/ммоль).
При малых концентрациях вещества в растворе Ср → 0, KLСр << 1, т.е. KLСр → 0, и уравнение (1) может быть записано как (2):
Cт = Г∞KLСр. (2)
Введя обозначение (3), можно записать уравнение закона Генри как (4):
Г∞KL = Kd, (3)
где Kd – генриевский коэффициент распределения, мл/г;
Cт = KdСр. (4)
Kd можно определить из экспериментальных данных, построив изотерму в координатах lgCт–lgCр (5):
lgCт = lgKd + lgCр. (5)
В работах [15, 16] рассмотрены причины отклонения от закона Генри в оксигидратных сорбционных системах, когда производная эмпирической функции по независимой переменной отклоняется от 1. Автор рассматривает два типа функций lgCт = lgKd + lgCр и lgε = lgKd + lg[m], где ε – распределительное отношение (6):
ε = Kd[m]. (6)
Когда сорбат и сорбент находятся в таком состоянии, при котором еще нет полимолекулярной сорбции, на изотермах сорбции могут наблюдаться отклонения от закона Генри. В качестве причин такого отклонения рассмотрены неоднородность сорбента и сорбата (табл. 1).
Таблица 1. Классификация причин отклонения от изотермы Генри в оксигидратных сорбционных системах [16]
№№ | Вид неоднородности | Параметр неоднородности | Адрес неоднородности | Физическая причина неоднородности | Вид отклонения от линейной изотермы |
1 | Связанная с заполнением сорбента | θ – степень заполнения сорбента | Сорбент и сорбат | Исчерпывание емкости сорбента | dlgCт/dlgСр = var, dlgCт/dlgСр < 1 |
2 | Сорбционная (интенсивная) | a – параметр сродства | Сорбент | Центры разной активности. Распределение центров по активности не зависит от [m]. Возможны химически одинаковые центры | dlgCт/dlgСр = var, dlgCт/dlgСр < 1 |
3 | Химическая (экстенсивная) | [m] – удельное содержание массы сорбента | Сорбент | Химический состав сорбента, зависящий от [m]. Центры разной химической природы | dlgε/dlg[m] ≠ 1. Возможен случай, когда dlgε/dlg[m] = const |
4 | Неоднородность сорбата | a – параметр сродства | Сорбат | Различно сорбирующиеся частицы сорбата | dlgε/dlg[m] = var, dlgε/dlg[m] < 1 |
Отклонение производной эмпирической функции по независимой переменной может служить признаком неоднородности сорбата или сорбента, а выбор координат представления изотерм lgСт–lgCр или lgε–lg[m] согласно работе [16] позволит предположить источник неоднородности и уже более детально исследовать эту причину. Если при обработке экспериментальных результатов использовать размерность переменных и констант, указанную в статье, то можно рассматривать в качестве критерия выполнения закона Генри отличие от 1 углового коэффициента изотерм в билогарифмических координатах lgСт–lgCр или lgε–lg[m].
Сложности возникают при моделировании и описании изотерм сложного вида, особенно изотерм ступенчатого типа. Формальный подход для описания таких изотерм неприемлем. Факторов, вызывающих отклонение от выполнения закона Генри, больше, чем описано в работах [15, 16].
В рекомендациях ИЮПАК приведена классификация изотерм физической адсорбции, согласно которой изотермы сгруппированы в шесть типов [17, 18]. За 30 лет были выявлены различные новые характерные типы изотерм, показана связь типа изотермы с конкретными структурами пор. В связи с этим исходная классификация изотерм физической адсорбции и связанных с ними петель гистерезиса ИЮПАК была обновлена [19]. В классификации ИЮПАК присутствует ступенчатая изотерма, отнесенная к VI типу изотерм. Такой вид изотерм, согласно классификации, характерен для многослойной адсорбции на однородной непористой поверхности с высокой степенью однородности. Высота ступени соответствует емкости каждого адсорбируемого слоя. Однако появления ступеней на изотермах сорбции из растворов может быть не связано с полимолекулярной адсорбцией.
В работе [20] приведены расчетные зависимости для моно- и бифункционального ионита, подчиняющегося закону действующих масс. Показано, что для бифункционального ионита изотермы сорбции приобретают вид S-образных зависимостей. Сравнение расчетных изотерм показало, что чем больше отличаются константы обмена двух центров ионита, тем более выраженным становится горизонтальный участок на изотерме. Положение этого участка характеризует емкость по первому типу групп.
Сорбционный комплекс не является неизменным и может претерпевать целый ряд превращений. Возможны фазовые переходы в процессе сорбции, которые могут сопровождаться резкими скачками на изотермах [20, 21].
Влияние на вид изотерм будет оказывать и механизм сорбции. Процесс сорбции может начинаться как ионный обмен, а завершаться гетерогенной ионообменной реакцией (ГИОР) или электроно-ионообменной реакцией с образованием поверхностных соединений или полным перерождением фазы сорбента в новое соединение, как это происходит на сульфидах [22–24].
Могут наблюдаться более сложные механизмы сорбции: разные механизмы сорбции реализуются последовательно (один процесс переходит в другой) или параллельно. Энергетическую неравноценность последовательных стадий замещения одного противоиона другим не всегда можно рассматривать с позиции полифункционального ионита. Модель ступенчатого обмена в случае параллельных реакций предложена в работе [25], также описана в работе [26].
В более сложных случаях недостаточно использовать для анализа только изотермы сорбции. Для адекватности оценки сорбционного процесса необходимо рассматривать физико-химическую сторону процесса, исследовать механизм сорбции с дополнительным привлечением комплекса физико-химических методов исследования элементного состава, структуры и пористости сорбентов. При моделировании необходимо учитывать, что в сорбенте могут существовать сорбционные центры, на которых реализуются модели разного типа.
Интересными сорбентами для исследования особенностей сорбции в сложных системах являются модифицированные сорбенты на носителях. Такие сорбенты являются полифункциональными, имеющими функциональные группы разной природы, принадлежащие материалу носителя и модифицирующей фазы. Существенное различие в химических и сорбционных свойствам таких материалов приводит к появлению не только единичных плато, но и ступеней с плато разной ширины на изотермах сорбции. При этом получение ступенчатых изотерм не связано с полимолекулярной адсорбцией, а может быть обусловлено целым рядом других причин.
Целью работы являлся обзор и анализ причин появления ступеней c плато различной протяженности на изотермах сорбции на основе экспериментальных и литературных данных.
ЭКСПЕРИМЕНТАЛЬНАЯ ЧАСТЬ
Все представленные в работе изотермы получены на модифицированных сорбентах на носителях, когда сорбционными свойствами к сорбируемому компоненту может обладать как привитая к носителю фаза труднорастворимого соединения, так и сам носитель.
Для получения модифицированных сорбентов в качестве сорбционно-активных носителей использовали клиноптилолит (Кл) Шивертуйского месторождения Читинской области, кварц-глауконитовый концентрат (Гл), полученный из глауконита Каринского месторождения Челябинской области, гидратированный диоксид титана, содержащий 5% ZrO2 (ГДТ) марки “Термоксид-5”. В качестве инертных в сорбционном отношении носителей использовали триацетатцеллюлозу (ТАЦ) и нетканый фильтрующий материал –-полиэтилентерефталат (НТФМ), неспецифический в сорбционном отношении носитель – целлюлозу.
Ферроцианидные сорбенты НКФ-Кл, НКФ-Гл, НКФ-ГДТ получали методом поверхностного модифицирования [27]. Носители после предварительной обработки насыщали никелем из раствора сульфата никеля и обрабатывали раствором K4[Fe(CN)6] в присутствии НСl. Cодержание никеля в фазе сорбентов НКФ-Кл, НКФ-Гл и НКФ-ГДТ составляло соответственно 14.1 ± 0.1, 10.0 ± 0.1 и 12.0 ± 0.5 мг/г сорбента.
Диоксид марганца на основе клиноптилолита получали путем обработки носителя раствором KMnO4 в присутствии Н2SO4 при нагревании до 80°C. Перманганат-ион проявляет окислительные свойства во всем интервале рН [28]. В кислых и нейтральных растворах диоксид марганца образуется по реакции (7):
MnO4– + 4H+ + 3e → MnO2 + 2H2O. (7)
Содержание марганца в cорбенте МД-Кл составляло 13.0 ± 0.2 мг/г сорбента.
Гидроксид титана на основе клиноптилолита, НТФМ и ТАЦ получали методом гомогенного осаждения из раствора TiCl3 при термическом гидролизе мочевины (8):
2TiCl3 + 3NH4NCO + 10H2O + 0.5O2 →
→ 2Ti(ОН)4 + 6NH4Сl + 3CO2. (8)
Фосфат титана на основе НТФМ получали путем модифицирования гидроксида титана ТГ-НТФМ раствором фосфорной кислоты. Содержание титана в сорбентах ТГ-Кл и ТФ-НТФМ составляло 30 ± 5 и 4.0 ± 0.4 мг/г сорбента, фосфатов в ТФ-НТФМ – 1.8 ± 0.7 мг/г.
Изотермы сорбции цезия и стронция получали из водопроводной и морской воды, меченной радионуклидами 137Сs и 90Sr. Состав вод приведен в табл. 2. Концентрации металлов определяли методом масс-спектрометрии на масс-спектрометре NexION 350X (Perkin Elmer, США). Значения рН пресной и морской воды указаны в подписях к соответствующим рисункам.
Таблица 2. Химический состав водопроводной и морской воды
Элемент | Концентрация, мг/л | |
водопроводная вода | морская вода | |
K | 1.2–3.6 | 135 |
Na | 23.4–25.5 | 14400 |
Ca | 14.3–33.1 | 158 |
Mg | 7.2–12.9 | 646 |
Fe | 0.2–1.8 | 4.4 |
Для иллюстрации привлечены литературные данные по изотермам сорбции урана из морской воды, содержащей нитрат уранила, сорбентом ТГ-ТАЦ, а также 207Bi из термальных вод полуострова Челекен тонкослойным сульфидом меди на основе целлюлозы. Содержание сорбирующей фазы на носителе, а также условия проведения экспериментов и состав вод указаны в литературных источниках.
Для объяснения полученных экспериментальных результатов исследовали сорбенты до и после сорбции с применением масс-спектрометрии вторичных ионов, рентгенофазового анализа, дифференциальной калориметрии, сканирующей или просвечивающей электронной микроскопии, рентгеновского микроанализа, ИК спектроскопии, определения удельной поверхности методом низкотемпературной адсорбции азота.
Дифрактограммы образца были получены на рентгеновском дифрактометре Xpert PRO MPD (Panalytical) с широкозонным твердотельным пиксельным детектором в СuKα-излучении с использованием β-фильтра на вторичном пучке. Для расшифровки дифрактограмм использовали базы данных PDF-2 ICDD. Масс-спектрометрию проводили на времяпролетном масс-спектрометре вторично-ионной масс-спектрометрии PHI TRIFT V nanoTOF производства ULVAC-PHI. Электронные снимки получали на сканирующем электронном микроскопе Sigma VP. Пористость сорбентов исследовали на высокоскоростном анализаторе площади поверхности и размеров пор Nova 1200e. ИК спектры получали на ИК–КР спектрометре Vertex-70 с приставкой RAM-II фирмы Bruker. Термическое поведение образцов сорбентов исследовали на калориметре DSC823e/400 (Mettler Toledo).
РЕЗУЛЬТАТЫ И ИХ ОБСУЖДЕНИЕ
Изотермы сорбции строили в координатах lgCт–lgCр. На изотермах простого вида выделяли линейные участки и обрабатывали методом наименьших квадратов, затем обрабатывали моделями Генри, Ленгмюра и Фрейнлиха.
Полученные на модифицированных сорбентах изотермы в большинстве случае имели ступенчатый вид с плато различной ширины. Для обработки изотерм сложного вида применяли следующую последовательность действий: рассчитывали и строили доверительные интервалы к каждой точке изотермы, строили изотерму сорбции в координатах lgCт–lgCр в пределах доверительных интервалов точек, на изотерме выделяли разные участки и проводили моделирование процесса сорбции на каждом участке.
Полученные экспериментальные и литературные данные позволили выявить и систематизировать причины появления ступеней на изотермах сорбции, которые будут обсуждены в следующих разделах статьи. В качестве иллюстрации в работе предложены некоторые примеры изотерм.
Полифункциональность сорбента
Сорбенты могут быть полифункциональными – иметь сорбционные центры разного типа. В этом случае можно рассматривать различие сорбционных центров как по химической природе, так и по сорбционной активности. Сорбционные центры могут быть одинаковой химической природы, при этом иметь близкую или отличающуюся сорбционную активность (специфичность) по отношению к сорбату. Или, наоборот, они могут быть разной химической природы, при этом сорбционная активность центров может быть также как близкой, так и достаточно сильно отличающейся. Рассмотрим описанные ситуации более подробно.
Полифункциональный сорбент, имеющий сорбционные центры с близкой специфичностью к сорбату
Если у полифункционального сорбента сорбционная активность центров (независимо от того, химически однороден или неоднороден сорбент) достаточно близка, то плато и ступени на изотерме сорбции не появятся, а сорбция на такой неоднородной поверхности будет удовлетворительно описываться изотермой Фрейндлиха.
В качестве полифункционального сорбента с сорбционными центрами одинаковой химической природы может быть рассмотрен сорбент ГДТ. По термином “химическая природа” сорбционного центра будем понимать его химический состав. ГДТ обладает тремя типами сорбционных центров: ионами гидроксония Н3О+, парными и концевыми группами ОН [29]. Первичными центрами ионного обмена выступают ионы Н3О+. Ионы гидроксония в структуре гидроксида титана связаны непрочно, поэтому легко вступают в реакцию катионного обмена. В табл. 3 приведены значения рK образцов ГДТ, прокаленных при разной температуре.
Таблица 3. Значения рK ионообменных групп образцов ГДТ, прокаленных при температурах 150–400°C
Ионообменная группа | Вид константы | Величина рKi | Литературный источник |
Н3О+ | рK1 | 6.0–6.7 | [30] |
4.8 ± 0.8 | [29] | ||
Парные группы ОН– | рK2 | 7.3–8.2 | [30] |
Концевые группы ОН– | рK3 | 10.0–10.5 | [30] |
При модифицировании ГДТ в ферроцианидный сорбент НКФ-ГДТ внутренняя часть матрицы ГДТ остается немодифицированной. У сорбента НКФ-ГДТ вследствие модифицирования уменьшается количество групп Н3О+, но сохраняются парные и концевые ОН-группы [31]. Сорбент НКФ-ГДТ также является полифункциональным сорбентом, но с сорбционными центрами разной химической природы. Дополнительным центром обмена кроме ОН-групп будет выступать фаза ферроцианида никеля–калия. Эта фаза обладает высоким сродством к цезию и значительно более низким – к стронцию. Поэтому первичными центрами обмена стронция на НКФ-ГДТ будут оставшиеся после модифицирования в структуре гидроксида титана ионы Н3О+ и ОН-группы. Сорбция стронция сорбентами ГДТ и НКФ-ГДТ в нейтральной области рН при концентрации стронция в растворе <102 мг/л протекает по ионообменному механизму [32]: cтронций сорбируется гидратированным диоксидом титана по уравнению (9):
∕ O-Н ∕ O\
=Тi + Sr2+ + 2Н2O → = Тi Sr + 2Н3O+. (9)
\O-Н \O/
Ионы Sr2+ могут поглощаться ферроцианидной фазой в обмен на находящиеся в структурных пустотах ферроцианидной решетки ионы K+ по уравнению (10), ионы Н3О+, ионы Ni2+ по реакции (11):
K2Ni[Fe(CN)6] + Sr2+ → SrNiFe(CN)6 + 2K+, (10)
K2Ni[Fe(CN)6] + Sr2+ → K4SrNi[Fe(CN)6]2 + Ni2+. (11)
В работе [22] было показано, что часть тяжелого металла M(II) удерживается в ферроцианиде слабее за счет неравноценной связи между атомами M(II) и группой [Fe(CN)6]4– и может быть вытеснена при сорбции.
Сорбентом с сорбционными центрами разной химической природы c близкой специфичностью к сорбату может также выступать диоксид марганца на клиноптилолите МД-Кл. Сорбция стронция протекает как диоксидом марганца в обмен на ионы водорода в ОН-группах, калия и марганца [33], так и сорбционными центрами клиноптилолита – в обмен на водород в силанольных –SiOH и алюминольных –AlOH группах, ионы Сa2+, Mg2+, Na+, K+, расположенные в гидратном окружении в тетраэдрических пустотах алюмосиликатного каркаса.
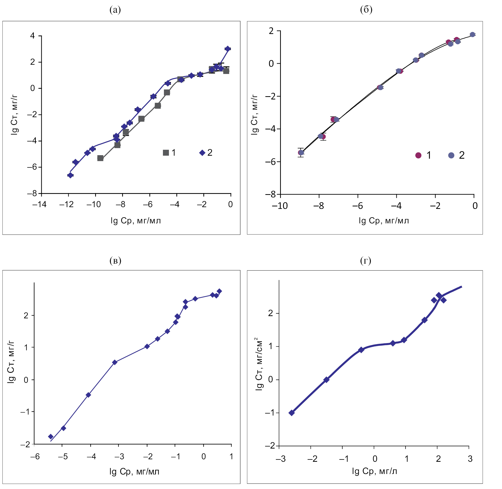
На рис. 1 приведены изотермы сорбции стронция сорбентами ГДТ и НКФ-ГДТ, МД-Кл. Изотермы не имеют каких-то характерных изгибов, линейны в области микроконцентраций стронция. Для количественного описания экспериментальных результатов статики сорбции стронция сорбентами использовали закон Генри, модели Ленгмюра и Фрейндлиха.
Рис. 1. Изотермы сорбции стронция из водопроводной воды, рН 7.8 ± 0.1, время контакта фаз 1 неделя: а – ГДТ (1) и НКФ-ГДТ (2) [32]; б – МД-Кл.
Согласно модели Фрейндлиха, сорбционные центры гетерогенной поверхности обладают разной энергией, и в первую очередь происходит заполнение центров с максимальной энергией. Уравнение изотермы Фрейндлиха имеет вид (12)
Ст =KFСp 1/n, (12)
где KF – константа Фрейндлиха, мл/г; n – параметр.
Изотермы сорбции строили в координатах линейных форм уравнений, обрабатывали их с применением метода наименьших квадратов и определяли количественные характеристики. Константы уравнений Генри, Ленгмюра и Фрейндлиха приведены в табл. 4. Для оценки выполнения закона Генри в табл. 4 приведен угловой коэффициент зависимости lgCт = lgKd + lgCр.
Результаты обработки, представленные в табл. 4, показывают, что на интервале исходных концентраций стронция от 10–5 до 10 мг/л наблюдается прямо пропорциональная зависимость между концентрацией стронция в растворе и сорбенте, выполняется закон Генри. При аппроксимации участков изотерм сорбции стронция сорбентами ГДТ, НКФ-ГДТ, МД-Кл прямолинейными зависимостями коэффициенты корреляции составили соответственно 0.995, 0.998 и 0.997. Поэтому наиболее достоверные значения коэффициентов распределения стронция можно получить из результатов статистической обработки этих участков. Рассчитанные генриевские коэффициенты распределения стронция (Kd) составили соответственно (6.3 ± 0.1) × 102, (1.0 ± 0.1) × 103, (2.0 ± 0.2) × 103 мл/г.
Таблица 4. Константы сорбции Sr(II), найденные из уравнений Генри, Ленгмюра и Фрейндлиха
Сорбент | Закон Генри | Модель Ленгмюра | Модель Фрейндлиха | ||||||
Kd, мл/г | угловой коэффициент | r2 | KL, мл/мг | Г∞, мг/г | r2 | KF, мл/г | n | r2 | |
ГДТ | 6.3 × 102 | 1.02 ± 0.07 | 0.995 | 42 | 114 | 0.924 | 364 | 0.985 | 0.978 |
НКФ-ГДТ | 1.0 × 103 | 0.98 ± 0.04 | 0.999 | 61 | 143 | 0.935 | 284 | 1.126 | 0.994 |
МД-Кл | 2.0 × 103 | 0.95 ± 0.07 | 0.997 | 12 | 140 | 0.941 | 235 | 1.25 | 0.982 |
На всем рассматриваемом интервале концентраций стронция изотермы сорбции более удовлетворительно описываются моделью Фрейндлиха. При этом параметры модели Фрейндлиха n близки к 1. Так как сорбенты имеют сорбционные центры разного типа, вероятно, при сорбции стронция проявляется их энергетическая неоднородность. При этом существенного различия в термодинамической выгоде взаимодействия разных сорбционных центров со стронцием нет.
Очевидно, что для сорбентов, имеющих сорбционные центры с близкой сорбционной активностью, независимо от того, химически они однородны или нет, ступени на изотермах сорбции не появятся. А достаточно хорошая аппроксимация изотерм, полученных в широком интервале концентраций стронция в растворе, моделью Фрейндлиха будет подтверждать гетерогенность центров по отношению к сорбату.
Полифункциональный сорбент, имеющий сорбционные центры с отличающейся специфичностью к сорбату
Сорбционные центры одинаковой химической природы. Примером полифункционального сорбента с сорбционными центрами одинаковой химической природы может выступать сорбент ТГ-ТАЦ. Триацетатцеллюлоза (ТАЦ) – инертный носитель, поэтому сорбционными свойствами обладает только нанесенная на ТАЦ фаза гидроксида титана.
Сорбционные центры гидроксида титана представлены различными формами связанной воды: ионами Н3О+, концевыми и парными группами OH. На рис. 2 представлена изотерма сорбции урана из морской воды сорбентом ТГ-ТАЦ. Изотерма имеет сложный ступенчатый вид.
Рис. 2. Изотерма сорбции урана сорбентом ТГ-ТАЦ из морской воды, рН 8.2 [34].
Уран является сложным лабильным сорбатом. Анионные комплексы урана в морской воде характеризуются лабильным равновесием между формами, что было подтверждено типичным видом зависимости lgε–lg[m]: зависимость линейна в области выполнения закона Генри [34]. Коллоидных форм урана, которые могли бы оказывать влияние на процесс сорбции и вид изотермы сорбции, при рН 8.2 во всем диапазоне изученных концентраций урана не обнаружено. Поэтому поведение урана в морской воде при сорбции ТГ-ТАЦ будет подобно поведению простого сорбата, и ступенчатый вид изотермы связан только с сорбционной неоднородностью сорбента и присутствием в сорбенте центров с разной специфичностью и емкостью по урану. Три ступени с плато на изотерме сорбции свидетельствуют о наличии по крайней мере трех типов сорбционных центров в гидроксиде титана, что согласуется с данными потенциометрического титрования и исследованиями форм связанной воды методом ПМР [34].
При концентрации урана меньше 0.03 мг/л коэффициент распределения урана не зависит от концентрации урана в растворе и равен 0.64×106 мл/г. В области равновесных концентраций урана от 0.03 до 0.1 мг/л наблюдается плато, соответствующее содержание урана в пленке гидроксида титана CТ1∞ = 15.6 мг U/г Ti. При увеличении концентрации урана в растворе существует еще одно плато на изотерме в области концентраций 0.5–1.0 мг/л, и соответствующая емкость сорбционных центров гидроксида титана CТ2∞ = 43.7 мг U/г Ti. Полное насыщение сорбента ТГ-ТАЦ в статических условиях наступает при концентрации урана более 10 мг/л, полная статическая обменная составляет 159 мг U/г Ti.
Первичными центрами ионного обмена у пленочного гидроксида титана в составе ТГ-ТАЦ, также как у гранулированного гидроксида титана ГДТ, являются свободные ионы Н3О+. Заполнение ураном наиболее легко доступных сорбционных центров инициирует развитие сорбционного процесса и на других типах сорбционных центров, представляющих собой более прочно связанные в структуре гидроксида титана формы координированной воды. Этими формами являются концевые гидроксильные группы или ол-группы [34].
Для полифункционального сорбента с центрами разной специфичности по отношению к сорбату не всегда могут быть достаточно четко видны ступени на изотерме сорбции в координатах lgCт–lgCр. Связано это с малым количеством экспериментальных точек на изотерме. В таком случае может наблюдаться отклонение от закона Генри, рассмотренное в работе [16], при условии, что сорбат является простым или сложным лабильным сорбатом. Так, в работе [35] исследована сорбция молибдена гидратированным диоксидом титана марки Т-5. Показано, что с ростом концентрации молибдена более 10–5 моль/л угловой коэффициент изотермы сорбции становится значимо меньше единицы и закон Генри не выполняется. Молибден в растворах азотной и серной кислот представлен лабильными формами, перераспределение между которыми не лимитирует процесс сорбции в статических условиях и не может являться причиной невыполнения закона Генри [36]. Наиболее вероятной причиной отклонения от закона Генри авторами признана неоднородность сорбционных центров сорбента.
Сорбционные центры разной химической природы. Примером сорбентов с сорбционными центрами разной химической природы могут выступать сорбенты НКФ-Кл и ТГ-Кл. На рис. 3 приведены изотермы сорбции цезия и стронция сорбентами НКФ-Кл и Кл, стронция сорбентами ТГ-Кл и ТФ-НТФМ. Изотермы сорбции цезия НКФ-Кл (рис. 3, а), стронция сорбентами ТГ-Кл (рис. 3, в) и ТФ-НТФМ (рис. 3, г) являются ступенчатыми.
Рис. 3. Изотермы сорбции из водопроводной воды, рН = 7.8 ± 0.1: а – цезия сорбентами Кл (1) и НКФ-Кл (2) по данным работы [37]; б – стронция сорбентами Кл (1) и НКФ-Кл (2) по данным работы [38]; в – стронция сорбентом ТГ-Кл [39]; г – стронция ТФ-НТФМ [40].
Сорбент НКФ-Кл проявляет себя по отношению к цезию (но не к стронцию) как полифункциональный сорбент с центрами разной специфичности. Сорбенты ТГ-Кл и ТФ-НТФМ по отношению к стронцию ведут себя как полифункциональные сорбенты с центрами также разной специфичности.
Изотермы сорбции клиноптилолитом линейны на области исходных концентраций цезия в растворе до 10 мг/л (рис. 3, а), стронция – до 5 мг/л (рис. 3, б). При более высокой концентрации на изотермах наблюдается плато, связанное с насыщением сорбента. Изотерма сорбции стронция сорбентом НКФ-Кл имеет вид, идентичный изотерме сорбции клиноптилолитом. Ферроцианидная фаза в составе НКФ-Кл не проявляет сродства к стронцию, поэтому сорбция стронция происходит сорбционными центрами клиноптилолита.
У сорбентов НКФ-Кл и ТГ-Кл на изотермах рис. 3, а, в присутствует по 2 ступени с плато различной протяженности, чего нет на изотерме Кл. В табл. 5 представлены коэффициенты распределения (Kd) цезия и стронция сорбентами в различных концентрационных диапазонах, а также статическая обменная емкость (СОЕ).
Таблица 5. Коэффициенты распределения и статические обменные емкости сорбентов
Сорбат | Сорбент | Количество линейных участков на изотерме | Область исходной концентрации в растворе, мг/л | lgKd [мл/г] | СОЕ, мг/г |
Цезий | Кл | 1 | 10–5–10 | 4.4 ± 0.5 | 21 ± 6 |
НКФ-Кл | 3 | 1 × 10–7–1 × 10–5 | 7.0 ± 1.0 | 500 ± 60 | |
5 × 10–5–1 | 5.7 ± 0.4 | ||||
102–103 | 3.2 ± 0.7 | ||||
Стронций | Кл | 1 | 1 × 10–5–5 | 3.5 ± 0.4 | 59 ± 2 |
НКФ-Кл | 1 | 1 × 10–5–5 | 3.1 ± 0.4 | 137 ± 12 | |
ТГ-Кл | 2 | 10–2–4 | 3.8 ± 0.4 | 550 ± 50 | |
20–5 × 102 | 2.9 ± 0.2 |
Несмотря на присутствие в Кл различающихся по химической природе сорбционных центров [41], при сорбции существенного различия в их сродстве к цезию не проявляется. Изотерма линейна в широкой области концентраций с высоким коэффициентом корреляции. Сорбенты НКФ-Кл и ТГ-Кл химически значительно более неоднородны по сравнению с Кл, так как содержат модифицирующие фазы ферроцианида никеля-калия или гидроксида титана.
При получении сорбента НКФ-Кл условия проведения модифицирования клиноптилолита фазой ферроцианида никеля–калия позволяют прививать модифицирующую фазу локально, не закрывая поверхность алюмосиликата полностью. Процесс поверхностного модифицирования на примере клиноптилолита предположительно может быть описан уравнениями (13)–(15):
2≡Si–O–Н + Ni2+(Н2О)n →
→ (≡SiO–)2Ni(Н2О)n–х + 2H+ + хН2О, (13)
(≡SiO–)2Ni(Н2О)n–х + K4Fe(CN)6 + 2НСl →
≡SiO \
→ K2Ni[Fe(CN)6] + (n – х)Н2О + 2KСl + 2Н+, (14)
≡SiO /
(≡SiO–)2Ni(Н2О)n–х + K4Fe(CN)6 + 2НСl →
≡SiO–Ni\
→ K2Fe(CN)6 + (n – х)Н2О + 2KСl + 2Н+. (15)
≡SiO–Ni/
Образование K2Ni[Fe(CN)6] достоверно подтверждено методом рентгенофазового анализа модифицированного образца НКФ-Кл. На дифрактограмме НКФ-Кл видны рефлексы, характерные для кубической фазы K2NiFe(CN)6, интенсивность пиков невелика. Очевидно, что доля кристаллической фазы K2NiFe(CN)6 мала и ферроцианидная фаза преимущественно является аморфной. На основании результатов просвечивающей микроскопии с локальным микроанализом образцов НКФ-Кл можно сделать вывод, что при модифицировании клиноптилолита происходит образование ферроцианидов никеля–калия различной стехиометрии. Наиболее вероятной фазой из которых является K2Ni2Fe(CN)6. При модифицировании клиноптилолита образуются две или более ферроцианидных фазы, отличающиеся по химическому составу и имеющих разную термическую устойчивость [37].
Методом ИК спектроскопии было показано, что при модифицировании ферроцианидная фаза покрывает поверхность носителей (клиноптилолита, ГДТ) не полностью, есть доступ к сорбционным центрам носителя: силанольным группам клиноптилолита, изолированным и связанным водородными связями [42], ОН-группам гидроксида титана [32].
Поэтому при сорбции цезия поглощение будет происходить как ферроцианидной фазой [уравнения (16), (17)], так сорбционными центрами клиноптилолита [уравнения (18), (19)]. Сродство центров ферроцианидной фазы к цезию и сорбционных центров алюмосиликатов отличается в 20–100 раз. При сорбции цезия сначала заполняются центры с более высокой специфичность, затем – с более низкой.
≡SiO \ ≡SiO \
K2Ni[Fe(CN)6] + Cs+ → Сs2Ni[Fe(CN)6] + 2K+,(16)
≡SiO / ≡ SiO /
≡SiO–Ni \ ≡SiO–Ni \
K2[Fe(CN)6] + Cs+ → Cs2[Fe(CN)6] + 2K+, (17)
≡ SiO–Ni / ≡SiO–Ni /
≡Si–O–Н + Сs+ ↔ ≡Si–O–Cs + Н+, (18)
=Al–O–Н + Сs+ ↔ =Al –O–Cs + Н+. (19)
Таким образом, в условиях, когда присутствующие у полифункционального сорбента сорбционные центры по отношению к сорбируемому компоненту проявляют специфичность, отличающуюся в 20–100 раз, на изотермах сорбции могут появляться ступени с плато. Плато соответствует насыщению сорбционного центра. Пологость плато на изотерме и его протяженность зависит от разницы в коэффициентах распределения, характерных для функциональных групп. Чем больше разница в коэффициентах распределения, тем круче ступень и протяженнее плато.
Полученные экспериментальные результаты несколько отличаются от результатов теоретического моделирования, проведенного для бифункционального ионита в работе [20], где было показано, что при разнице в коэффициентах распределения центров в 10 раз выраженного изгиба на изотерме нет, 100 раз – появляется изгиб и небольшое плато на изотерме, в 10000 раз – ярко выраженное плато. На экспериментальных изотермах ступень с плато отчетливо видна уже при отличии коэффициентов распределения центров в 20 раз, а при отличии в 100 раз – плато у ступени становится протяженным. В работе [43] также показано, что при сорбции стронция гуминовой кислотой реализуемые коэффициенты распределения стронция двумя энергетически неоднородными центрами отличаются в 10 раз, и это уже приводит к появлению перегиба на изотерме.
На изотерме сорбции цезия НКФ-Кл (рис. 3, а) имеется подъем (часть незавершенной ступени) в области высоких концентраций цезия в растворе. Такой подъем отсутствует на изотерме сорбции цезия клиноптилолитом, что обеспечивает модифицированному сорбенту НКФ-Кл более высокую сорбционную емкость по цезию. Аналогичный участок присутствует на изотерме сорбции цезия сорбентом НКФ-Гл и отсутствует на изотерме сорбции цезия кварц-глауконитовым концентратом (см. ниже). Этот участок изотермы не может быть связан с работой сорбционных центров носителей – клиноптилолита и кварц-глауконитового концентрата. Также он не может быть связан с сорбционными центрами ферроцианида никеля–калия, так как ферроцианидная фаза в сорбенте НКФ-Кл составляет 9.0, а в НКФ-Гл – 6.0 мас%, и она не может обеспечивать установленную экспериментально емкость.
На возможность нестехиометрической сорбции и ранее указывали исследователи [21]. Причины появления на изотермах сорбции ступени или части незавершенной ступени в области высоких концентраций компонента в растворе будут обсуждены ниже.
Неоднородность сорбата
Второй причиной появления ступеней на изотермах сорбции может быть неоднородность сорбата. Эта причина была достаточно подробно описана в ряде работ [44–51]. В работе [44] показана возможность применения изотерм сорбции в координатах lgε–lgm для определения числа разносорбирующихся форм микрокомпонента при условии замедленного восстановления межсортового равновесия, нарушаемого внесением сорбента.
Для инертного сорбата, имеющего несколько разносорбирующихся форм состояния, на изотермах сорбции будут появляться ступени. Число ступеней будет соответствовать числу сорбируемых форм. Сначала сорбент извлекает те формы, к которым обладает бóльшим сродством, затем в процесс вовлекаются и менее сорбируемые формы. При этом ступень соответствует исчерпанию данной сорбируемой формы в растворе [44]. Ступенчатая изотерма сорбции микроколичеств иттрия-91 тонкослойным неорганическим сорбентом на основе оксигидрата рутения приведена в работе [45]. Показано, что число разносорбирующихся форм иттрия в растворе не менее трех. Для иттрия такими разносорбирующимися формами являются гидролизованные формы, равновесие между которыми не устанавливается или вообще отсутствует [44].
На рис. 4 приведены изотермы сорбции 207Bi из челекенской воды тонкослойным сульфидом меди на основе целлюлозы в зависимости от рН при введении метки 207Bi из азотнокислого раствора [50]. Способ получения сульфида меди описан в работ [51]. Сложный состав термальных вод полуострова Челекен обусловливает многообразие форм состояния висмута в растворе. Влияние на формирование комплексных форм висмута оказывают не только анионы, но и щелочные катионы, присутствующие в рассоле. По виду изотерм сорбции можно проследить, как меняется состав сорбируемых форм висмута в зависимости от рН раствора. Ступенчатая изотерма сорбции 207Bi при рН 5.45 свидетельствует о присутствии в растворе трех сорбируемых форм висмута.
Рис. 4. Изотермы сорбции 207Bi из термальных вод полуострова Челекен тонкослойным сульфидом меди на основе целлюлозы в зависимости от рН при введении метки 207Bi из азотнокислого раствора [50].
Анализ статики сорбции ионных форм микрокомпонентов катионитом в присутствии коллоидных форм сорбата выполнен в работе [50]. Изменение фазового состава сорбата, возникновение или исчезновение истинного коллоида приводят к резкому скачку на изотерме сорбции в координатах lgε–lg[m] [50, 52, 53].
В работе [54] исследовано влияние форм состояния кобальта в растворах в присутствии гуминовых кислот на вид изотерм сорбции в координатах lgKd–рН [54]. В работе проанализирована модель распределения комплексов Co2+, CoAc+, CoCl+, Co(OH)+, Co(OH)20, Co(OH)3 между раствором и сорбентом в рамках представлений о поверхностном комплексообразовании. Обзор, характеризующий современное состояние исследований в области комплексообразования и сорбционных процессов в системах с ГК, представлен в работе [55].
Химическое преобразование сорбента в процессе сорбции с образованием новых фаз
Причиной появления ступеней на изотермах сорбции может стать химическое преобразование сорбента в процессе сорбции, связанное с протекание гетерогенной ионообменной реакции (ГИОР). В результате такого преобразования сорбент в процессе сорбции может превращаться в химически неоднородный, полифункциональный сорбент.
ГИОР на поверхности сорбента протекает в сторону образования соединений с меньшим произведением растворимости, чем исходный сорбент. Протекание ГИОР на гранулированных ферроцианидах при сорбции ионов металлов из растворов показано Вольхиным В.В. и соавторами [56–58]. Иногда сорбция на неорганических сорбентах протекает с образованием твердых растворов, но возможно и образование новых индивидуальных фаз на внешней или внутренней поверхности сорбента. Так, продукты ГИОР на сульфидах представляют собой смесь индивидуальных сульфидов или твердых растворов [22].
В работе [59] предложены три возможных механизма взаимодействия сорбата с твердым веществом: растворение сорбента и осаждение новой фазы в объеме раствора, растворение сорбента и осаждение новой фазы на поверхности старой фазы (эпитаксиальное осаждение), химическая реакция на границе раздела двух фаз. Эпитаксиальное наращивание на силикагеле исследовали в работе [60]. Алесковский В.Б. показал, что для силикагелей характерна стадия медленного растворения и взаимодействия растворенного кремнезема с ионами раствора (Mg2+, Ca2+, Zn2+ и др.) с образованием труднорастворимых силикатов и их последующем наслоении на сорбент. Вопросы ионного обмена, сопровождающего образованием новых фаз, также рассматривались в работах [21, 61, 62].
Признаком химического преобразования сорбента в процессе сорбции может являться достоверное отличие углового коэффициента изотермы lgCт–lgCр в пределах погрешности определения от 1: угловой коэффициент становится выше 1. Формируемая в процессе сорбции фаза обладает более высоким сродством (более высоким коэффициентом распределения) к сорбируемому компоненту, чем исходный сорбент. При использовании одного и того же сорбента состав и количество формируемой фазы при химическом преобразовании в процессе сорбции будут зависеть от состава раствора, соотношения объема раствора и количества вносимого в раствор сорбента.
Рассмотренная в разделе причина отклонения от закона Генри в какой-то степени согласуется с причиной № 4 в табл. 1, связанной с химическим составом сорбента, зависящим от [m]. При этом автор работы [16] рассматривал неоднородность состава сорбента, связанную с его приготовлением, когда состав сорбента во всем объеме частицы может отличаться, и анализировал зависимости в координатах lgɛ–lg[m]. В контексте данного раздела статьи рассматривается не исходная неоднородность сорбента, появляющаяся при синтезе, а неоднородность сорбента, формируемая в процессе сорбции в результате протекания ГИОР.
Следует отметить, что причиной изменения углового коэффициента изотермы может быть также отсутствие равновесия в системе. Поэтому для обсуждения формы изотермы нужны доказательства равновесности процесса сорбции.
Изотермы сорбции при химическом преобразовании сорбента могут иметь очень резкий изгиб и плато. Примером может служить изотерма сорбции цезия кальциевой формой сорбента НКФ-Кл (рис. 5).
Рис. 5. Изотермы сорбции цезия из водопроводной воды сорбентом НКФ-Кл (кальциевая форма). рН 7.4 ± 0.1, время контакта фаз 1 неделя.
Угловой коэффициент линейного участка изотермы равен 1.3 ± 0.1, тогда как угловой коэффициент изотермы сорбции НКФ-Кл на этой области концентраций цезия равен 0.96 ± 0.07. Протекание ГИОР на кальциевой форме сорбента НКФ-Кл приводит к формированию ступени с изгибом и протяженного плато на изотерме сорбции. Коэффициент распределения цезия сформированной в процессе сорбции фазой составляет 9.7 × 105 мл/г и превышает коэффициент распределения цезия сорбентом НКФ-Кл в этой же области концентраций цезия в растворе – 4.0 × 104 мл/г.
Смена механизма сорбции
Ступень на изотерме сорбции может быть связана со сменой одного механизма поглощения сорбата твердой фазой на другой при условии последовательной реализации различных механизмов сорбции. Ионный обмен на сорбционных центрах может сменяться ГИОР или осаждением новых фаз из компонентов раствора в поровом пространстве сорбента. В общем случае в образовании этих фаз участвуют сорбат, компоненты сорбента, компоненты раствора.
Осаждение новых фаз в поровом пространстве сорбентов с участием компонентов сорбента
Процесс сорбции может начинаться как ионный обмен и удовлетворительно описываться законом Генри в области микроконцентраций сорбата в растворе, но как только происходит превышение произведения растворимости по вновь образующейся фазе в приповерхностном слое сорбента, реакция переходит в ГИОР.
В работе [63] нами исследован механизм поглощения цезия и стронция модифицированным сорбентом НКФ-Кл из растворов с высокой концентрацией сорбата. Показано, что ионный обмен цезия и стронция на сорбенте НКФ-Кл переходит в ГИОР с участием компонентов раствора и химическим преобразованием поверхности. ГИОР протекает не только на внешней поверхности сорбента, но и в поровом пространстве. Химическое преобразование поверхности подтверждено методами электронной микроскопии и определения удельной поверхности материалов.
Любой сорбент обладает какой-то, пусть даже очень низкой, растворимостью и может поставлять ионы в приповерхностный слой сорбента и свое поровое пространство. Количество таких ионов невелико, но при достаточной для создания пересыщения в растворе концентрации сорбата по вновь образующейся фазе возможно образование таких новых фаз на поверхности и в поровом пространстве сорбентов. Количество осажденной фазы будет определяться концентрациями компонентов, принимающих участие в образовании осаждаемой фазы, и особенностями пористости сорбентов. Образование фаз происходит в микропорах и мелких мезопорах сорбентов. В условиях минимального пересыщения такой процесс термодинамически более выгоден, чем образование осадков в объеме раствора. В условиях высоких концентраций сорбата в растворе (более 1 г/л), более высоких степеней пересыщения, недостаточности порового пространства образование фазы возможно на внешней поверхности сорбента.
Выше для сорбента НКФ-Кл было показано, что в области высоких концентраций цезия ≥100 мг/л на изотерме (рис. 3, а) наблюдается ступень, которая не может быть связана с работой сорбционных центров. Интересным является и то, что такая ступень наблюдается при сорбции цезия всеми ферроцианидными сорбентами, полученными методом поверхностного модифицирования сорбционно-активных пористых носителей (гидратированного диоксида титана, клиноптилолитов разных месторождений, глауконита). На рис. 6 представлены изотермы сорбции цезия сорбентами НКФ-ГДТ и НКФ-Гл. Линейные участки изотерм обрабатывали методом наименьших квадратов. Характеристики процесса сорбции цезия сорбентами НКФ-ГДТ, Гл и НКФ-Гл представлены в табл. 6. СОЕ –экспериментально достигнутая статическая обменная емкость.
Таблица 6. Характеристики процесса сорбции цезия сорбентами НКФ-ГДТ, Гл и НКФ-Гл
Сорбент | Номер линейного участка изотермы | Параметры уравнения lgCт = lgKd + аlgCр | Область концентраций, мг/л | Достигнутая на отдельном участке СОЕ, мг/г | Параметр сорбционного сродства KL, мл/мг | |
lgKd ± ΔlgKd | а ± Δа | |||||
НКФ-ГДТ | 1 | 5.6 ± 1.0 | 1.0 ± 0.1 | 2 × 10–7–5 × 10–4 | 0.001 | 2.14 × 108 |
2 | 4.2 ± 0.6 | 0.9 ± 0.1 | 5 × 10–3–5 | 14.6 | 2260 | |
3 | 2.4 ± 0.1 | 0.48 ± 0.08 | 50–500 | 255 | 1.01 | |
Гл | 1 | 3.1 ± 0.6 | 0.8 ± 0.2 | 10–5–1 | 15 | 292 |
НКФ-Гл | 1 | 4.7 ± 0.3 | 0.95 ± 0.02 | 10–7–1 | 11.9 | 1.4 × 104 |
2 | 2.3 ± 0.3 | 0.7 ± 0.3 | 102–103 | 208 | 0.94 | |
Из табл. 6 видно, что реализуемые в области концентраций цезия 50–1000 мг/л коэффициенты распределения цезия для всех сорбентов НКФ-ГДТ, НКФ-Кл, НКФ-Гл совпадают в пределах погрешности. Сорбенты после сорбции цезия исследовали методом рентгенофазового анализа. В составе сорбентов не обнаружено продукта молекулярной сорбции CsCl. Угловой коэффициент линейного участка изотерм в этой области концентраций ниже 1.
Рассчитанные значения достигнутой на отдельном участке СОЕ и параметры сорбционного сродства использовали для построения теоретической изотермы Ленгмюра, используя уравнение Ленгмюра [6] для трех типов сорбционных центров разной энергии и емкости:
Ст =
. (20)
На рис. 6, а представлены экспериментальная изотерма сорбции цезия НКФ-ГДТ и теоретически рассчитанная изотерма сорбции цезия (кривая 2), полученная в предположении о заполнении трех сорбционных центров согласно уравнению Ленгмюра. Из рис. 6 видно, что сорбция цезия на первой и второй ступени удовлетворительно описывается изотермой Ленгмюра при условии последовательного заполнения сорбционных центров. Для третьего типа сорбционных центров закон Генри не выполняется и тангенс угла наклона прямолинейного участка равен 0.48 ± 0.08. Очевидно, что изотерма Ленгмюра не может быть использована для описания сорбции цезия в области концентраций свыше 50 мг/л, и механизм сорбции в этой области отличается от механизмов сорбции цезия при более низких концентрациях.
Рис. 6. Изотермы сорбции цезия из водопроводной воды сорбентами: а – НКФ-ГДТ (1 – экспериментальная кривая, 2 – теоретическая) [64]; б – Гл (1) и НКФ-Гл (2), по данным работы [37]. рН 7.8 ± 0.1, время контакта фаз 1 неделя.
Механизм поглощения цезия сорбентом НКФ-Кл был исследован в работах [63, 65], НКФ-ГДТ – в работах [64, 66]. В области микроконцентраций цезия до 5 × 10–3 мг/л сорбция НКФ-ГДТ предположительно протекает по ионообменному механизму за счет обмена цезия на калий в фазе смешанного ферроцианида никеля-калия по уравнению (21):
≡ТiO–Ni\ ≡ТiO–Ni\
K2[Fe(CN)6] + 2Cs+ → Cs2[Fe(CN)6] + 2K+. (21)
≡ТiO–Ni/ ≡ТiO–Ni/
При концентрациях цезия в растворе 5 × 10-3–50 мг/л цезий сорбируется фазой ферроцианида калия–титанила по уравнению (22):
K2(TiO)[Fe(CN)6] + 2Cs+ →
→ Cs2(TiO)[Fe(CN)6] + 2K+. (22)
В области высоких концентраций цезия в растворе высокая степень замещения калия в структуре смешанных ферроцианидов никеля–калия и калия–титанила приводит к гетерогенной ионообменной реакции и перерождению ферроцианидных фаз, вследствие чего меняются текстура и пористость поверхности.
При концентрации цезия в растворе >50 мг/л поглощение цезия сорбентом НКФ-ГДТ происходит преимущественно за счет осаждения в мезопорах сорбента размером 3.5–5.0 нм труднорастворимого ферроцианида никеля–цезия по реакции (23) или ферроцианидов более сложного состава:
Ni2+ + Fe(CN)6 4– + 2Сs+ → Cs2Ni[Fe(CN)6]. (23)
После синтеза сорбента НКФ-ГДТ методом поверхностного модифицирования в поровом пространстве сорбента остается K4[Fe(CN)6]. Методом ИК спектроскопии подтверждена убыль гексацианоферрат-иона в составе K4[Fe(CN)6] из фазы сорбента и расходование его на образование ферроцианида никеля–цезия при осаждении.
В работе [67] показано, что в кислой среде наблюдается равновесие (24), в результате которого образуется ион H2[Fe(CN)6]2–:
[Fe(CN)6]4– +Н+→ Н[Fe(CN)6]3–;
Н[Fe(CN)6]3– + Н+ → Н2[Fe(CN)6]2–. (24)
При получении поверхностно-модифицированных ферроцианидных сорбентов на основе клиноптилолита в кислой среде клиноптилолит сорбирует ион K2[Fe(CN)6]2–, происходит также молекулярная сорбция K4[Fe(CN)6]. Присутствие молекулярно адсорбированного K4[Fe(CN)6] также подтверждено ИК спектроскопией.
При промывке сорбента в процессе синтеза с внешней поверхности и поверхности макропор молекулярно адсорбированные продукты могут удаляться. Однако в мелких мезопорах и микропорах они остаются и выполняют роль осадителя. При концентрации цезия в растворе ≥100 мг/л происходит осаждение ферроцианидных фаз сложного состава в мелких мезопорах и микропорах НКФ-Кл. ГИОР и осаждение протекают с участием компонентов раствора (натрия, кальция и железа) [63]. Осаждение смешанных ферроцианидных фаз сложного состава, включающих несколько ионов (4 связи ферроцианид-иона могут быть заняты 3–4 различными ионами), более вероятно. Для таких ферроцианидов растворимость ниже, чем для нормальных и смешанных ферроцианидов никеля–калия [67].
Вклад осаждения в суммарную степень извлечения будет зависеть от концентрации сорбата в растворе. При увеличении концентрации сорбата в растворе вклад осаждения будет увеличиваться. Так, при концентрации цезия 100 мг/л вклад осаждения для сорбента НКФ-ГДТ составляет около 10%. При концентрации цезия 1000 мг/л вклад осаждения составит около 95%.
В условиях, когда осаждение новых фаз в поровом пространстве сорбентов вносит основной вклад в сорбцию, на изотерме сорбции в области высоких концентраций сорбата в растворе появляется ступень с плато. Выраженное плато будет свидетельствовать об исчерпании возможности дальнейшего осаждения в порах сорбента. Угловой коэффициент линейного участка ступени будет отличаться от 1. При дальнейшем увеличении концентрации сорбата осадок может образовываться в объеме раствора
Если произведение растворимости по вновь образующейся фазе превышено, но концентрация сорбата недостаточна для образования такого количества фазы, которое 5полностью заполнит микропоры и мелкие мезопоры сорбента, то на изотерме появится только подъем без полки.
Если вклад осаждения мал, то в области высоких концентраций сорбата в растворе отдельный участок на изотерме сорбции не появляется и изотерма может быть удовлетворительно описана в рамках моделей Ленгмюра или Фрейндлиха.
Осаждение новых фаз из компонентов раствора в поровом пространстве сорбента
Сорбент принимает участие в процессе только как пористое тело, образование новой фазы происходит из сорбата и компонентов раствора. В данном случает отсутствует ГИОР.
Образование новых фаз в поровом пространстве сорбентов возможно только из компонентов раствора. При невысокой степени пересыщения раствора образование новых фаз с участием сорбата и компонентов раствора происходит на поверхности и поровом пространстве сорбента. Если концентрация сорбата в растворе такова, что степень пересыщения по формирующейся фазе будет высокой, то фаза образуется в объеме раствора. На изотермах сорбции появляется резкий подьем в области высоких концентраций сорбата.
На рис. 7 приведены изотермы сорбции стронция сорбентами НКФ-Гл и НКФ-Кл из морской воды. В области концентраций стронция 10–5–100 мг/л происходит ионообменное поглощение стронция сорбентами. Выполняется закон Генри и угловой коэффициент изотерм равен 0.96 ± 0.07 и 0.99 ± 0.03. Рассчитанные по результатам математической обработки линейного участка изотермы генриевские коэффициенты распределения составили 56 ± 11 и 350 ± 28. Область на изотерме, выделенная красным овалом, соответствует образованию осадка в объеме раствора.
Рис. 7. Сорбция стронция сорбентами НКФ-Гл (а), НКФ-Кл (б) из морской воды, рН 8.0 ± 0.1.
Можно выделить область концентраций стронция в растворе, при которой происходит увеличение коэффициентов распределения стронция сорбентами НКФ-Гл и НКФ-Кл из морской воды до 1.7 × 103 и 1.4 × 103 мл/г соответственно, а содержания стронция в сорбентах – до 161 и 157 мг/г без образования осадка в объеме раствора. Коэффициенты распределения стронция и содержание стронция в сорбентах НКФ-Кл и НКФ-Гл сопоставимы. Такого увеличения коэффициента распределения не наблюдается для сорбента Кл, а осадок образуется только в растворе.
Для выявления причин увеличения коэффициентов распределения и содержания стронция в сорбентах проводили теоретическое исследование форм состояния стронция в морской воде и возможности образования сульфата и карбоната стронция. Стронций в растворе может быть представлен в виде аква-ионов, гидроксокомплексов, карбонатных, сульфатных, хлоридных и фторидных комплексов. С учетом возможности образования комплексных соединений была построена зависимость форм состояния стронция в морской воде от pH (рис. 8). Для расчета форм состояния стронция использовали значения констант устойчивости комплексных соединений стронция [68]. При построении зависимости не учитывали образование комплексов лигандов с другими химическими элементами, что уменьшает концентрацию лиганда.
Рис. 8. Зависимость форм состояния 90Sr в морской воде от pH.
При pH 8.0 в морской воде содержится 85% стронция в виде сульфатных комплексов и 10% находится в виде ионов, остальная доля приходится на хлоридные комплексы.
На рис. 9 представлены кривые растворимости сульфата и карбоната стронция с учетом комплексообразования и без него. Для расчета использовали значения произведений растворимости, приведенные в справочнике [68]: ПР(SrSO4) = 3.2 × 10–7 и ПР(SrCO3) = 1.1 × 10–10. Концентрации лигандов составляли: сульфат-иона – 0.028, хлорид-иона – 0.545, карбонат-иона – 0.0025, фторид-иона – 0.000053 моль/л.
Рис. 9. Кривые растворимости сульфата стронция (а) и карбоната стронция (б) с учетом комплексообразования (К), образования гидроксокомплексов (Г), суммарно комплексов и гидроксокомплексов (Г+К) и без учета комплексообразования (без КО).
С учетом растворимости был проведен анализ зависимости доли стронция, осажденного в форме сульфата и карбоната стронция, от рН морской воды при различных концентрациях стронция. На рис. 10 приведены зависимости доли осажденного сульфата и карбоната стронция от рН раствора и концентрации стронция в растворе с учетом стронция, участвующего в комплексообразовании.
Рис. 10. Зависимость доли осажденных сульфата и карбоната стронция от рН морской воды и концентрации стронция в растворе: а – естественное содержание стронция в морской воде 0.003 мг/л, б – концентрация стронция 100 мг/л, в – концентрация стронция 1000 мг/л.
Согласно представленным зависимостям, при естественной концентрации стронция в морской воде (3 мг/л) при pH 8.0 образования осадков не наблюдается. При увеличении концентрации стронция в морской воде до 100 мг/л при pH 8.0 возможно осаждение около 80% образующегося сульфата стронция и 100% карбоната стронция. Если концентрацию вносимого стронция увеличить до 1000 мг/л, при pH 8.0 будет осаждаться около 100% сульфата стронция и 100% карбоната стронция.
Таким образом, при концентрации стронция в морской воде ≥100 мг/л возможно осаждение смешанных фаз сульфата и карбоната стронция. Становится очевидным, что участки изотермы сорбции стронция НКФ-Кл и НКФ-Гл в этой области концентраций связаны с осаждением карбонатов и сульфатов стронция согласно кривым растворимости. На изотермах сорбции можно выделить область концентраций стронция, при которой сульфат и карбонат стронция образуются в микропорах сорбентов, а в объеме раствора осадок отсутствует. Такой процесс образования сульфата и карбоната стронция в микропорах нехарактерен для сорбента Кл в связи с отличием его пористости и в 10 раз меньшим объемом микропор. Характеристики пористости сорбентов приведены в табл. 7.
Таблица 7. Характеристики пористости сорбентов
Сорбент | Метод BJH (по десорбции азота) | Метод БЭТ | Метод V-T | ||||
удельная поверхность, м²/г | объем пор, см3/г | диаметр пор, нм | удельная поверхность, м²/г | объем микропор, см3/г | площадь микропор, м²/г | внешняя поверхность, м²/г | |
Кл | 31.8 ± 1.6 | 0.082 ± 0.008 | 3.7 ± 0.4 | 21 ± 1 | (2.0 ± 0.2) × 10–3 | 4.4 ± 0.2 | 16.1 ± 0.8 |
НКФ-Кл | 26.9 ± 1.3 | 0.059 ± 0.006 | 4.0 ± 0.4 | 56 ± 2 | (1.9 ± 0.2) × 10–2 | 37.2 ± 1.9 | 19.0 ± 0.9 |
НКФ-Гл | 9.8 ± 0.5 | 0.040 ± 0.004 | 3.4 ± 0.3 | 40.0 ± 2.0 | (1.0 ± 0.1) × 10–2 | 17.5 ± 1.0 | 22.4 ± 1.0 |
Можно предположить, что резкий подъем и ступень на изотерме сорбции в области высоких концентраций связаны со сменой механизма поглощения стронция: ионный обмен сменяется процессом осаждения смешанных фаз карбоната и сульфата стронция в поровом пространстве сорбентов. В условиях высокой концентрации стронция процесс осаждения приводит к полному заполнению микропор сорбентов и образованию осадка в объеме раствора, что отмечено на изотерме. В общем случае угол наклона участка, соответствующего осаждению в порах сорбента, на изотерме в координатах lgCт–lgCр может быть как выше, так и ниже 1.
ЗАКЛЮЧЕНИЕ
Проанализировав экспериментальные и литературные данные, можно обобщить причины, вызывающие появление ступеней с плато различной протяженности на изотермах сорбции. Такими причинами могут являться:
– полифункциональность сорбента, присутствие сорбционных центров с достаточно сильно различающейся специфичностью к сорбату. Плато на изотермах может быть узкое и протяженное. Чем больше разница в коэффициентах распределения сорбата центрами, тем шире плато на изотерме;
– неоднородность сорбата, присутствие сорбируемых инертных форм состояния сорбата. Каждая из инертных форм сорбируется со своим отличающимся коэффициентом распределения;
– химическое преобразование сорбента в процессе сорбции с образованием новых фаз. При превышении произведений растворимости возможно протекание ГИОР на внешней и внутренней поверхности сорбента с образованием новых фаз, в том числе с участием компонентов раствора;
– смена механизмов сорбции. Последовательная реализация различных механизмов сорбции может приводить к появлению ступеней на изотермах сорбции. Изменение механизма сорбции с ионного обмена и ГИОР на осаждение новых фаз на поверхности и в поровом пространстве сорбента может быть причиной появления ступеней в области высоких концентраций сорбируемого компонента в растворе.
ФИНАНСИРОВАНИЕ РАБОТЫ
Работа выполнена при частичной финансовой поддержке Министерства науки и высшего образования РФ (базовая часть государственного задания, проект № FEUZ-2023-0013).
КОНФЛИКТ ИНТЕРЕСОВ
Автор заявляет об отсутствии конфликта интересов.
Об авторах
А. В. Воронина
Уральский федеральный университет имени первого Президента России Б.Н. Ельцина
Автор, ответственный за переписку.
Email: av.voronina@mail.ru
Россия, 620002, Екатеринбург, ул. Мира, д. 19
Список литературы
- Панарин В.Ю., Баум Е.А., Ланин С.Н. // Сорбционные и хроматографические процессы. 2019. Т. 19. № 3. С. 367–375.
- Eucken A. // Verhandl. Deutsch. Phys. Ges. 1914. Bd 16. S. 345–362.
- Polanyi M. // Verhandl. Deutsch. Phys. Ges. 1914. Bd 16. S. 1012–1016.
- Langmuir I. // J. Am. Chem. Soc. 1916. Vol. 38. Р. 2221–2295.
- Langmuir I. // J. Am. Chem. Soc. 1917. Vol. 39. Р. 1848–1906.
- Langmuir I. // J. Am. Chem. Soc. 1918. Vol. 40. Р. 1361–1403.
- Поляков Е.В. // Радиохимия. 2018. Т. 60. № 2. С. 159–166.
- Freundlich H.M.F. // J. Phys. Chem. 1906. Vol. 57. Р. 385–471.
- Темкин М.И. // ЖФХ. 1941. Т. 15. C. 296–332.
- Brunauer S., Emmett P.H., Teller E. // J. Am. Chem. Soc. 1938. Vol. 60. Р. 309–319.
- Redlich O., Peterson D.L. // J. Phys. Chem. 1959. Vol. 63. Р. 1024–1026.
- Dubinin M.M., Radushkevich L.V. // Proc. Acad. Sci. USSR. Phys. Chem. Sect. 1947. Vol. 55. Р. 331–333.
- Henry W. // Phil. Trans. R. Soc. Lond. 1803. Vol. 93. Р. 29–274.
- Воронина А.В., Бетенеков Н.Д., Недобух Т.А. Прикладная радиоэкология: учебное пособие. Екатеринбург: УГТУ-УПИ, 2010. Изд. 2-е, перераб. 224 с.
- Егоров Ю.В. Статика сорбции микрокомпонентов оксигидратами. М.: Атомиздат, 1975. C. 250.
- Егоров Ю.В. // Соосаждение и адсорбция радиоактивных элементов. М.; Л.: Наука, 1965. С. 113–117.
- Sing K.S.W., Everett D.H., Haul R.A.W., Moscou L., Pierotti R.A., Rouquerol J. and Siemieniewska T. // Pure Appl. Chem. 1985. Vol. 57. N 4. Р. 603–619.
- Sing K.S.W. // Pure Appl. Chem. 1982. Vol. 54. N 11. Р. 2201–2218.
- Thommes M., Kaneko K., Neimark A., Olivier J.P., Rodriguez-Reinoso F., Rouquerol J., Sing K.S.W. // Pure Appl. Chem. 2015. Vol. 87. N 9–10. Р. 1051–1069.
- Иониты в химической технологии / Под ред. Б.П. Никольского, П.Г. Романкова. Л.: Химия, 1982. 416 с.
- Белинская Ф.А., Милицина Э.А. // Успехи химии. 1980. Т. 59. Вып. 10. С. 1904–1936.
- Вольхин В.В., Егоров Ю.В., Белинская Ф.А., Бойчинова Е.С., Малофеева Г.И. // Неорганические сорбенты. Ионный обмен: Сб. работ / Под ред. М.М. Сенявина. М.: Наука, 1981. С. 25–44.
- Марков В.Ф., Маскаева Л.Н., Иванов П.Н. Гидрохимическое осаждение пленок сульфидов металлов: моделирование и эксперимент. Екатеринбург: УрО РАН, 2006. 217 с.
- Вольхин В.В., Львович Б.И. // Химия и технология неорганических сорбентов: Межвуз. сб. науч. тр. Пермь, 1976. С. 68–73.
- Белинская Ф.А. // Ионный обмен и ионометрия / Под ред. Б.П. Никольского. Л., 1988. Вып. 6. С. 17–42.
- Белинская Ф.А. // Академик Б.П. Никольский. Жизнь. Труды. Школа / Под ред. А.А. Белюстина, Ф.А. Белинской. СПб.: Изд-во СПб. ун-та, 2000. С. 179–195.
- Воронина А.В., Ноговицына Е.В., Семенищев В.С., Блинова М.О. Патент RU 2746194. 2021. // Б.И. 2021. № 2.
- Рыженьков А.П. Тонкослойные оксидномарганцевые покрытия: Дис. … к.х.н. Свердловск, 1981. 147 с.
- Денисова Т.А. Состояние протонсодержащих групп в сорбентах на основе оксигидратных, гетерополиметаллатных и цианоферратных фаз: Автореф. дис. … д.х.н. Екатеринбург: ИХТТ Уро РАН, 2009. 46 с.
- Перехожева Т.Н., Шарыгин Л.М., Малых Т.Г. // Радиохимия. 1982. T. 24. № 3. С. 295–298.
- Воронина А.В., Семенищев В.С. // Радиохимия. 2013. Т. 55. № 1. С. 61–64.
- Voronina A.V., Semenishchev V.S. // J. Radioanal. Nucl. Chem. 2016. Vol. 307. N 1. Р. 577–590.
- Егоров Ю.В., Любимов А.С. // Радиохимия. 1969. Т. 11. № 2. С. 215–221.
- Бетенеков Н.Д., Василевский В.А., Недобух Т.А., Егоров Ю.В. // Радиохимия. 1984. Т. 26. № 4. С. 432–439.
- Денисов Е.И., Бетенеков Н.Д. // Радиохимия. 2018. Т. 60. № 4. С. 332–339.
- Денисов Е.И., Бетенеков Н.Д., Шарыгин Л.М. // Радиохимия. 2016. Т. 58. № 1. С. 59–66.
- Воронина А.В., Блинова М.О., Куляева И.О., Санин П.Ю., Семенищев В.С., Афонин Ю.Д. // Радиохимия. 2015. Т. 57. № 5. С. 446–452.
- Blinova M.O., Glazunova Y.V., Voronina A.V. // AIP Conf. Proc. 2019. Vol. 2174. ID 020010.
- Voronina A.V. // Radiochemistry. 1995. Vol. 37. N 6. P. 538.
- Воронина А.В. Синтез, исследование свойств и определение областей применения тонкослойных неорганических сорбентов на основе нетканых фильтрующих материалов: Дис. … к.х.н. Екатеринбург, 1995. 137 с.
- Попов В.Е., Ильичева Н.С., Степина И.А., Маслова К.М. // Радиохимия. 2011. Т. 53. № 1. С. 86–90.
- Voronina A.V., Gorbunova T.V., Semenishchev V.S. // J. Radioanal. Nucl. Chem. 2017. Vol. 312. N 2. P. 241–254.
- Волков И.В., Поляков Е.В., Денисов Е.И., Иошин А.А. // Радиохимия. 2017. Т. 59. № 1. С. 63–70.
- Бетенеков Н.Д., Губанова А.Н., Егоров Ю.В., Попов В.И., Пузако В.Д., Черемухин Ю.Г., Царев Б.А. // Радиохимия. 1976. Т. 8. № 4. С. 622–627.
- Бетенеков Н.Д., Егоров Ю.В., Пузако В.Д., Лисиенко Д.Г. // Радиохимия. 1971. Т. 13. № 6. С. 821–836.
- Бетенеков Н.Д., Пузако В.Д., Егоров Ю.В. // Радиохимия. 1971. Т. 13. № 5. С. 755–757.
- Бетенеков Н.Д., Пузако В.Д., Егоров Ю.В. // Радиохимия. 1971. Т. 13. № 6. С. 925–926.
- Бетенеков Н.Д., Егоров Ю.В., Пузако В.Д. // Радиохимия. 1974. Т. 16. № 1. С. 20–26.
- Бетенеков Н.Д., Егоров Ю.В., Пузако В.Д. // Радиохимия. 1980. Т. 22. № 1. С. 30–37.
- Поляков Е.В. Реакции ионно-коллоидных форм микрокомпонентов и радионуклидов в водных растворах. Екатеринбург: УрО РАН, 2003. 279 с.
- Поляков Е.В., Бетенеков Н.Д., Егоров Ю.В. // Радиохимия. 1983. Т. 25. № 6. С. 753–758.
- Поляков Е.В., Егоров Ю.В., Панфилова Л.В. // Радиохимия. 1996. Т. 36. № 1. С. 29–32.
- Поляков Е.В., Егоров Ю.В., Ильвес Г.Н. // Радиохимия. 1999. Т. 41. № 4. С. 336–340.
- Поляков Е.В., Денисов Е.И., Волков И.В. // Радиохимия. 2021. Т. 63. № 6. С. 545–552.
- Волков И.В., Поляков Е.В. // Радиохимия. 2020. Т. 62. № 2. С. 93–113.
- Пан Л.С., Зильберман М.В., Вольхин В.В. // ЖПХ. 1986. Т. 59. № 4. С. 1866–1868.
- Зильберман М.В., Кузнецов В.Г., Вольхин В.В. // ЖНХ. 1974. Т. 19. № 7. С. 1838–1841.
- Вольхин В.В., Калинин Н.Ф., Зильберман М.В. // Неорганические ионообменники. Синтез, структура, свойства. Пермь, 1977. С. 32–36.
- Зильберман М.В., Вольхин В.В., Калинин Н.Ф. // Коллоид. журн. 1978. Т. 40. № 5. С. 982–985.
- Алесковский В.Б. Стехиометрия и синтез твердых соединений. Л.: Наука, 1976. 140 с.
- Clearfield A., Medina A.S. // J. Inorg. Nucl. Chem. 1973. Vol. 35. P. 2985–2992.
- Филина Л.П., Белинская Ф.А. // Вестн. С.-Петерб. ун-та. Сер. физ. хим. 1994. Вып. 2. С. 77–83.
- Воронина А.В., Орлов П.А. // Радиохимия. 2021. Т. 63. № 1. С. 42–53.
- Voronina A.V., Semenischev V.S., Nogovitsyna E.V., Betenekov N.D. // J. Radioanal. Nucl. Chem. 2013. Vol. 298. P. 67–75.
- Orlov P.A., Voronina A.V., Blinova M.O., Yakovlev G.A., Semenishchev V.S. // AIP Conf. Proc. 2017. Vol. 1886. ID 020058.
- Ноговицына Е.В. Получение и свойства поверхностно-модифицированных сорбентов для извлечения цезия. Дис. … к.х.н. Екатеринбург, 2011. 169 с.
- Тананаев И.В., Сейфер Г.Б., Харитонов Ю.Я., Кузнецов В.Г., Корольков А.П. Химия ферроцианидов. М.: Наука, 1971. 320 с.
- Лурье Ю.Ю. Справочник по аналитической химии. М.: Химия, 1979. 5-е изд. 480 с.
Дополнительные файлы












