Amplitude-Frequency Characteristics and Stability Regions of a Two-Layer Liquid Under Angular Vibrations of a Solid Body
- Authors: Ko Ko W.1, Temnov A.1
-
Affiliations:
- Bauman Moscow State Technical University
- Issue: Vol 87, No 6 (2023)
- Pages: 995-1005
- Section: Articles
- URL: https://bakhtiniada.ru/0032-8235/article/view/232547
- DOI: https://doi.org/10.31857/S0032823523060103
- EDN: https://elibrary.ru/YDLUQT
- ID: 232547
Cite item
Full Text
Abstract
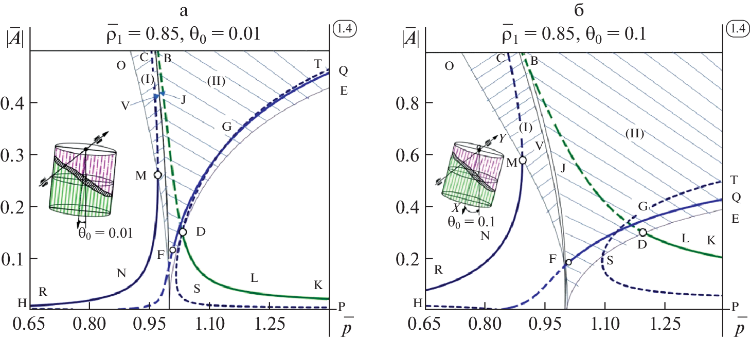
The article considers the problem of nonlinear oscillations of the motion of liquids completely filling an axisymmetric cylindrical vessel moving around a horizontal axis \(O{\kern 1pt} *{\kern 1pt} Y\). The motion of each fluid is assumed to be potential and formulated in a cylindrical coordinate system. The influence of nonlinear coefficients on the characteristics of dynamic processes during finite rotational movements of the vessel is estimated and the case of forced angular oscillations of a vessel with liquids relative to a fixed axis is considered. The main nonlinear effects associated with the rotation of the diameter of the interface of liquids are also revealed. An approximate solution of the obtained non-linear equations, found by the Bubnov-Galerkin method, was used in the article. As a result of the transformation, the amplitude-frequency characteristics and stability regions of a two-layer liquid are constructed under forced angular oscillations of a round cylindrical vessel.
About the authors
Win Ko Ko
Bauman Moscow State Technical University
Author for correspondence.
Email: win.c.latt@gmail.com
Russia, Moscow
A.N. Temnov
Bauman Moscow State Technical University
Author for correspondence.
Email: antt45@mail.ru
Russia, Moscow
References
- Akulenko L.D., Nesterov S.V. Vibrations of a solid body with a cavity containing a heavy inhomogeneous liquid // Mech. Solids, 1986, no. 1, pp. 27–36.
- Akulenko L.D., Nesterov S.V. Nonresonant vibrations of a solid body with a cavity containing a heavy two-layer liquid // Mech. Solids, 1987, no. 2, pp. 52–58.
- Lukovskii I.A. Introduction to the Nonlinear Dynamics of a Solid Body with Cavities Containing a Liquid. Kiev: Nauk. Dumka, 1990. 296 p.
- Narimanov G.S., Dokuchaev L.V., Lukovskii I.A. Nonlinear Dynamics of an Aircraft with a Liquid. Moscow: Mashinostroenie, 1977. 208 p.
- Mikishev G.N., Rabinovich B.I. Dynamics of a Solid Body with Cavities Partially Filled with Liquid. Moscow: Mashinostroenie, 1968. 532 p.
- Zhukovskii N.E. On the Motion of a Solid Body Having Cavities Filled with a Homogeneous Droplet Liquid. Moscow: Gostekhizdat, 1948. 143 p.
- Kozlov N.V., Shuvalova D.A. Experimental measurement of inertial oscillations of the interface of immiscible liquids in a horizontal cylindrical cavity during rotation // Modern Probl. Sci.&Educ., 2014, no. 6. http://www.science-education.ru/ru/article/view?id=16669
- Gaziev E.L. Modeling of natural oscillations of the “ideal capillary liquid-barotropic gas” system in a cylindrical container // Crimean Int. Math. Conf. (CIMC-2003), Abstracts, Simferopol’, KNTs NANU, 2013, vol. 3, pp. 51–52.
- Limarchenko O.S. Nonlinear Problems of Fluid Dynamics in Non-Cylindrical Tanks. Kiev: Adverta, 2017. 130 p.
- Pozhalostin A.A., Goncharov D.A. Free axisymmetric oscillations of a two-layer liquid with an elastic separator between layers in the presence of surface tension forces // Engng. J.: Sci.&Innov., 2013, no. 12 (24). doi: 10.18698/2308-6033-2013-12-1147
- Win Ko Ko, Yan Naing Oo. Nonlinear oscillations of the interface of two liquids with angular oscillations of the tank // Engng. J.: Sci.&Innov., 2021, vol. 5. doi: 10.18698/2308-6033-2020-5-2076
- Win Ko Ko, Temnov A.N. Theoretical investigation of the effects of vibrations of two immiscible liquids in a limited volume // Bull. Tomsk State Univ., Math.&Mech., 2021, no. 69. doi: 10.17223/19988621/69/8
- Win Ko Ko, Temnov A.N. Angular oscillations of a solid body with a two-layer liquid near the main resonance // Proc. MAI. 2021, no. 119. doi: 10.34759/trd-2021-119-03
- Win Ko Ko, Temnov A.N. Effects of oscillations of a two-layer liquid in an axisymmetric vessel // AIP Conf. Proc. 2318, 2021, 020004. doi: 10.1063/5.0035840
- Win Ko Ko, Temnov A.N. Research of amplitude-frequency characteristics of nonlinear oscillations of the interface of two-layered liquid // Int. J. Mech.&Mechatron. Engng., 2020, vol. 14, no. 1. pp. 7–13.
- Win Ko Ko, Temnov A.N. Experimental and theoretical studies of oscillations of stratified fluid // IOP Conf. Ser.: Materials Sci.&Engng. 468, 2018, 012031.
- Sekerzh-Zen’kovich S.Y. The free oscillations of a viscous two-layer fluid in a closed vessel // JAMM, 1990, vol. 54, no. 1, pp. 39–45.
- Kalinichenko V.A. Regularization of barotropic gravity waves in a two-layer fluid // Fluid Dyn., 2019, vol. 54, no. 6, pp. 761–773.
- La Rocca M., Sciortino G., Adduce C., Boniforti M.A. Experimental and theoretical investigation on the sloshing of a two-liquid system with free surface // Phys. Fluids, 2005, no. 17, pp. 062101.
- Camassa R., Hurley M.W., McLaughlin R.M., Passaggia P.-Y., Thomson C.F.C. Experimental investigation of nonlinear internal waves in deep water with miscible fluids // J. Ocean Engng.&Marine Energy, 2018, vol. 4, pp. 243–257.




