Собственные колебания газа в резонаторе гельмгольца с периодически изменяющимся поперечным сечением
- Авторы: Ко Ко П.1
-
Учреждения:
- Московский государственный технический университет им. Н.Э. Баумана
- Выпуск: Том 87, № 6 (2023)
- Страницы: 1006-1013
- Раздел: Статьи
- URL: https://bakhtiniada.ru/0032-8235/article/view/232548
- DOI: https://doi.org/10.31857/S0032823523060073
- EDN: https://elibrary.ru/HWCHOX
- ID: 232548
Цитировать
Полный текст
Аннотация
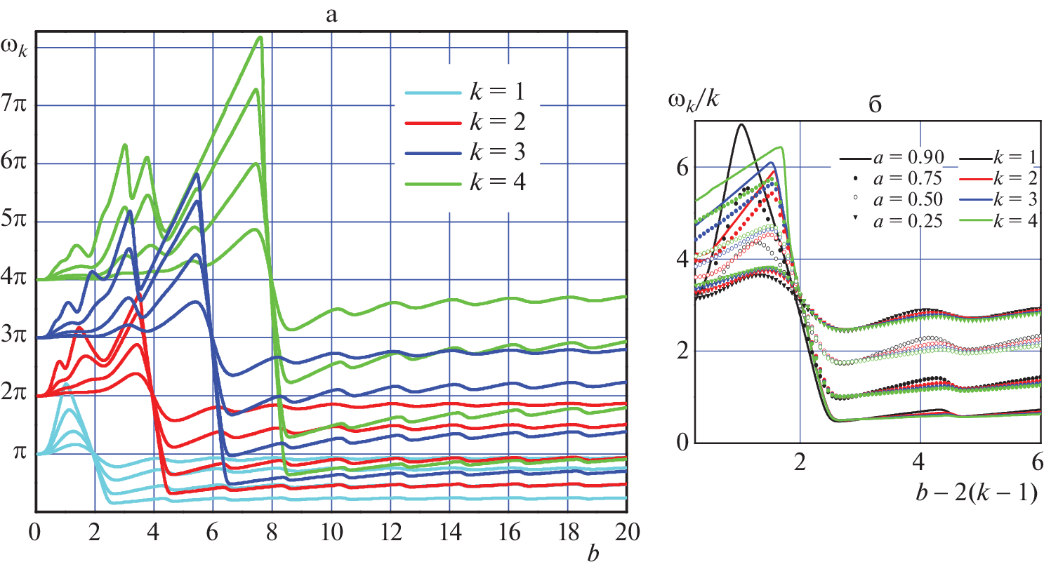
В рамках длинноволнового приближения исследованы частоты и формы собственных колебаний газа в резонаторе Гельмгольца имеющего форму трубы периодического сечения. Задача сводится к задаче Штурма–Лиувилля с краевыми условиями первого рода, решение которой проводится методом ускоренной сходимости. Проведен детальный анализ зависимостей собственных чисел и собственных функций от параметров трубы. Выявлен “автомодельный” тип зависимости собственной частоты для различных мод. Определены значения параметров периодичности трубы, при которых происходит резкое изменение собственной частоты.
Ключевые слова
Об авторах
Пьо Ко Ко
Московский государственный технический университет им. Н.Э. Баумана
Автор, ответственный за переписку.
Email: phyokoko4387@gmail.com
Россия, Москва
Список литературы
- Релей (Стретт Дж.В.) Теория звука. Т. 2. М.; Л.: ГИТТЛ, 1944. 476 с.
- Фок В.А. Теоретическое исследование проводимости круглого отверстия в перегородке, поставленной поперек трубы // Докл. АН СССР. 1941. Т. 31. № 9. С. 875–878.
- Нестеров В.С. Экспериментальное исследование проводимости круглого отверстия в перегородке, поставленной поперек трубы // Докл. АН СССР. 1941. Т. 31. № 9. С. 879–882.
- Нестеров С.В., Акуленко Л.Д., Байдулов В.Г. Собственные колебания акустического резонатора с локальной перегородкой // Докл. РАН. 2016. Т. 470. № 3. С. 279–282. https://doi.org/10.1134/S1028335816090093
- Акуленко Л.Д., Байдулов В.Г., Нестеров С.В. Зависимость собственных частот и форм колебаний идеального газа от параметров акустического резонатора // Изв. РАН. МТТ. 2017. № 1. С. 52–64. https://doi.org/10.3103/S002565441701006X
- Быков А.И., Комкин А.И., Миронов М.А. Исследование акустического импеданса отверстия при высоких уровнях звука // Уч. зап. физ. фак-та МГУ. 2017. № 5. 1751403.
- Akulenko L.D., Nesterov S.V. High Precision Methods in Eigenvalue Problems and Their Applications. Boca Raton: CRC Press, 2005. 255 p.
Дополнительные файлы







