Fracture Criteria for Matrix and Fibers in Unidirectional Polymeric Composites at Static Loadings
- Authors: Oleynikov A.I.1,2
-
Affiliations:
- Central Aerohydrodynamic Institute
- Moscow Institute of Physics and Technology (MIPT)
- Issue: Vol 88, No 2 (2024)
- Pages: 255-270
- Section: Articles
- URL: https://bakhtiniada.ru/0032-8235/article/view/266194
- DOI: https://doi.org/10.31857/S0032823524020078
- EDN: https://elibrary.ru/XUILPU
- ID: 266194
Cite item
Full Text
Abstract
When analyzing the strength of structures made of layered fibrous polymer composite materials; the criteria for failure of a monolayer – a unidirectional reinforced composite – are used. A criterion of strength according to the conditions of matrix fracture is formulated, corresponding to conical limiting surfaces and the lowest destructive loads. The criterion of strength according to the condition of fiber failure, which does not allow the paradox of increasing strength in the region of transition from fiber destruction to matrix failure, is given. Experimental verification of the criteria for volumetric, planar, and one-dimensional loads is carried out. Their better correspondence to empirical data is shown and their advantages in comparison with known criteria are marked. A small number of easily detectable parameters of these criteria contribute to their reliability and stability in strength calculations of composite structural elements.
Full Text
- Введение. Необходимым условием достижения современных прочностно-весовых и эксплуатационных характеристик несущих конструкций является максимальное применение в них непрерывно-волоконных слоистых полимерных композиционных материалов (ПКМ). Полное чисто экспериментальное обоснование прочности новых изделий из ПКМ является чрезвычайно многоуровневым и слишком ресурсозатратным. Расчетные исследования конструктивных решений и сопровождение всех уровней испытаний на основе более надежных теорий позволяет существенно сократить объем необходимых испытаний и повысить эффективность отработки прочности изделия.
Расчеты на прочность конструкций из ПКМ во многом основываются на критериях прочности составляющих его слоев (монослоев) – однонаправленно армированных композитов. К настоящему времени предложено довольно много критериев прочности монослоев. Однако проблема повышения надежности и устойчивости условий прочности остается до сих пор актуальной. Различные критерии дают значительный разброс в оценках прочности. Большое число параметров критерия обуславливает не единственность их набора. Сильная нелинейность критериев приводит к их неустойчивости по входным данным и не позволяет определить их параметры в составе конструкции. Коэффициент запаса прочности на данные ограничения все еще назначается очень большим.
Нарушение прочности композита вообще может иметь разный характер и происходить по различным механизмам разрушения и неустойчивости. Механически обоснованные условия прочности учитывают характер и механизмы разрушения и соответствуют наименьшей разрушающей нагрузке. Потеря прочности однонаправленного композита происходит частично из-за разрушения волокон, частично из-за разрушения матрицы.
Широкая экспериментальная проверка многих предложенных критериев разрушения матрицы (и/или ее границы с волокном) показывает, что в настоящее время перспективными выглядят критерии, определяемые условием достижения на некоторой площадке вдоль волокон критической величины заданной комбинации касательных и нормальных напряжений [1–10]. Если на этой площадке критериальная комбинация напряжений достигает наибольшей величины, то критерий определяет разрушение при наименьшей нагрузке. Таким, например, является известный критерий [5–7]. В пространстве касательных и нормальных напряжений, действующих на площадке, данный критерий описывает предельную поверхность, которая является строго выпуклой. Она состоит из смежных поверхностей эллипсоида и эллиптического параболоида. Хотя вид предельной поверхности выбирается с учетом опыта, но, очевидно, что в первом приближении всегда можно выпуклую поверхность аппроксимировать невогнутой, например, конической поверхностью второго порядка. Нестрогая выпуклость, очевидно, пойдет в запас прочности, не изменяя при этом характера и механизма разрушения. С другой стороны, такое упрощение критерия способствует повышению его надежности и устойчивости. Подобная аппроксимация также рассматривалась в [5]. Однако на тот момент для конической предельной поверхности не было решения, позволяющего аналитически определить площадку с наибольшей величиной критериальной комбинации напряжений. Для плоского напряженного состояния это решение дано в [11]. Оно имеет вид простой конечной формулы.
Однако для случаев объемного напряженного состояния аналитического определения такой критической площадки критерия [5–7] к настоящему времени не получено, ее находят численными методами [12–13]. Но именно аналитическое решение после его подстановки в выражение критерия позволяет записать последний в виде соотношения лишь между компонентами тензора напряжений. Благодаря этому отпадает необходимость отдельно решать задачу на экстремум для определения площадки с наибольшей величиной критериальной комбинации напряжений.
В критерии [5–7] в качестве характеристических констант входят некоторые геометрические параметры предельной поверхности, величины которых даются авторами. Однако постоянные материала обычно должны определяться независимо из стандартизованных и общепринятых испытаний.
При наличии нормального растяжения на критической площадке обычно предполагается, что она всегда перпендикулярна плоскости волокон, является фиксированной и не меняется с изменением напряженного состояния. Однако при этом предположении остается открытым вопрос, достигает ли критериальное соотношение наибольшей величины именно и всегда на этой площадке. Относительно применения критериев при наличии нормального растяжения на критической площадке могут быть высказаны такие же, как и высказываемые для условия Мора, определенные сомнения. Однако хорошо известно, что чистый отрыв, по-видимому, не наблюдается, отрыв сопровождается деформациями сдвига. Поэтому нельзя исключать того, что, например, при чистом растяжении поперек волокон максимум критерия реализуется на площадке, не ортогональной к направлению растяжения.
Что касается критерия прочности однонаправленного композита по условию разрушения волокон, то в качестве такового часто принимается равенство компоненты тензора напряжений вдоль волокон пределу продольной прочности [1, 4, 7]. Однако такой критерий может приводить к результату, который противоречит опыту. Например, согласно этому критерию, прочность в направлении одноосной нагрузки под углом к оси волокон возрастает с увеличением этого угла [10].
Целью настоящей работы является:
− формулировка на основе конических предельных поверхностей критерия прочности однонаправленных композитов по условию разрушения матрицы, надежно определяющего наименьшую разрушающую нагрузку;
− формулировка критерия прочности по условию разрушения волокон, непротиворечащего опыту при внеосевом нагружении;
− вывод уравнения и получение его аналитических решений, определяющих площадки с наибольшей величиной критериальной комбинации напряжений при объемном напряженном состоянии;
− определение системы уравнений и нахождение ее решений, определяющих смену механизмов потери прочности композита от разрушения волокон к разрушению матрицы, и наоборот;
− получение соотношений для определения характеристических параметров критериев прочности из стандартизованных и общепринятых установочных испытаний;
− экспериментальная проверка предложенных критериев и их сравнение с известными критериями прочности при объемном, плоском и одномерном нагружениях.
Некоторые основные результаты этой работы были анонсированы в [14].
- Критерий прочности по условию разрушения матрицы. Пусть – компоненты тензора напряжений в декартовой прямоугольной системе координат , оси которой лежат в плоскости волокон и направлены соответственно вдоль и поперек волокон, . Составляющие вектора напряжения, действующего на площадке с нормалью [4], даются формулами
(2.1)
где – нормальное напряжение, – касательное напряжение поперек волокон в направлении вектора , – касательное напряжение вдоль волокон в направлении вектора .
Критерий прочности однонаправленного композита по условию адгезионного разрушения интерфейса волокно–матрица или/и когезионного разрушения матрицы между волокнами записывается в виде [11]
(2.2)
где угол соответствует критической площадке, на которой функция критерия , , при данном напряженном состоянии достигает своей наибольшей величины,
(2.3)
В (2.2), (2.3) индекс «+» отвечает случаю , индекс «–» – . В обеих частях равенств эти индексы берутся одинаковыми. В частном случае и критерий (2.2) совпадает с [2, 3]. Функция является неаналитической первой степени однородности относительно компонент тензора напряжений. Очевидно, что (2.2) также можно представить квадратичным критерием [11].
Для фиксированной критической площадки уравнение (2.2) в пространстве напряжений при описывает усеченную плоскостью эллиптическую коническую поверхность второго порядка , при – отделенную той же плоскостью вершинную часть эллиптической конической поверхности . Ось является общей осью симметрии для обеих поверхностей. В сечении плоскостью углы полураствора этих конусов равны
, а в сечении –
Из (2.2) при можно получить, что , а при получаем . Величина вектора касательного напряжения на площадке n есть . Этот вектор направлен под углом к направлению его составляющей . Обозначим при , тогда , и (2.2) записывается в виде
(2.4)
Пусть далее при , тогда из (2.4) имеем
, поэтому (2.4) можно переписать в виде
(2.5)
откуда, обозначив , получаем, что
(2.6)
и критерий (2.2) можно записать в виде
(2.7)
С другой стороны, зависимость (2.6) следует из эквивалентности (2.2) и (2.7) с учетом выражения для угла .
Вследствие (2.3) предельная поверхность (2.2) является огибающей для – семейств конических поверхностей , что обуславливает ограниченность (2.2) [11].
- Материальные параметры критерия (2.2). Постоянные , и могут быть найдены по результатам стандартизованных и общепринятых испытаний образцов на разрушение. В испытаниях при одноосном растяжении-сжатии перпендикулярно волокнам при разрушении , . В испытаниях при сдвиге вдоль волокон при разрушении и . По данным этих испытаний из (2.2) (2.3) и формул (2.1) следуют соотношения для определения параметров критерия по характеристическим константам материала:
(3.1)
В сечении критерий (2.2) непрерывен и является эллипсом с полуосями:
(3.2)
Согласно (3.1), второе равенство (3.2) выполняется тождественно, первое же равносильно соотношению
(3.3)
Благодаря этой формуле из опыта достаточно определить один из углов, например, , тогда находится по (3.3).
К настоящему времени отсутствует общепринятый стандарт на испытания по определению углов . В опытах получали узкий диапазон значений угла для стекло- и углепластиков, [5, 15, 16]. В расчетной практике обычно используют из этого диапазона [17]. Тогда по (3.3) соответствующий диапазон , если принять, например, что , как в углепластике T700S/2592.
В случае равенства параметров вообще нет необходимости определять и из опыта. В этом случае поверхность в сечении является окружностью и угол можно определить по характеристическим прочностям и согласно формуле [11]:
(3.4)
Если известны разрушающие напряжения при поперечном растяжении-сжатии и при продольном сдвиге , а также параметр , то можно построить предельную поверхность критерия (2.2), которая позволяет с достаточной надежностью и минимальным риском судить о прочности в и других случаях напряженного состояния. Это обусловлено с одной стороны тем, что предельная поверхность является лишь невогнутой, а не строго выпуклой, а с другой – она определяет наименьшую разрушающую нагрузку. Небольшое число параметров критерия (2.2) также способствует их надежному определению.
Из натурных изделий, обладающих существенной кривизной, бывает невозможно вырезать композитные образцы эталонной формы. В этом случае для определения разрушающих напряжений можно использовать криволинейные образцы [18].
При достаточном числе имеющихся экспериментальных точек параметры критерия могут также определяться методом наименьших квадратов с учетом связей (3.1).
- Объемное напряженное состояние. Угол , который фигурирует в критерии (2.2) или (2.7), является, согласно (2.3), решением следующего уравнения:
(4.1)
При лишь (а все остальные компоненты тензора напряжений равны нулю), решение (4.1) есть угол . Это решение совпадает с соотношением из (3.1), полученным ранее другим путем непосредственно из (2.1), (2.2). Аналогично, при лишь из (4.1) имеем , которое также является механически очевидным. При лишь , с использованием соотношения для в (3.1) из (4.1) получаем углы , которые соответствуют данному установочному нагружению.
Для некоторых видов сложного объемного напряженного состояния также можно получить аналитические решения уравнения (4.1). В случае когда , имеем напряженное состояние в плоскости , которое, например, имеет место при и . Тогда из (4.1) с использованием (2.1) и (2.3) найдем, что
(4.2)
Подставив (4.2) в (2.2), можем записать этот критерий прочности в виде соотношения, определяемого лишь компонентами тензора напряжений,
(4.3)
При или этот критерий является линейным.
Аналогично, в случае, когда , имеем напряженное состояние в плоскости , которое, например, реализуется при и при котором решение (4.1)
(4.4)
и критерий (2.2) записывается в следующем виде:
(4.5)
Этот критерий является линейным при условии равенства .
В общем случае объемного напряженного состояния решения уравнения (4.1) для определения углов легко достигаются элементарными численными методами.
Отметим, что преимущество критериев (4.3) и (4.5) обусловлено учетом в них зависимости прочности от направления площадки разрушения – угла при наличии поперечного растяжения. Например, для критерия (4.3) это может проявиться в экспериментах при , и . Аналогично, для критерия (4.5) – при . Опыт с данными объемными напряженными состояниями трудно реализовать в лаборатории, но они нередко встречаются на практике, причем в весьма ответственных местах конструкций из полимерных композитов. Таковыми, например, являются области сопряжения ребер жесткости с плоскостью обшивки крыла.
Одновременно в области растягивающих нормальных напряжений критерии (4.3) и (4.5) позволяют описать разрушения, которые имеют направления, отличные от направления армирования.
- Плоское напряженное состояние. Рассмотрим тонкостенные тела, например пластины или оболочки из однонаправленных ПКМ, нагруженных силами, лежащими в их срединной плоскости, когда средние напряжения . Тогда уравнение (4.1) также позволяет получить решение в виде формулы
(5.1)
которая после преобразований с учетом (2.2) приобретает вид
(5.2)
Формула (5.2) для случая совпадает с формулой, которая была получена ранее другим путем [11].
Подставив (5.2) в (2.2), с учетом (2.1) и (3.1) окончательно получим критерий прочности в виде следующих двух критериальных равенств:
, при , (5.3)
, при , (5.4)
Указанные в (5.3) отрезки поперечного напряжения соответствуют верхней строке решения (5.2) для , а отрезки в (5.4) – нижней строке этого решения. Первому решению отвечает линейный критерий (5.3), второму решению – квадратичный критерий (5.4). Используя (2.2), (2.1) и (3.1), можно также получить отрезки для напряжения , соответствующие данным отрезкам для .
На координатной плоскости критерий (5.3) описывает ломаную с вершиной в точке и звеньями, расположенными в двух смежных вертикальных полосах, граница которых есть ось и ширины равны соответствующим отрезкам (5.3). Критерий (5.4) описывает части кривой эллипсов, расположенных также в двух вертикальных полосах, которые разделены предыдущими полосами и имеющие ширины, равные соответствующим отрезкам (5.4). Одни концы этих кривых примыкают к соответствующему краям ломаной (5.3), а другие – лежат на оси в соответствующих точках .
- Критерий прочности по условию разрушения волокон, смена механизмов разрушения. Если в качестве критерия прочности по условию разрушения (неустойчивости) волокон принять часто используемое равенство компоненты тензора напряжений вдоль волокон пределу продольной прочности
(6.1)
то, например, при одноосном растяжении-сжатии под углом к оси волокон прочность в направлении приложенной нагрузки растет с ростом согласно зависимости
(6.2)
Это очевидно противоречит опыту, в действительности снижается с возрастанием [10].
В конструкционных пластиках смена механизмов потери прочности от разрушения волокон к разрушению матрицы, и обратно, вообще происходит лишь при весьма малых углах , [10, 19]. Простейший критерий прочности по условию разрушения волокон можно записать в виде
при , (6.3)
где , , .
При (6.3) совпадает с равенством (6.1). При одноосном нагружении (6.3) совпадает с критерием [10].
Угол в (6.3) определяется этим равенством. При плоском напряженном состоянии, с учетом малости и пренебрегая его квадратом, получим, что
(6.4)
Угол смены механизмов потери прочности в принципе можно определить по данным испытаний на разрушение, например, при растяжении-сжатии под различными углами . Однако из-за узкого диапазона и разброса измеряемых данных такое определение вряд ли надежно. С другой стороны, является решением системы двух уравнений, (6.3) и (2.2). При плоском напряженном состоянии эта система сводится, согласно (5.3) и (6.3), к одному уравнению
(6.5)
С учетом малости угла приблизительно , . Тогда, пренебрегая квадратом , уравнение (6.5) дает простую формулу
(6.6)
Из (6.6) и (6.4) следует, что нарушение прочности от разрушения волокон не произойдет в том случае, когда
(6.7)
Для углепластика T700S/2592 МПа, МПа и МПа [20], и согласно (6.6) при , , а при –.
Также из (6.6) следует, что диапазон работы волокон в композите возрастает вместе с сопротивлением матрицы сдвигу вдоль волокон. С другой стороны, прочность волокна не должна быть слишком велика.
- Экспериментальная проверка критериев прочности, сравнение с известными условиями разрушения
7.1. Объемное напряженное состояние. На рис. 1 представлены экспериментальные данные по разрушению однонаправленного углепластика T300/PR319 в двух случаях объемного напряженного состояния, которые реализуются в толстостенных трубчатых слоистых образцах приложением к ним давления p и торцевого крутящего момента [21, 22]. Эти состояния отвечают действию комбинации нормальных сжимающих напряжений и одного из касательных напряжений: либо (90°-трубка, монослои (волокна) уложены в окружном направлении, (кружки)), либо (0°-трубка, монослои (волокна) уложены в осевом направлении, (квадратики)) [21, 22]. В обоих случаях исходный материал слоев (препрег) и геометрия образцов были идентичны, однако технологии их изготовления были различны. Поэтому авторы предупредили о том, что соответствующие измеренные механические величины этих образцов нельзя сопоставлять. Для сравнения с теорией мы будем использовать данные по разрушению 90°-трубки.
Рис. 1
Данные нагружения соответствуют случаю объемного напряженного состояния с , , для которого получен критерий (4.3). Используем эти опытные данные для проверки критерия (4.3).
Прочностные константы материала МПа, МПа [23]. Величина была найдена при обработке экспериментальных данных в диапазоне умеренных давлений МПа методом наименьших квадратов с учетом связей (3.1). Тогда также из (3.1) был определен характеристический угол материала , который оказался близок к значению 50°, принятому для этого же материала в [24].
Для рассматриваемых объемных напряженных состояний критерий (4.3) является линейным соотношением между и p в 90°-трубке или и p в 0°-трубке
(7.1)
Согласно (4.2), в обоих состояниях угол является постоянным, а именно, в 90°-трубке , в 0°-трубке .
Уравнения (7.1) на плоскости или описывают одну и ту же прямую, отрезок которой в диапазоне умеренных давлений изображен на рис. 1 а и б сплошной, а при МПа – пунктирной линией. Судя по экспериментальным данным, при больших давлениях МПа существенную роль, по-видимому, играет величина пластической деформации [21, 22], которая в критерий не входит. Поэтому применимость критерия (4.3) здесь ограничена диапазоном давлений МПа. В этом диапазоне критерий (7.1) хорошо соответствует опытным данным по разрушению 90°-трубки и качественно соответствует данным для 0°-трубки.
Сравнение графиков прочности , рассчитанных по (7.1) – прямая 4, и по критериям [25] – кривая 1, [24] – кривая 2, [26] – кривая 3, [27] – кривая 5, представлено на рис. 1 б. В отличие от критерия (4.3), который имеет всего два параметра, число характеристических постоянных материала в этих критериях достигает девяти и даже тридцати констант и материальных функций. При умеренных напряжениях в условиях объемного напряженного состояния линейный более простой критерий (7.1) оказался в лучшем соответствии с опытными данными.
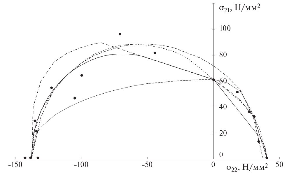
7.2. Плоское напряженное состояние. На рис. 2 а и рис. 3 представлены экспериментальные данные (кружки) по разрушению однонаправленного стеклопластика Gevetex/LY556-HT907-DY063 при двухкомпонентном плоском напряженном состоянии, которое реализуется в намотанном послойно по окружности тонкостенном трубчатом образце приложением к нему торцевого крутящего момента и внутреннего или внешнего давления [28, 29]. Эти состояния отвечают действию нормальных сжимающих или растягивающих напряжений и касательного напряжения .
Рис. 2
Рис. 3
Используем данные этого эксперимента для проверки критериев (5.3), (5.4). Прочностные константы материала МПа, МПа, МПа, .
Рассчитанный по (5.3), (5.4) предел прочности данного композита описывается на плоскости линией, хорошо согласующейся с массивом экспериментальных точек, имеющих определенный разброс (рис. 2, а). Рассчитанный по формуле (5.2) график изменения угла , наклона критической площадки в зависимости от поперечного напряжения приведен на рис. 2 б. На нем видно, что эта зависимость непрерывна, а также то, что на отрезке МПа () критическая площадка перпендикулярна плоскости волокон – . На этом отрезке применялся критерий (5.3), вне его – критерий (5.4). Вне данного отрезка наклон площадки меняется от нуля до при увеличении поперечного сжатия, и также от нуля до при росте поперечного растяжения. Непрерывный переход от скола матрицы в плоскости ортогональной к плоскости волокон, который описывается линейным критерием (5.3), к сколу вдоль волокон в наклонной плоскости, который описывается квадратичным критерием (5.4), происходит при отношении касательных напряжений к сжимающим поперечным и при при растягивающих поперечных напряжениях.
Графики прочности , рассчитанных по (5.3), (5.4) (сплошная линия) и по критериям [30, 31] – линия длинных пунктиров, [32] – точечная линия, [7] – линия коротких пунктиров, [33] – штрихпунктирная линия, представлены на рис. 3. На этом рисунке видно, что в области сжимающих напряжений более простой критерий (5.3), (5.4) оказался в лучшем соответствии с опытными данными, чем критерии [30–33], и примерно в таком же соответствии, как и критерий [7]. При наличии растягивающих напряжений критерии (5.3), (5.4) и [30, 31] также примерно одинаково соответствуют опыту. Критерий (5.3), (5.4), как и ожидалось, обеспечивая запас прочности, здесь дает более консервативную оценку прочности, чем критерии [7, 32, 33].
Кроме того, на примере этих опытов можно отметить преимущество критерия (5.4). В диапазоне другие критерии не учитывают зависимость прочности от направления площадки разрушения, угол которого здесь возрастает от 0 до значения , определяемого формулой (3.3). На рис. 3 видно, что учет этой зависимости позволяет внутри данного диапазона немного снизить коэффициент запаса. Согласно (3.3), это снижение может достигать существенных значений для материалов, в которых повышено отношение прочностей при растяжении и сжатии поперек волокон.
7.3. Одноосное осевое и внеосевое растяжение-сжатие. Данные испытаний статической прочности плоских образцов, вырезанных из слоистого однонаправленного углепластика T700S/2592 в шести направлениях под углами к оси волокон, представлены на рис. 4, а, б (кружки) [20].
Проверим критерии (5.3), (5.4), (6.3) и в этом эксперименте. Характеристические прочности МПа, МПа, МПа, МПа, МПа, .
На рис. 4, а проведены теоретические кривые зависимости между пределом прочности и углом , рассчитанные по формулам (5.3), (5.4), (6.3). На рисунке видно хорошее соответствие теории и эксперимента как при растяжении, так и при сжатии.
Рис. 4
Графики зависимости , рассчитанные по критерию (5.3), (5.4), (6.3) – сплошная линия, а также по критерию [1, 4] – точечная линия, [5–7] – линия коротких пунктиров, [30] – линия длинных пунктиров и [10] – штрихпунктирная линия, приведены на рис. 4, а.
На этом рисунке видно, что по данным критериям пределы прочности при растяжении различаются несущественно, а кривые по (5.3), (5.4), (6.3) и по [5–7] практически полностью совпадают. Смена механизма потери прочности композита от разрыва волокон к сколу матрицы происходит уже при согласно (6.6), для критерия [5–7] – при 1.69° и для [1, 4] – при 7.2°. Наибольшее различие видно с критерием [1, 4] – примерно 35% при .
При сжатии , для [1, 4, 5–7] – и , соответственно. Однако по этим критериям при возрастании угла от нуля до величина прочности композита парадоксально возрастает, хотя и незначительно с 806.7 до 810.4 МПа для [5–7] и с 806.7 до 808.5 МПа для [1, 4]. Визуально кривые по (5.3), (5.4), (6.3) и по [1, 4, 5–7] практически полностью совпадают. Наибольшее различие имеет место с критерием [30] – более 46%, в точке смены механизмов разрушения. Также существенное различие с критерием [10] видно в интервале с максимумом, равным 49% в окрестности .
Переход от скола матрицы по плоскости ортогональной к плоскости волокон, который описывается линейным критерием (5.3), к сколу вдоль волокон в наклонной плоскости, который описывается квадратичным критерием (5.4), происходит при при растягивающих поперечных напряжениях и уже при при сжимающих напряжениях.
При одноосных нагружениях под углом к направлению волокон критерии (5.3), (5.4), (6.3) оказались в лучшем или в таком же соответствии с опытными данными, как и критерии [1, 4–7, 10, 30].
Заключение. Сформулирован критерий прочности однонаправленных композитов по условию адгезионного разрушения интерфейса волокно–матрица или/и когезионного разрушения матрицы между волокнами, соответствующий наименьшей разрушающей нагрузке. Найдены соотношения для определения параметров данного критерия из стандартизованных и общепринятых установочных испытаний. При объемном напряженном состоянии получено уравнение для нахождения ориентации критической площадки и приведены аналитические решения. Для случаев отсутствия касательных напряжений поперек или вдоль волокон критерии прочности даны в окончательном виде, лишь через компоненты тензора напряжений. При плоском напряженном состоянии определены диапазоны напряжений, соответствующие критической площадке, ортогональной или наклонной к плоскости волокон. Показано, что для ортогональной ориентации критической площадки полученный критерий прочности является линейным, для наклонных площадок – квадратичным.
Приведен критерий прочности по условию разрушения волокон, не допускающего парадокса увеличения прочности в области перехода от разрушения волокон к разрушению матрицы. Получены соотношения, определяющие смену механизмов потери прочности композита от разрушения волокон к разрушению матрицы, и наоборот.
Проведена экспериментальная проверка предложенных критериев и их сравнение с известными критериями прочности при объемном, плоском и одномерном нагружениях. Показано их лучшее или такое же соответствие опытным данным, как и для многих более сложных критериев. Отмечены преимущества данных критериев, обусловленные учетом в них зависимости прочности от направления площадки разрушения при наличии поперечного растяжения. Небольшое число параметров данных критериев обуславливает их надежность и устойчивость и позволяет определить их действительные значения в составе конструкции из испытаний образцов-свидетелей.
About the authors
A. I. Oleynikov
Central Aerohydrodynamic Institute; Moscow Institute of Physics and Technology (MIPT)
Author for correspondence.
Email: alexander.oleinikov@tsagi.ru
Russian Federation, Zhukovsky; Dolgoprudny
References
- Hashin Z., Rotem A. A. Fatigue failure criterion for fiber reinforced materials // J. Compos. Mater., 1973, vol. 7, pp. 448–464.
- Rabotnov Yu.N., Polilov A. N. Strength criteria for fibre-reinforced plastics // Fracture, 1977, vol. 3, pp. 1059–1065.
- Polilov A. N. Fracture criteria for interface in unidirectional composites // Izv. AN SSSR. MTT, 1978, no. 2, pp. 115–119.
- Hashin Z. Failure criteria for unidirectional fiber composites // J. Appl. Mech., 1980, vol. 47, pp. 329–334.
- Puck A. Festigkeitsanalyse von Faser-Matrix-Laminaten: Modelle für die Praxis. München; Wien: Hanser, 1996.
- Puck A., Schurmann H. Failure analysis of FRP laminates by means of physically based phenomenological models // Compos. Sci. Technol., 1998, vol. 58, pp. 1045–1067.
- Puck A., Schurmann H. Failure analysis of FRP laminates by means of physically based phenomenological models // Compos. Sci. Technol., 2002, vol. 62, pp. 1633–1662.
- Soden P.D., Hinton M. J., Kaddour A. S. A comparison of the predictive capabilities of current failure theories for composite laminates // Compos. Sci. Technol., 1998, vol. 58, pp. 1225–1254.
- Kaddour A.S., Hinton M. J., Soden P. D. A comparison of the predictive capabilities of current failure theories for composite laminates: additional contributions // Compos. Sci. Technol., 2004, vol. 64, pp. 449–476.
- Polilov A.N., Tatus N. A. Experimental substantiation of strength criteria for FRP showing directional type of fracture // PNRPU Mech. Bul., 2012, no. 2, pp. 140–166.
- Oleinikov A. I. Strength criterion variants for unidirectional polymer composites by the fracture condition of the inter-fibre when there is compression perpendicular to the fibers // Mech. of Solids, 2022, vol. 57, pp. 1740–1748.
- Thomson D.M., Cui H., Erice B., Hoffmann J., Wiegand J., Petrinic N. Experimental and numerical study of strain-rate effects on the IFF fracture angle using a new efficient implementation of Puck’s criterion // Compos. Struct., 2017, vol. 181, pp. 325–335.
- Gong Y., Huang T., Zhang X., Jia P., Suo Y., Zhao S. A reliable fracture angle determination algorithm for extended Puck’s 3D inter-fiber failure criterion for unidirectional composites // Materials, 2021, vol. 14/6325, pp. 1–14.
- Oleinikov A. I. Strength criterion for parts of aircraft models with unidirectional composites // in: Proc. XXXIII Conf. on Aerodyn. (TsAGI, Volodarka), 2022, pp. 84–85.
- Cuntze R., Deska R., Szelinski B. et al. Neue Bruchkriterien und Festigkeitsnachweise für unidirektionalen Faserkunststoffverbundunter mehrachsiger Beanspruchung – Modellbildung und Experimente. Düsseldorf: VDI Verlag, 1997. 262 s.
- Kaiser C., Kuhnel E., Obst A. Failure criteria for FRP and CMC: theory, experiments and guidelines // Europ. Conf. on Spacecr. Struct. Mater. Mech. Testing. Noordwijk, ESA, 2005, 12 p.
- Dávila C.G., Camanho P. P. Failure Criteria for FRP Laminates in Plane Stress. Hampton: NASA Langley Res. Center. NASA/TM-2003–212663, 2003. 28 p.
- Polilov A. N. Determination of strengths at bending of curvilinear specimens // Mashinoved., 1984, no. 1, pp. 54–60.
- Oleinikov A. I. Assessment of static load strength of laminated composites // TsAGI Sci. J., 2019, vol. 50 (4), pp. 411–427.
- Kawai M., Itoh N. A failure-mode based anisomorphic constant life diagram for a unidirectional carbon/epoxy laminate under off-axis fatigue loading at room temperature // J. Compos. Mater., 2014, vol. 48(5), pp. 571–592.
- Shin E.S., Pae K. D. Effects of hydrostatic pressure on the torsional shear behaviour of graphite/epoxy composites // J. Compos. Mater., 1992, vol. 26, pp. 462–485.
- Shin E.S., Pae K. D. Effects of hydrostatic pressure on in-plane shear properties of graphite/epoxy composites // J. Compos. Mater., 1992, vol. 26, pp. 828–868.
- Hinton M.J., Kaddour A. S. Benchmark data triaxial test results for fibre-reinforced composites: the second world-wide failure exercise // J. Compos. Mater., 2012, vol. 47, pp. 633–678.
- Cuntze R. The predictive capability of failure mode concept-based strength conditions for laminates composed of unidirectional laminae under static triaxial stress states // J. Compos. Mater., 2012, vol. 46, pp. 2563–2594.
- Deuschle H.M., Puck A. Application of the Puck failure theory for fibre reinforced composites under 3D-Stress: comparison with experimental results // J. Compos. Mater., 2013, vol. 47, pp. 827–846.
- Carrere N., Laurin F., Maire J.-F. Micromechanical based hybrid mesoscopic 3D approach for non-linear progressive failure analysis of composite structures // J. Compos. Mater., 2012, vol. 46, 2389–2415.
- Pinho S.T., Darvizeh R., Robinson P., et al. Material and structural response of polymer-matrix fibre-reinforced composites // J. Compos. Mater., 2012, vol. 46, pp. 2313–2341.
- Hütter U., Schelling H., Krauss H. An experimental study to determine the failure envelope of composite materials with tubular specimens under combined loads and comparison between several classical criteria // in: Failure Modes of Composite Materials with Organic Matrices and Other Consequences on Design. Munich: NATO. AGRAD. Conf. Proc., no. 163, 1974, pp. 13–19.
- Soden P.D., Hinton M. J., Kaddour A. S. Biaxial test results for strength and deformation of a range of E-glass and carbon fibre reinforced composite laminates: failure exercise benchmark data // Compos. Sci.&Technol., 2002, vol. 62, pp. 1489–1514.
- Tsai S.W., Wu E. M. A general theory of strength for anisotropic materials // J. Compos. Mater., 1971, vol. 5, pp. 58–80.
- Liu K.-S., Tsai S. W. A progressive quadratic failure criterion for a laminate // Compos. Sci. Technol., 1998, vol. 58, pp. 1023–1032.
- Rotem A. The Rotem failure criterion: theory and practice // Compos. Sci. Technol., 2002, vol. 62, pp. 1663–1671.
- Davila C.G., Camanho P. P., Rose C. A. Failure Criteria for FRP Laminates // J. Compos. Mater., 2005, vol. 39, pp. 323–345.
Supplementary files






