The influence of the sizes of nanodiamond aggregates in their suspensions on the efficiency of sorption of 90Y and 177Lu isotopes for their subsequent use in nuclear medicine
- Authors: Kazakov A.G.1, Babenya J.S.1, Ekatova T.Y.1, Vinokurov S.E.1, Khvorostinin E.Y.1, Ushakov I.A.2, Zukau V.V.2, Stasyuk E.S.2, Nesterov E.A.2, Sadkin V.L.2, Rogov A.S.2, Myasoedov B.F.1,3
-
Affiliations:
- Vernadsky Institute of Geochemistry and Analytical Chemistry, Russian Academy of Sciences
- National Research Tomsk Polytechnic University
- Interdepartmental Center for Analytical Research in Physics, Chemistry and Biology, Russian Academy of Sciences
- Issue: Vol 66, No 2 (2024)
- Pages: 178-184
- Section: Articles
- URL: https://bakhtiniada.ru/0033-8311/article/view/263863
- DOI: https://doi.org/10.31857/S0033831124020093
- ID: 263863
Cite item
Full Text
Abstract
Nanodiamonds (NDs) are promising carriers of radionuclides in radiopharmaceuticals for use in nuclear medicine. In this work, we investigated the influence of the properties of ND suspensions, including the sizes of their aggregates, in aqueous solutions with different pH on their binding of medical isotopes 90Y and 177Lu and found the conditions for obtaining promising conjugates for further in vivo studies. It was shown that sorption is influenced by the composition of the solution, which determines the properties of the ND surface, while the forms of cations of the studied nuclides in the solution do not affect the degree of sorption.
Full Text
ВВЕДЕНИЕ
В настоящее время в области ядерной медицины получает все большее развитие разработка радиофармпрепаратов (РФЛП) на основе наночастиц, которые являются носителями короткоживущих изотопов для их адресной доставки [1]. Среди изучаемых для этих целей наноматериалов активно исследуются углеродные, в частности наноалмазы (НА) [2]. В ряде исследований, в том числе и нами, показано, что НА сорбируют и прочно удерживают широкий спектр изотопов медицинского назначения [3–6], прежде всего трехвалентных, в том числе 90Y и 177Lu [6, 7]. Нами показано, что основным механизмом сорбции является взаимодействие катионных форм радионуклидов в растворе с анионами карбоксильных групп поверхности НА. Было установлено, что окисление приводит к образованию большего количества этих групп на поверхности НА, что улучшает их сорбционные свойства [3–7].
Способ использования наночастиц в составе РФЛП может существенно отличаться в зависимости от размера их агрегатов в растворе для введения. Так, раствор, содержащий наночастицы со связанными изотопами, можно вводить внутривенно, после чего они накапливаются в опухоли по двум механизмам: пассивно и активно [8]. Пассивное связывание реализуется за счет EPR-эффекта (Enhanced Permeability and Retention), заключающегося в том, что в отличие от здоровых тканей сосудистая сеть опухоли пропускает и затем удерживает частицы размером от 100 до 600 нм. Активное связывание происходит, если с наночастицами связан биологический вектор. Кроме данных механизмов, учитывая, что агрегаты наночастиц могут достигать даже микронных размеров, можно рассмотреть возможность прямого введения таких агрегатов в область очага воспаления [9]. Известно также, что степень сорбции нуклида различными образцами НА детонационного происхождения, отличающимися размерами агрегатов, может также различаться [6].
В настоящей работе мы детально изучили влияние различных факторов, в том числе размеров агрегатов НА, на связывание ими изотопов 90Y и 177Lu и определили условия получения перспективных конъюгатов для дальнейших исследований in vivo.
ЭКСПЕРИМЕНТАЛЬНАЯ ЧАСТЬ
Изучаемые НА и определение размера их агрегатов и ζ-потенциала в водных растворах
В работе использовали хорошо изученные ранее, в том числе и нами, коммерческие образцы НА производства СКТБ «Технолог» (Санкт-Петербург, Россия) марок UDA-TAN и DND-STP [10–13] (далее – TAN и STP соответственно), а также проводили их окисление в смеси HNO3/H2SO4 при 120°С в течение 24 ч (ок-TAN и ок-STP соответственно). Все перечисленные образцы охарактеризованы в наших ранних работах [3–6], а также в работах других авторов; главным отличием TAN от STP является различное количество функциональных групп на поверхности, по данным ИК спектрометрии, что определяет различия в свойствах суспензий. При этом провести точное отнесение пиков к конкретным группам невозможно ввиду наложения пиков.
В данной работе определяли размеры агрегатов изученных НА в водных растворах с различным pH методом динамического рассеяния света (ДРС). Для этого использовали свежеприготовленные растворы HCl или NH3, pH которых контролировали с помощью pH-метра «Эксперт» («Эконикс-Эксперт», Москва, Россия). В эти растворы добавляли сухие навески НА, суспендировали их на ультразвуковом диспергаторе МЭФ93.Т («Мелфиз-Ультразвук», Москва, Россия) в течение 30 с, после чего отбирали аликвоты суспензий для измерения размеров агрегатов и их ζ-потенциала на анализаторе ZetaSizer Nano ZS (633 нм) ZEN 3600 (Malvern Instruments, Ltd., Великобритания). Для каждого образца проводили три измерения, после чего усредняли полученные размеры и значения ζ-потенциала.
Получение 90Y без носителя и 177Lu с носителем
90Y выделяли методом экстракционной хроматографии с использованием коммерческого сорбента TRU (нанесенные экстрагенты – КМФО в ТБФ, размер частиц 100–150 мкм, Triskem, Франция). Сорбент выдерживали в 0.05 M HNO3 в течение 1 ч, после чего заполняли им колонку объемом 2.5 мл и промывали ее 5 мл раствора 6 M HNO3. Через колонку затем пропускали 1 мл раствора 90Sr/90Y в 6 M HNO3, при этом 90Y сорбировался на колонке, а 90Sr оставался в элюате. Затем колонку промывали 6 мл раствора 6 M HNO3 и десорбировали 90Y 6 мл раствора 0.05 M HNO3. Фракции 90Y объединяли, упаривали досуха, растворяли в воде, повторно упаривали для удаления остатков азотной кислоты и растворяли в разбавленной HCl. Для определения степени очистки 90Y от 90Sr данным способом фракции 90Y выдерживали в течение 30 сут, после чего определяли их скорость счета, которая не превышала скорость счета фона.
177Lu получали при облучении 8.5 мг natLu2O3 (ООО «Ланхит», Москва, Россия, чистота 99.999%) в открытой кварцевой ампуле потоком тепловых нейтронов 3.7 × 1013 н/(см2·с) в течение 24 ч. После выдержки в течение 5 сут содержимое ампулы растворяли в 1 мл 6 М HCl. Кислоту затем выпаривали и осадок растворяли в 0.04 M HCl, получив раствор, содержащий 177Lu с активностью 1.3 ГБк.
Изучение сорбции 90Y и 177Lu исследуемыми НА
Сорбцию проводили при 25°С из водных растворов с рН от 1 до 9, которые получали добавлением растворов HCl или NH3. Объем раствора при сорбции составлял 1 мл, содержание НА – 100 мкг/мл, концентрация иттрия и лютеция в каждом эксперименте составляла около 3 × 10–14 и 1 × 10–7 М соответственно. Фазы после контакта разделяли центрифугированием при 18 000 g, отбирали аликвоту и определяли содержание 90Y или 177Lu в ней. Детальное описание экспериментов приведено в работах [6, 7].
РЕЗУЛЬТАТЫ И ОБСУЖДЕНИЕ
Размеры агрегатов НА и их ζ-потенциал
Размеры и ζ-потенциал агрегатов НА изучали в водных растворах с рН от 1 до 9; результаты представлены на рис. 1, а, б. Из данных рис. 1, а видно, что свойства суспензий НА отличаются друг от друга, а также зависят от pH и что окисление НА существенно меняет свойства их агрегатов в сравнении с неокисленными образцами. Так, при pH 1 размеры агрегатов TAN составили 2700 нм и уменьшались до 270–290 нм при pH от 5 до 7, после чего увеличивались до 3060 нм при pH 9. Размеры агрегатов ок-TAN при pH 1 соответствовали размерам TAN, но при других значениях рН они различались: при рН от 3 до 7 агрегаты были в 1.5–4 раза крупнее, а при рН 9 – меньше и составляли около 2400 нм. Что касается STP, то свойства их агрегатов существенно изменились в процессе их окисления, о чем свидетельствуют данные рис. 1, а. Размеры агрегатов STP при рН 1 составляли 2750 нм, в то время как размеры ок-STP составляли 1950 нм, а с увеличением pH до 3 размеры ок-STP существенно уменьшались – до 500 нм, а размеры ок-STP, наоборот, уменьшались незначительно, до 1250 нм. При pH от 5 до 9 размеры STP оставались не более 1000 нм, имея минимум 315 нм при pH 9, тогда как размеры ок-STP составляли от 1000 до 2000 нм при pH 5 и 7 с минимумом 640 нм при рН 9.
Рис. 1. Размеры агрегатов изученных НА (а) и их ζ-потенциал (б) в растворах HCl и NH3
Из данных рис. 1, б видно, что TAN и ок-TAN имеют разные значения pH изоэлектрических точек: для TAN при pH 8.7, а для ок-TAN точка находится за пределами исследуемой области, вероятно, в щелочной области. Положение изоэлектрических точек STP и ок-STP также различно и находится при рН 6.8 и 7.7 соответственно. Положительный ζ-потенциал объясняется присутствием sp2-углерода на поверхности НА, что типично для НА детонационного синтеза [14].
Форма кривых зависимости ζ-потенциала от рН для TAN и ок-TAN согласуется с данными работы [15], однако в нашей работе значения ζ-потенциала в изученном диапазоне оказались на 5–10 мВ ниже, а также, как следствие, ниже был и рН изоэлектрических точек. Это может быть связано как с погрешностью измерения ζ-потенциала, так и с влиянием среды, так как в работе [15] исследовали свойства суспензий в растворах HClO4 и NaOH, в то время как в нашей – в HCl и NH3. Область рН, соответствующая устойчивым суспензиям (модуль ζ-потенциала >30 мВ), для TAN, ок-ТАN и STP с учетом погрешности соответствует рН от 3.0–5.0, а для ox-STP – рН 3. В то же время в работе [15] TAN образовывал устойчивые суспензии при рН 2.5–6.5, а ок-TAN – при рН 4.0–6.0. Зависимости размеров агрегатов STP и ок-STP от рН получены нами впервые.
По литературным данным [16, 17], величина ζ-потенциала поверхности НА существенно зависит от количества групп –COH и –COOH на поверхности НА, при этом при различных pH первые могут находиться в формах –COH2+, –COH, –CO–, а последние – в формах –COOH и –COO–; суммарное содержание этих групп по отношению ко всем поверхностным группам обычно составляет около 20%. Остальные 80% функциональных групп в зависимости от метода получения и очистки НА могут быть карбонильными, эфирными, сложноэфирными, лактонными, ангидридными и т.д.; они также могут оказывать влияние на ζ-потенциал, но в гораздо меньшей степени, чем –СОН и –СООН-группы. Чем больше число диссоциированных групп в выбранной среде, тем больше абсолютное значение ζ-потенциала в ней; следовательно, форма кривых на рис. 1, б определяется суммой количеств диссоциированных форм –COH и группы –СООН. Кроме того, ионная сила также различается в разных средах, так как создается присутствием в исследуемых растворах различных количеств HCl или NH3. Различия в ζ-потенциалах коммерческих и окисленных НА объясняются изменением соотношения групп –СОН и –СООН в процессе окисления. Таким образом, рН и ионная сила раствора оказывают влияние на диссоциацию функциональных групп поверхности НА, что обусловливает размер агрегатов НА и устойчивость получаемых суспензий во времени.
Сорбция 90Y и ее сопоставление с размерами агрегатов НА
При использовании наноразмерного носителя в составе РФЛП необходимо обращать внимание на размеры агрегатов в растворе для введения, поскольку известно, что при введении наночастиц, имеющих одинаковый состав, но разный размер агрегатов, их биораспределение будет различаться [18]. Кроме того, в случае НА остается малоизученным влияние размеров агрегатов на сорбцию радионуклидов и устойчивость полученных конъюгатов в биологических средах.
Нами исследована кинетика сорбции 90Y изучаемыми НА в течение первого часа и за 24 ч. Установлено, что в каждом случае уже за 5 мин достигается сорбционное равновесие; на рис. 2, а представлены значения сорбции за 30 мин. Показано, что при рН 1 равновесные значения степени сорбции 90Y не превышают 10% для всех НА; при рН 3 TAN и ок-TAN сорбируют 10% 90Y, а STP и ок-STP – 25%. При увеличении рН до 5 сорбция становится количественной (>90%) на образцах НА и остается такой же при рН 7 и 9. Полученные зависимости степени сорбции от рН типичны для сорбции НА трехвалентных элементов, что показано нами ранее [3–7].
Рис. 2. Степень сорбции 90Y образцами НА из водных растворов в течение 30 мин (а) и формы Y(III), рассчитанные с использованием CHEAQS [19] для соответствующих концентраций реагентов (б).
Для оценки влияния содержания различных форм иттрия в растворе на степень его сорбции изучаемыми НА содержание форм рассчитывали с использованием программы CHEAQS [19], полученные данные приведены на рис. 2, б. Как видно из данных рис. 2, а, б, корреляция между степенью сорбции 90Y и содержанием какой-либо формы отсутствовала. Кроме того, при сопоставлении значений ζ-потенциала (рис. 1, б) и степени сорбции 90Y (рис. 2, а), очевидно, что катионные формы иттрия количественно сорбируются образцами с положительным ζ-потенциалом, что свидетельствует о хемосорбции как основном механизме сорбции 90Y; можно предположить, что катионные формы Y(III) (рис. 2, б) связываются с анионами карбоксильных и спиртовых групп поверхности НА. К такому же выводу пришли и авторы работы [15] при изучении сорбции Am(III) образцами TAN и ок-TAN.
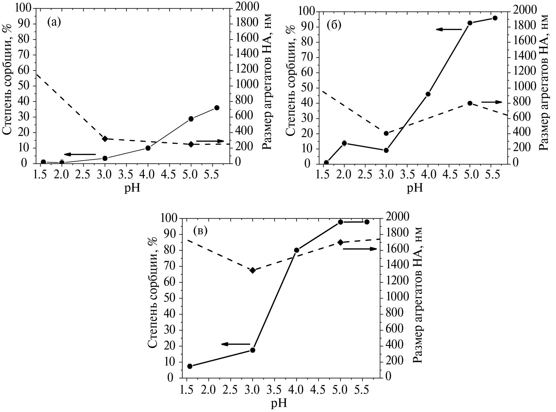
На рис. 3 сопоставлены полученные зависимости сорбции 90Y от рН с размерами агрегатов НА в соответствующих растворах для поиска корреляции. Из данных рис. 3 видно, что некоторая обратная корреляция в каждом случае наблюдается при рН от 1 до 3: при увеличении рН уменьшается размер агрегатов и повышается степень сорбции. В то же время, вероятно, оба процесса обусловлены диссоциацией –COH- и –COOH-групп поверхности: чем выше рН в данной области, тем меньше диссоциация подавляется сильной кислотой (HCl). Как следствие, за счет диссоциации увеличивается гидрофильность поверхности и в то же время происходит хемосорбция. При дальнейшем увеличении рН корреляция отсутствует. Так, для TAN и ок-TAN (рис. 3, а, б) при увеличении рН от 3 до 7 степень сорбции резко возрастает до 85–95% при незначительном снижении размеров агрегатов, после чего при увеличении рН до 9 сорбция остается количественной при существенном увеличении размеров агрегатов. Что касается STP и ок-STP, то при рН от 3 до 9 корреляция полностью отсутствует (рис. 3, в, г). Таким образом, можно заключить, что для всех изученных НА размеры их агрегатов не оказывают существенного влияния на эффективность сорбции 90Y в изученном диапазоне рН.
Рис. 3. Степень сорбции 90Y за 30 мин и размеры агрегатов НА в зависимости от рН образцами TAN (а), ок-TAN (б), STP (в) и ок-STP (г).
Как мы писали во введении, от размера агрегатов наноразмерного носителя зависит способ применения РФЛП на его основе. Рассматривая РФЛП простейшего состава на основе НА, то есть радионуклид, сорбированный на НА, можно предположить два способа применения таких РФЛП – внутривенное введение для реализации EPR-эффекта и прямое введение в пораженную область. Для первого способа необходим размер агрегатов от 100 до 600 нм (лучше до 200 нм), и из данных рис. 3 видно, что перспективным носителем 90Y для этой цели из изученных нами является TAN, так как при рН от 5 до 7, приемлемых для введения в кровь, количественно сорбируется агрегатами размера около 250 нм. Для прямого введения наиболее перспективным является ок-STP, так как количественно сорбирует 90Y при тех же рН, образуя агрегаты размером от 1.5 мкм. Отсутствие корреляции между размером агрегатов и сорбцией для данных НА позволяет предположить, что даже в случае возможного изменения размеров после введения в кровь 90Y останется связанным с НА.
Сорбция 177Lu и ее сопоставление с размерами агрегатов НА
Нами изучена сорбция 177Lu с носителем (20 нг/мл раствора) образцами TAN, STP, ок-STP в течение первого часа и за 15 ч при рН 1.6 от 5.6. Для всех НА установлено, что значения степени сорбции, полученные через 5 мин контакта, сохраняются в течение 60 мин. На рис. 4, а представлена степень сорбции 177Lu изучаемыми НА за 30 мин. Из данных рисунка видно, что зависимости имеют тот же вид, что и полученные ранее для 90Y, но степень сорбции в ряде случаев ниже, что обусловлено присутствием носителя. На рис. 4, б представлены формы Lu(III), рассчитанные с использованием CHEAQS [19]. При сопоставлении степени сорбции 177Lu изучаемыми НА и форм Lu(III) очевидно, что содержание различных форм Lu(III) не коррелирует со степенью сорбции. Таким образом, как и в случае с Y(III), можно предположить хемосорбцию как основной механизм связывания Lu(III) с НА.
Рис. 4. Степень сорбции 177Lu образцами НА из водных растворов в течение 30 мин (а) и формы Lu(III), рассчитанные с использованием CHEAQS [19] для соответствующих концентраций реагентов (б).
Данные для сравнения размеров агрегатов НА c полученными значениями сорбции 177Lu за 30 мин приведены на рис. 5, из которого видно, что зависимости, полученные для исследованных НА, различны. В случае TAN и STP (рис. 5, а, б соответственно) можно отметить слабую обратную корреляцию размера агрегатов НА со степенью сорбции177Lu, в то время как в случае ок-STP (рис. 5. в) заметно отсутствие корреляции. Количественная сорбция 177Lu в изученных условиях наблюдается для STP при рН 5–5.6 на агрегатах размером 1000 нм, а для ox-STP – 1500–1600 нм при тех же pH. Таким образом, если говорить о возможном применении НА как носителей 177Lu, перспективной выглядит разработка РФЛП на их основе для прямого введения, а наиболее перспективный образец из изученных – ок-STP.
Рис. 5. Степень сорбции 177Lu за 30 мин и размеры агрегатов НА в зависимости от рН образцами TAN (а), STP (б) и ок-STP (в).
Таким образом, установлено, что степень сорбции 90Y и 177Lu изучаемыми НА определяется главным образом составом среды и не зависит явно от размеров агрегатов НА. Так, pH влияет на ζ-потенциал НА и, как следствие, на стабильность суспензии во времени. рН также влияет на степень сорбции 90Y и 177Lu, поскольку при его изменении меняются химические формы поверхностных групп НА, при этом корреляция между содержанием различных форм Y(III) и Lu(III) и степенью сорбции в условиях эксперимента отсутствовала. Учитывая размеры агрегатов изученных НА в растворах, пригодных для введения в кровь (рН от 5 до 7), мы рекомендуем дальнейшее развитие исследований НА как носителей изотопов для медицины для прямого введения. Для этих целей наиболее перспективным является ок-STP, образующий агрегаты размером от 1.5 мкм, в то время как TAN, образующий агрегаты размером 250 нм, перспективен для развития исследований, связанных с адресной доставкой изотопов с НА в качестве носителя после их внутривенного введения.
ФИНАНСИРОВАНИЕ РАБОТЫ
Исследование выполнено за счет гранта Российского научного фонда № 21-13-00449. https://rscf.ru/project/21-13-00449/
БЛАГОДАРНОСТИ
Авторы выражают благодарность Р.Х. Дженлода и А.И. Иванееву (ГЕОХИ РАН) за проведение ДРС-анализа.
КОНФЛИКТ ИНТЕРЕСОВ
Авторы заявляют об отсутствии конфликта интересов.
About the authors
A. G. Kazakov
Vernadsky Institute of Geochemistry and Analytical Chemistry, Russian Academy of Sciences
Author for correspondence.
Email: adeptak92@mail.ru
Russian Federation, Moscow
J. S. Babenya
Vernadsky Institute of Geochemistry and Analytical Chemistry, Russian Academy of Sciences
Email: adeptak92@mail.ru
Russian Federation, Moscow
T. Y. Ekatova
Vernadsky Institute of Geochemistry and Analytical Chemistry, Russian Academy of Sciences
Email: adeptak92@mail.ru
Russian Federation, Moscow
S. E. Vinokurov
Vernadsky Institute of Geochemistry and Analytical Chemistry, Russian Academy of Sciences
Email: adeptak92@mail.ru
Russian Federation, Moscow
E. Y. Khvorostinin
Vernadsky Institute of Geochemistry and Analytical Chemistry, Russian Academy of Sciences
Email: adeptak92@mail.ru
Russian Federation, Moscow
I. A. Ushakov
National Research Tomsk Polytechnic University
Email: adeptak92@mail.ru
Russian Federation, Tomsk
V. V. Zukau
National Research Tomsk Polytechnic University
Email: adeptak92@mail.ru
Russian Federation, Tomsk
E. S. Stasyuk
National Research Tomsk Polytechnic University
Email: adeptak92@mail.ru
Russian Federation, Tomsk
E. A. Nesterov
National Research Tomsk Polytechnic University
Email: adeptak92@mail.ru
Russian Federation, Tomsk
V. L. Sadkin
National Research Tomsk Polytechnic University
Email: adeptak92@mail.ru
Russian Federation, Tomsk
A. S. Rogov
National Research Tomsk Polytechnic University
Email: adeptak92@mail.ru
Russian Federation, Tomsk
B. F. Myasoedov
Vernadsky Institute of Geochemistry and Analytical Chemistry, Russian Academy of Sciences; Interdepartmental Center for Analytical Research in Physics, Chemistry and Biology, Russian Academy of Sciences
Email: adeptak92@mail.ru
Russian Federation, Moscow; Moscow
References
- Chauhan S., Neha J., Nagaich U. // J. Pharm. Anal. 2020. Vol. 10. N 1. P. 1–12.
- Wang X., Sang D., Zou L., Ge S., Yao Y., Fan J., Wang Q. // Molecules. 2023. Vol. 28. N 10. Article 4063.
- Kazakov A.G., Garashchenko B.L., Yakovlev R.Y., Vinokurov S.E., Kalmykov S.N., Myasoedov B.F. // Diam. Relat. Mater. 2020. Vol. 104. Article 107752.
- Kazakov A.G., Garashchenko B.L., Yakovlev R.Y., Vinokurov S.E., Myasoedov B.F. // Radiochemistry. 2020. Vol. 62. P. 752–758.
- Kazakov A.G., Garashchenko B.L., Ivanova M.K., Vinokurov S.E., Myasoedov B.F. // Nanomaterials. 2020. Vol. 10. N 6. Article 1090.
- Babenya J.S., Kazakov A.G., Ekatova T.Y., Yakovlev R.Y. // J Radioanal Nucl Chem. 2021. Vol. 329. N 2. P. 1027–1031.
- Казаков А.Г., Бабеня Ю.С., Екатова Т.Ю., Винокуров С.Е., Ушаков И.А., Зукау В.В., Стасюк Е.С., Нестеров Е.А., Садкин В.Л., Рогов А.С., Мясоедов Б.Ф. // Радиохимия. 2024. Т. 66. № 2. *СТАТЬЯ 10137*.
- Chaudhuri A., Kumar D.N., Dehari D., Singh S., Kumar P., Bolla P.K. et al. // Pharmaceuticals. 2022. Vol. 15. Article 542.
- Srinivas S.M., Nasr E.C., Kunam V.K., Bullen J.A., Purysko A.S. // J. Gastrointest. Oncol. 2016. Vol. 7. N 4. P. 530–539.
- Kazakov A.G., Babenya J.S., Ekatova T.Y., Vinokurov S.E., Myasoedov B.F. // Advances in Geochemistry, Analytical Chemistry and Planetary Sciences. 2023. P. 595–601.
- Yakovlev R.Y., Dogadkin N.N., Kulakova I.I., Lisichkin G.V., Leonidov N.B., Kolotov V.P. // Diam. Relat. Mater. 2015. Vol. 55. P. 77–86.
- Karpukhin A.V., Avkhacheva N.V., Yakovlev R.Y., Kulakova I.I., Yashin V.A., Lisichkin G.V., Safronova V.G. // Cell. Biol. Int. 2011. Vol. 35. N 7. P. 727–733.
- Dolmatov V.Y., Rudenko D.V., Burkat G.K., Aleksandrova A.S., Vul’ A.Yu., Aleksenskii A.E. et al. // J. Superhard Mater. 2019. Vol. 41. N 3. P. 169–177.
- Pichot V., Comet M., Fousson E., Baras C., Senger A., Normand F.L., Spitzer D. // Diam. Relat. Mater. 2008. Vol. 17. N 1. P. 13–22.
- Buchatskaya Y., Romanchuk A., Yakovlev R., Shiryaev A., Kulakova I., Kalmykov S. // Radiochim. Acta. 2015. Vol. 103. N 3. P. 205–211.
- Zhukov A.N., Shvidchenko A.V., Yudina E.B. // Colloid J. 2020. Vol. 82. N 4. P. 369–375.
- Shvidchenko A.V., Zhukov A.N., Dideikin A.T., Baidakova M.V., Shestakov M.S., Shnitov V.V. Vul’ A.Y. // Colloid J. 2016. Vol. 78. N 2. P. 235–241.
- Winter G., Eberhardt N., Löffler J., Raabe M., Alam M.N.A., Hao L. et al. // Nanomaterials. 2022. Vol. 12. N 24. Article 4471.
- Verweij W. // CHEAQS Next vers. 0.2.1.10. https://www.cheaqs.eu/
Supplementary files







