The Dynamics of Small Satellites with the Three-Axial Gravitational Damper
- Authors: Aslanov V.S.1, Doroshin A.V.1
-
Affiliations:
- Samara National Research University
- Issue: Vol 87, No 5 (2023)
- Pages: 729-741
- Section: Articles
- URL: https://bakhtiniada.ru/0032-8235/article/view/232502
- DOI: https://doi.org/10.31857/S003282352305003X
- EDN: https://elibrary.ru/QHRPJS
- ID: 232502
Cite item
Full Text
Abstract
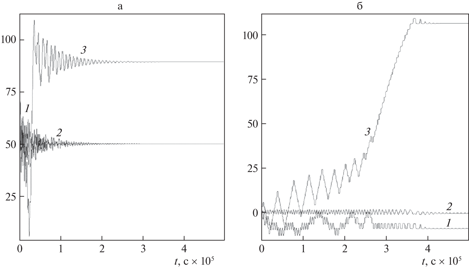
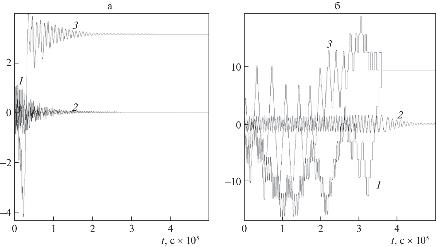
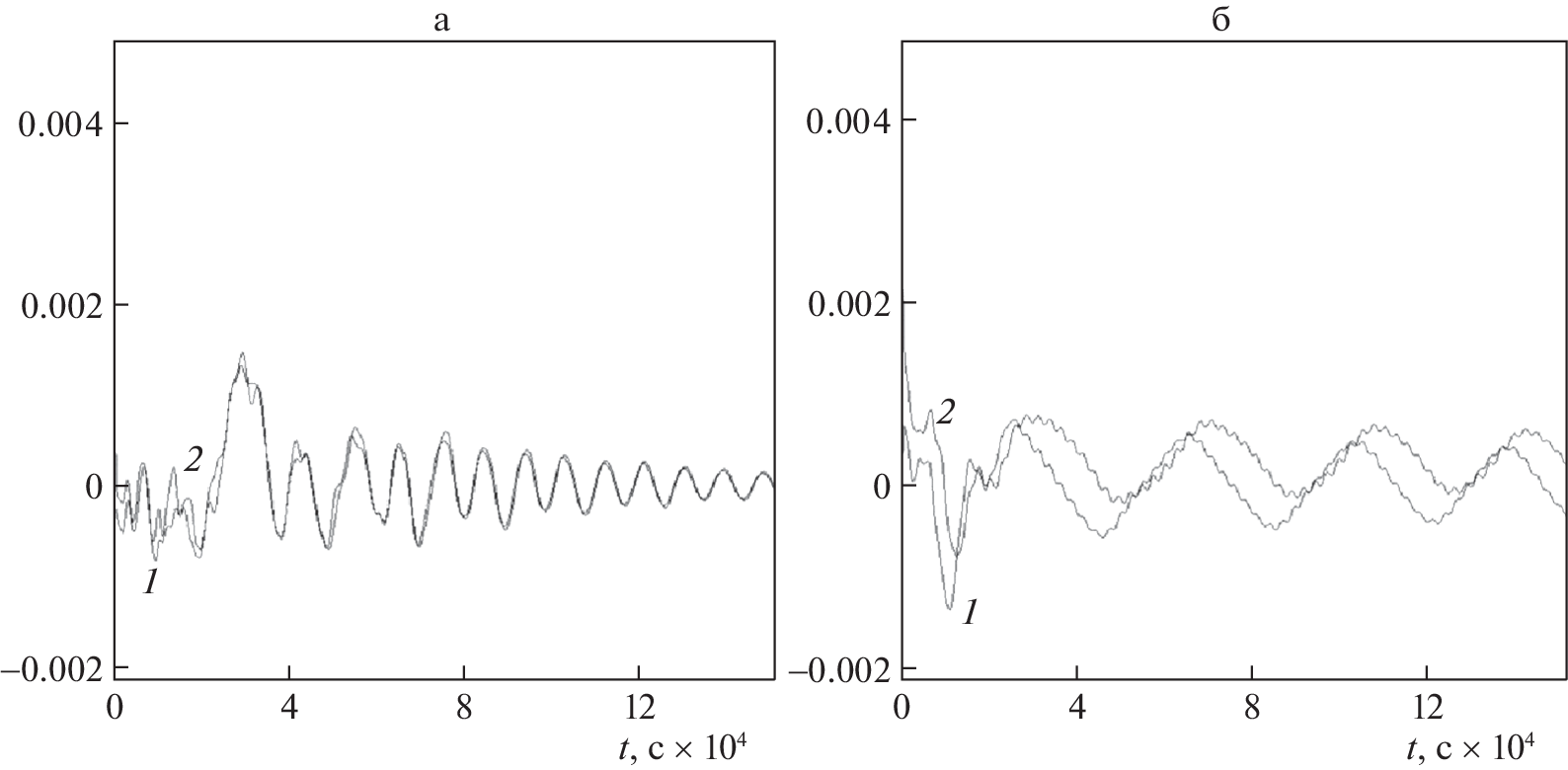
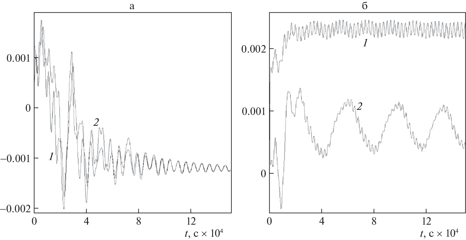
The questions of the dynamics of the angular motion of nanosatellites with gravitational dampers are considered. The damper is a solid body rotating in a spherical cavity with a viscous liquid filling and creating internal friction with the dissipation of the kinetic energy of the angular motion. Unlike classical models of similar viscous dampers using the M.A. Lavrentiev with spherical dynamic symmetry of the body-damper, in this work the body-damper has a central triaxial ellipsoid of inertia, which increases the efficiency of interaction with an external gravitational field. This makes it possible to use almost any autonomous nanosatellite assembly as such an internal body-damper, placing it in a sealed spherical shell inside a spherical cavity with a viscous liquid in the center of mass of the main body-satellite body. The presence of a three-axis inertia tensor of the damper body changes and complicates the mathematical model of the angular motion in comparison with the classical one, which can be considered as a certain generalization and development of research in this direction.
About the authors
V. S. Aslanov
Samara National Research University
Author for correspondence.
Email: aslanov_vs@mail.ru
Russia, Samara
A. V. Doroshin
Samara National Research University
Email: aslanov_vs@mail.ru
Russia, Samara
References
- Ishlinsky A.Yu. Activities of M.A. Lavrentiev in the Academy of Sciences of the Ukrainian SSR // J. Appl. Mech.&Tech. Phys., 1960, no. 3, pp. 16–19.
- Chernousko F.L. Movement of a Rigid Body with Cavities Containing a Viscous Fluid. Moscow: Comput. Center of the AS USSR, 1968.
- Chernousko F.L. On the motion of a rigid body containing a spherical damper // J. Appl. Mech.&Tech. Phys., 1968, vol. 1, pp. 73–79.
- Chernousko F.L., Akulenko L.D., Leshchenko D.D. Evolution of Motions of a Rigid Body Relative to the Center of Mass. Izhevsk: Izhevsk Inst. for Comp. Res., 2015. 308 p.
- Akulenko L.D., Leshchenko D.D., Chernousko F.L. Rapid motion around a fixed point of a heavy rigid body in a resisting medium // Izv. AN SSSR. Mech. Rigid Body, 1982, no. 3, pp. 5–13.
- Akulenko L.D. Asymptotic Methods of Optimal Control. Moscow: Nauka, 1987. 365 p.
- Akulenko L.D., Leshchenko D.D., Rachinskaya A.L., Shchetinina Yu.S. Evolution of perturbed rotations of an asymmetric gyro in a gravitational field and a resisting medium // Mech. Solids, 2016, vol. 51, no. 4, pp. 406–414.
- Akulenko L.D., Leshchenko D.D., Rachinskaya A.L. Evolution of the rotations of a satellite with a cavity filled with a viscous fluid // Rigid Body Mech., 2007, iss. 37, pp. 126–139.
- Akulenko L.D., Zinkevich Ya.S., Leshchenko D.D., Rachinskaya A.L. Rapid rotation of a satellite with a cavity filled with a viscous fluid under the action of moments of gravitational forces and light pressure // Cosm. Res., 2011, vol. 49, no. 5, pp. 453–463.
- Amel’kin N.I., Kholoshchak V.V. On the stability of stationary rotations of a satellite with internal damping in a central gravitational field // JAMM, 2017. vol. 81, no. 2, pp. 123–136.
- Kholoshchak V.V. Dynamics of rotational motion of a satellite with a damper in a central gravitational field // Proc. MIPT, 2017, vol. 9, no. 4 (36), pp. 106–119.
- Amel’kin N.I., Kholoshchak V.V. Rotational motion of an asymmetric satellite with a damper in a circular orbit // JAMM, 2019, vol. 83, iss. 1, pp. 16–31.
- Amel’kin N.I., Kholoshchak V.V. Evolution of the rotational movement of a dynamically symmetric satellite with inner damping in a circular orbit // Mech. Solids, 2019, vol. 54, iss. 2, pp. 179–189. https://doi.org/10.3103/S0025654419030014
- Amel’kin N.I. On asymptotic properties of satellite motions in a central field due to internal dissipation // JAMM, 2011, vol. 75, no. 2, pp. 204–223.
- Amel’kin N.I., Kholoshchak V.V. Stability of the steady rotations of a satellite with internal damping in a central gravitational field // JAMM, 2017, vol. 81, iss. 2, pp. 85–94.
- Sidorenko V.V. Evolution of the rotational motion of a planet with a liquid core // Astron. Mess., 1993, vol. 27, no. 2, pp. 119–127.
- Applied celestial mechanics and motion control. Coll. articles dedicated to the 90th anniversary of the birth of D.E. Okhotsimsky / Comp. by: Eneev T.M., Ovchinnikov M.Yu., Golikov A.R.. Moscow: IPM im. M.V. Keldysh, 2010. 368 p.
- Morozov V.M., Kalenova V.I. Satellite control using magnetic moments: controllability and stabilization algorithms // Cosm. Res., 2020, vol. 58, no. 3, pp. 199–207.
- Doroshin A.V. Gravitational dampers for unloading angular momentum of nanosatellites // in: Advances in Nonlinear Dynamics. NODYCON Conf. Proc. Ser. / Ed. by Lacarbonara W., Balachandran B. et al. Vol. 1. Springer, 2022. pp. 257–266.
- Amel’kin N.I., Kholoshchak V.V. Rotational motion of a non-symmetrical satellite with a damper in a circular orbit // Mech. Solids, 2019, vol. 54, pp. 190–203.
- Amel’kin N.I. Evolution of rotational motion of a planet in a circular orbit under the influence of internal elastic and dissipative forces //Mech. Solids, 2020, vol. 55, pp. 234–247.
- Winfree P.K., Cochran Jr J.E. Nonlinear attitude motion of a dual-spin spacecraft containing spherical dampers // J. Guidance, Control, & Dyn., 1986, vol. 9, no. 6, pp. 681–690.
- Davis L.K. Motion damper. U.S. Patent No. 3,399,317. Washington, DC: U.S. Patent and Trademark Office, 1968.
- Ivanov D.S., Ovchinnikov M.Y., Penkov V.I., Ivanova T.A. Modeling a nanosatellite’s angular motion damping using a hysteresis plate // Math. Models&Comput. Simul., 2020, vol. 12, pp. 816–823.
- Ovchinnikov M.Y., Roldugin D.S. A survey on active magnetic attitude control algorithms for small satellites // Progr. in Aerosp. Sci., 2019, vol. 109, pp. 100546.
- Roldugin D.S., Ovchinnikov M.Y. Wobble of a spin stabilized satellite with cross products of inertia and magnetic attitude control // Adv. in Space Res., 2023, vol. 71, no. 1, pp. 408–419.
Supplementary files










