Исследование воздействия дестабилизирующих факторов на параметры силовых элементов конверторов
- Authors: Авдзейко В.И.1, Дроздова A.A.1, Рулевский В.M.1, Ляпунов Д.Ю.1,2
-
Affiliations:
- Томский государственный университет систем управления и радиоэлектроники
- Национальный исследовательский Томский политехнический университет
- Issue: No 6 (2024)
- Pages: 53-64
- Section: ЭЛЕКТРОНИКА И РАДИОТЕХНИКА
- URL: https://bakhtiniada.ru/0032-8162/article/view/288470
- DOI: https://doi.org/10.31857/S0032816224060063
- EDN: https://elibrary.ru/ELOITS
- ID: 288470
Cite item
Full Text
Abstract
Проведено исследование воздействия основных 10 дестабилизирующих факторов на параметры силовых элементов конверторов. Конверторы, работающие в ключевом режиме, создают пульсации напряжения и тока в питающей сети и на входе подключаемых потребителей. Для уменьшения величины пульсаций предлагается использовать схемы с неполным диапазоном регулирования выходного напряжения, формирующие постоянную нерегулируемую и импульсную регулируемую составляющие в форме потребляемого тока и напряжения на входе выходного фильтра. В таких схемах нерегулируемая составляющая обеспечивает передачу электроэнергии потребителям без регулирования и фильтрации ее параметров, а снижение амплитуды регулируемой импульсной составляющей позволяет уменьшить индуктивность дросселей и емкость конденсаторов входных и выходных фильтров, следовательно, улучшить их массогабаритные показатели. Установлена зависимость размаха пульсаций тока дросселей и напряжения на конденсаторах фильтров от величины относительной импульсной составляющей напряжения. Исследование проведено на модели конвертора, созданной с использованием программы MATLAB Simulink. Результаты исследований получены для схем с неполным и полным диапазонами регулирования выходного напряжения, анализ которых доказал перспективность предложенной схемы.
Full Text
1. ВВЕДЕНИЕ
Основными устройствами в системах электропитания (СЭП) являются преобразователи электрической энергии, предназначенные для согласования электрических параметров первичного источника с входными параметрами потребителей. В системах постоянного тока для этих целей применяются преобразователи постоянного тока в постоянный ток (далее — конверторы).
Регулирование выходных параметров конверторов осуществляется путем изменения длительности проводящего состояния ключей и частоты их коммутации, а снижение влияния на питающую сеть и на работу потребителей обеспечивается сглаживающими входными и выходными LC-фильтрами. Традиционно конверторы создаются на базе схем с полной коммутацией потребляемого тока, что приводит к необходимости использования силовых ключей и элементов фильтров из условия регулирования и фильтрации полной преобразуемой мощности. Повышение частоты коммутации ключей в одно- и двухтактных схемах конверторов позволяет уменьшить параметры фильтров, но при полной коммутации тока оно не меняет ни характера потребляемого тока, ни формы напряжения на входе выходного фильтра [1]. Уменьшить величину импульсной составляющей позволяют многофазные схемы [2, 3], а также схемы с неполной (частичной) глубиной модуляции регулируемого тока [4, 5], имеющие постоянную нерегулируемую и импульсную регулируемую составляющие напряжения на входе выходного фильтра. Снижение амплитуды регулируемой импульсной составляющей позволяет уменьшить индуктивность дросселей и емкость конденсаторов входных и выходных фильтров и, следовательно, улучшить их массогабаритные показатели (МГП). Основные недостатки приведенных схем — наличие гальванической связи между входными и выходными цепями и недостаточная выходная мощность.
Перспективным путем улучшения СЭП средней и большой мощности, по мнению авторов, является построение конверторов с неполным диапазоном регулирования выходного напряжения на базе как минимум двух инверторов, один из которых формирует нерегулируемую, а второй — регулируемую импульсную составляющие напряжения на входе выходного фильтра. Амплитуда напряжения импульсной составляющей (Uрег) выбирается исходя из требуемого диапазона регулирования выходного напряжения, она влияет на размах пульсаций тока дросселей и напряжения на конденсаторах входных и выходных фильтров. Нерегулируемая составляющая (Uнр) обеспечивает передачу электроэнергии потребителям без регулирования и фильтрации ее параметров. Величина относительной импульсной составляющей n = Uрег/Uн, равная отношению регулируемой импульсной составляющей к напряжению нагрузки (Uн), является косвенным критерием оценки параметров фильтров и оптимизации структуры конверторов.
Цель работы — определение влияния изменений параметров первичного источника, подключаемой нагрузки, частоты преобразования и относительной импульсной составляющей на размах пульсаций тока дросселей, напряжения на конденсаторах фильтров и амплитуду регулируемого тока.
Критериями влияния воздействия данных факторов выбраны размах пульсаций тока дросселей и напряжения на конденсаторах входных и выходных фильтров. Результаты воздействия получены для схемы с неполным диапазоном регулирования выходного напряжения (далее — предложенная схема) в сравнении со схемой с полным диапазоном регулирования выходного напряжения (далее — схема прототипа).
2. СХЕМА КОНВЕРТОРА С НЕПОЛНОЙ ГЛУБИНОЙ МОДУЛЯЦИИ РЕГУЛИРУЕМОГО ТОКА
На рис. 1а приведена упрощенная схема предлагаемого конвертора в составе входного фильтра (ВФ), нерегулируемого инвертора И1, регулируемого инвертора И2, выпрямителя (В), выходного фильтра (ВыхФ) и нагрузки Rн. Входной фильтр предназначен для устранения влияния конвертора на питающую сеть, а выходной — для обеспечения требуемого качества выходного напряжения. На рис. 1б, в показаны диаграммы тока на выходе входного фильтра (тока потребления инверторов И1 и И2) и напряжения на входе выходного фильтра (на выходе выпрямителя).
Рис. 1. Схема конвертора (а) и диаграммы тока на выходе входного фильтра Iп (б) и напряжения на входе выходного фильтра Uвх (в).
Выходное нерегулируемое напряжение инвертора И1 (Uнр) выполняется со 180-градусным управлением, а выходное регулируемое напряжение инвертора И2 (Uрег) — с регулируемой длительностью от 0 до 180 эл. градусов. Последовательное соединение выходных обмоток трансформаторов Тр1 и Тр2 позволяет получить на входе выпрямителя переменное напряжение прямоугольной формы, а на его выходе — суммарное напряжение Uнр + Uрег (Uвх, рис. 1в). Амплитуда и длительность Uрег оказывают влияние на характер потребляемого тока и качество выходного напряжения конвертора, на параметры фильтров и ключей инверторов, а также на диапазон регулирования выходного напряжения (Uн). Для оценки этого влияния использовалась относительная величина импульсной составляющей n.
3. ОБОСНОВАНИЕ ВЫБОРА МЕТОДА ИССЛЕДОВАНИЯ
Анализ конвертора, содержащего входной и выходной фильтры, выпрямитель, два инвертора напряжения, один из которых имеет изменяемую длительность и амплитуду выходного напряжения, при изменении входных и выходных параметров конвертора, частоты преобразования, выходного тока, при наличии режимов прерывистых токов, а также при воздействии многих других дестабилизирующих факторов, является сложной задачей [1]. В известных публикациях анализ конверторов сводится к исследованию влияния ограниченного количества воздействующих факторов на параметры его силовых элементов, к оценке и расчету размаха пульсации входного тока или выходного напряжения, к расчету параметров входных или выходных фильтров. Авторы публикации [6] предлагают использовать традиционный подход к расчету параметров L и C, эффективное подавление пульсаций при которых обеспечивается выбором величины конденсатора с малым емкостным сопротивлением по сравнению с сопротивлением нагрузки, а дросселя с большим индуктивным сопротивлением — по отношению к сопротивлению нагрузки. Автор статьи [7] утверждает, что повышение эффективности фильтрации следует осуществлять путем усложнения и комбинации схем сглаживающих фильтров, например с режекторными или резонансными цепочками. Известна публикация [8], авторы которой используют интуитивный подход к нахождению значений L и C фильтров и рекомендуют применять метод проб и ошибок для нахождения их оптимальных параметров. В статье [9] рассмотрены вопросы фильтрации пульсации токов и напряжений путем установки дополнительных контроллеров, предназначенных для обеспечения заданных качественных входных и выходных параметров СЭП и подавления помех в питающей сети. Авторы работ [10] для обеспечения стабильности выходных параметров обращают внимание на обязательное согласование выходного сопротивления входного фильтра с входным сопротивлением конвертора. Для снижения трудоемкости процесса вычисления в ряде публикаций были предложены упрощенные методики расчета выходных фильтров. Например, в работе [11] предложена методика упрощенного расчета параметров LC-фильтров, в основу которой положен критерий минимума массы и габаритов при заданном значении превышения максимальной величины тока дросселя над средней величиной тока нагрузки. Автор статьи [12] разработал упрощенную методику расчета LC-фильтра, основанную на выборе допустимой величины пульсаций тока дросселя с учетом времени заряда конденсатора и времени коммутации в цепи нагрузки. В публикациях [13, 14] анализ и расчет предлагается осуществлять путем решения алгебраических уравнений или с помощью коммутационных функций, причем точный расчет элементов фильтра достигается только при решении сложных математических уравнений. Трудоемкость решения значительно усложняется при анализе конверторов с входными и выходными фильтрами, при регулировании выходных параметров, тем более при воздействии дестабилизирующих факторов. Чтобы избежать решения сложных уравнений, а также чтобы затем не доказывать точность используемых методик и не оценивать правомерность принятых допущений, авторы работы [15] предлагают находить оптимальные параметры схем конверторов путем их экспериментального подбора в процессе моделирования.
Отсутствие готовых методов анализа конверторов и необходимость учета воздействия большого количества дестабилизирующих факторов, влияющих на параметры силовых элементов конвертора, склонили авторов к выводу о целесообразности исследования предложенной схемы на базе модели, созданной с помощью программы MATLAB Simulink.
3.1. Постановка задачи исследования
По схеме рис. 1а была создана модель конвертора. При построении модели приняты допущения об идеальности силовых элементов схемы и первичного источника электропитания, мгновенной коммутации ключей, активном сопротивлении нагрузки, а также о неизменности тока нагрузки и напряжения источника питания в процессе проведения исследования. Критериями оценки влияния воздействия исследуемых факторов выбраны размах пульсаций тока дросселей (ΔIL1, ΔIL2) и напряжения на конденсаторах (ΔUC1 и ΔUC2) входных и выходных фильтров.
Базовыми параметрами схемы выбраны входное напряжение Uвх = 300 В, выходное напряжение на нагрузке Uн max = 300 В, выходное номинальное напряжение Uном = 225 В, диапазон регулирования выходного напряжения (d) от 150 до 300 В, максимальная выходная мощность Pн = 1000 ВА при Uн = 300 В, номинальное сопротивление нагрузки Rн = 87.23 Ом, частота коммутации инверторов f = 10 кГц, длительность выходных импульсов нерегулируемого инвертора И1 Θ = 180°; длительность регулируемого выходного напряжения инвертора И2 в процессе исследования изменялась от 0 до 180°.
Результаты воздействия получены для предложенной схемы с неполным n = 0.1–0.9 (далее — предлагаемая схема) и схемы с полным диапазоном регулирования выходного напряжения n = 1 (далее — схема прототипа), у которой отсутствует инвертор И1, а выходное напряжение регулируется от 0 до 300 В.
4. ИССЛЕДОВАНИЯ ВОЗДЕЙСТВИЯ ДЕСТАБИЛИЗИРУЮЩИХ ФАКТОРОВ НА СИЛОВЫЕ ЭЛЕМЕНТЫ КОНВЕРТОРА
4.1. Влияние длительности импульсов регулируемого напряжения
Номинальные параметры фильтров L1 = = 1.1 мГн, С1 = 80 мкФ, L2 = 1.2 мГн, С2 = 65 мкФ выбраны из следующих условий: размах пульсаций потребляемого тока (ΔIL1) во всех режимах исследования не должен превышать 0.1Iн max, размах пульсаций напряжения на конденсаторах (ΔUC1, ΔUС2) не должен превышать 0.1% Uн max во всем диапазоне изменения относительной длительности регулируемого напряжения Θ от 0.01 до 0.95 Uн max.
Таблица 1. Размах пульсаций ΔUC и ΔIL как функция Θ при n = 0.5 и n = 1.0
n = 0.5 (предлагаемая схема) | |||||||||||
Θ | 0.01 | 0.1 | 0.2 | 0.3 | 0.4 | 0.5 | 0.6 | 0.7 | 0.8 | 0.9 | 0.95 |
ΔIL1, мА | 0.074 | 0.367 | 0.719 | 1.0 | 1.3 | 1.4 | 1.4 | 1.3 | 1.0 | 0.596 | 0.373 |
ΔUC1, В | 0.013 | 0.059 | 0.112 | 0.155 | 0.19 | 0.21 | 0.214 | 0.201 | 0.164 | 0.099 | 0.064 |
ΔIL2, А | 0.118 | 0.539 | 0.953 | 1.254 | 1.443 | 1.506 | 1.443 | 1.254 | 0.953 | 0.539 | 0.339 |
ΔUC2, В | 0.011 | 0.054 | 0.096 | 0.126 | 0.144 | 0.150 | 0.144 | 0.126 | 0.096 | 0.054 | 0.034 |
Uвых, В | 150 | 165 | 180 | 195 | 210 | 225 | 240 | 255 | 270 | 285 | 290 |
n = 1 (схема прототипа) | |||||||||||
Θ | 0.5 | 0.55 | 0.6 | 0.65 | 0.7 | 0.75 | 0.8 | 0.85 | 0.9 | 0.95 | 0.99 |
ΔIL1, мА | 1.9 | 2 | 2.2 | 2.2 | 2.2 | 2.1 | 1.9 | 1.5 | 1.1 | 0.714 | 0.25 |
ΔUC1, В | 0.295 | 0.315 | 0.337 | 0.346 | 0.342 | 0.331 | 0.297 | 0.239 | 0.187 | 0.122 | 0.044 |
ΔIL2, А | 2.994 | 2.974 | 2.869 | 2.675 | 2.495 | 2.275 | 1.896 | 1.432 | 1.072 | 0.673 | 0.234 |
ΔUC2, В | 0.299 | 0.297 | 0.286 | 0.268 | 0.251 | 0.229 | 0.19 | 0.143 | 0.107 | 0.067 | 0.023 |
Uвых, В | 150 | 165 | 180 | 195 | 210 | 225 | 240 | 255 | 270 | 285 | 290 |
В табл. 1 приведены значения размаха пульсаций тока дросселей и напряжения на конденсаторах сравниваемых схем для диапазона регулирования выходного напряжения от 150 до 300 В.
В предлагаемой схеме размах пульсаций у входного фильтра (ΔUC1 и ΔIL1) меньше в 1.6 раза, а размах пульсаций у выходного фильтра (ΔIL2 и ΔUC2) — в 2 раза меньше, чем в схеме прототипа во всем диапазоне изменения Θ. Пульсации тока дросселя и напряжения на конденсаторе выходного фильтра при Θ = 0.5 достигают максимальных значений при любых значениях n.
4.2. Влияние относительной импульсной составляющей
Измерения проводились в диапазоне изменения n от 0.1 до 1.0. Для каждого значения n фиксировались значения Θ, при которых размахи пульсации тока дросселей и напряжения на конденсаторах фильтров достигали максимальных значений. Полученные данные сведены в табл. 2. В предлагаемой схеме амплитуда регулируемой составляющей Uрег = Uнр = 150 В (n = 0.5), а в схеме прототипа Uрег = 300 В (n = 1.0).
Таблица 2. Зависимости максимального размаха пульсаций ΔIL и ΔUC от n
n | 0.1 | 0.3 | 0.5 | 0.7 | 0.9 | 1.0 |
ΔIL1 max, мА | 0.376 | 0.972 | 1.4 | 1.8 | 2.1 | 2.2 |
ΔUC1 max, В | 0.056 | 0.144 | 0.214 | 0.272 | 0.317 | 0.342 |
ΔIL2 max, А | 0.301 | 0.903 | 1.506 | 2.108 | 2.710 | 2.994 |
ΔUC2 max, В | 0.03 | 0.09 | 0.150 | 0.210 | 0.270 | 0.299 |
Uвых, В | 285 | 255 | 225 | 195 | 165 | 150 |
δ, В | 270–300 | 210–300 | 150–300 | 90–300 | 30–300 | 0–300 |
При n ≤ 0.5 максимальные пульсации наблюдаются при Θ = 0.5; для n ≥ 0.5–0.7 при Θ = 0.6; а для n ≥ 0.7 — при Θ > 0.65. Приведенные данные в табл. 2 характеризуют влияние регулируемой импульсной составляющей на диапазон регулирования выходного напряжения и на размах пульсаций тока дросселей и напряжения на конденсаторах фильтров, а следовательно, на индуктивность дросселей и емкость конденсаторов. В предлагаемой схеме у входного фильтра размах пульсаций ΔIL1 меньше в 1.43 раза, ΔUC1 в 6.1 раз, а у выходного фильтра размах пульсаций ΔIL2 и ΔUC2 почти в 10 раз меньше, чем в схеме прототипа.
4.3. Влияние длительности регулируемых импульсов на амплитуду тока регулируемых транзисторов
Амплитуда токов транзисторов как функция Θ в исследуемых схемах фиксировалась при одинаковых значениях Uн и Rн. Полученные значения амплитуды тока регулируемого ITV1 (И2) и нерегулируемого ITV1 (И1) транзисторов, тока нагрузки Iн и выходного напряжения Uн в предлагаемой схеме сведены в табл. 3.
Таблица 3. Максимальный ток транзисторов в предлагаемой схеме
Θ | 0.1 | 0.2 | 0.3 | 0.4 | 0.5 | 0.6 | 0.7 | 0.8 | 0.9 | 0.95 |
ITV1 (И2), А | 1.2 | 1.4 | 1.56 | 1.69 | 1.8 | 1.85 | 1.89 | 1.89 | 1.86 | 1.84 |
ITV1 (И1), А | 1.15 | 1.35 | 1.52 | 1.65 | 1.76 | 1.83 | 1.87 | 1.88 | 1.86 | 1.84 |
Iн, А | 1.87 | 2.04 | 2.21 | 2.39 | 2.56 | 2.73 | 2.9 | 3.07 | 3.25 | 3.32 |
Uн, В | 165 | 180 | 195 | 210 | 225 | 240 | 255 | 270 | 285 | 290 |
Таблица 4. Максимальный ток транзисторов И2 в схеме прототипа
Θ | 0.5 | 0.6 | 0.7 | 0.8 | 0.9 | 0.95 |
ITV1 (И2), А | 3.41 | 3.69 | 3.84 | 3.87 | 3.77 | 3.69 |
Iн, А | 1.7 | 2.05 | 2.39 | 2.74 | 3.08 | 3.22 |
Uн, В | 150 | 180 | 210 | 240 | 270 | 280 |
В табл. 4 приведены амплитуды регулируемого тока инвертора И2 для схемы прототипа. Инвертор И1, формирующий нерегулируемую составляющую выходного напряжения, в схеме прототипа отсутствует. Выходное напряжение регулировалось в диапазоне от 150 до 300 В, измерения размаха пульсаций проводились при тех же значениях токов и напряжения нагрузки, что и для предлагаемой схемы.
В предлагаемой схеме при номинальной нагрузке (Rн = 87.23 Ом) и изменении выходного напряжения Uн в диапазоне 150–300 В амплитуда тока регулируемого транзистора в 2–3 раза меньше, чем в схеме прототипа. Некоторые расхождения в показателях объясняются изменением формы тока в сравниваемых схемах.
4.4. Влияние напряжения первичного источника питания
Исследование влияния напряжения первичного источника питания на размах пульсаций тока дросселей и напряжения на конденсаторах фильтров проведено при изменении напряжения питания конвертора от 270 до 330 В (Uном ± 10%). Длительность регулируемых импульсов выбрана равной 0.5, при этой величине размах пульсаций достигает максимальных значений.
В предлагаемой схеме при изменении Uвх от 270 до 330 В только пульсация тока дросселя увеличилась в 1.33 раза, изменение размаха пульсаций на остальных элементах фильтров у сравниваемых схем произошло в 1.22 раза. В среднем размах пульсаций на элементах фильтров прямо пропорционален входному напряжению первичного источника электропитания. Размах пульсаций в схеме прототипа в 2 раза больше, чем в предлагаемой схеме (табл. 5).
Таблица 5. Размах пульсаций при изменении Uвх
Uвх, В | 270 | 285 | 300 | 315 | 330 |
Предлагаемая схема | |||||
ΔIL1, мА | 1.2 | 1.3 | 1.4 | 1.5 | 1.6 |
ΔUC1, В | 0.189 | 0.199 | 0.21 | 0.221 | 0.231 |
ΔIL2, А | 1.355 | 1.43 | 1.506 | 1.581 | 1.656 |
ΔUC2, В | 0.135 | 0.143 | 0.15 | 0.158 | 0.165 |
Схема прототипа | |||||
ΔIL1, мА | 1.8 | 1.9 | 2 | 2.1 | 2.2 |
ΔUC1, В | 0.265 | 0.279 | 0.295 | 0.309 | 0.324 |
ΔIL2, А | 2.694 | 2.844 | 2.994 | 3.145 | 3.295 |
ΔUC2, В | 0.269 | 0.284 | 0.299 | 0.314 | 0.329 |
4.5. Влияние выходного напряжения
Исследовалось влияние величины выходного напряжения на размах пульсаций токов дросселей и напряжения на конденсаторах фильтров при изменениях выходного напряжения от 150 до 300 В при Rн = const. По результатам измерений построены диаграммы размаха пульсаций тока дросселей и напряжения на конденсаторах входных и выходных фильтров в зависимости от выходного напряжения (рис. 2).
Рис. 2. Размах пульсаций на элементах входного (а, б) и выходного (в, г) фильтров при изменении выходного напряжения.
В предлагаемой схеме размахи пульсаций ΔIL1 и ΔUC1 входного фильтра достигают максимального значения при Uн = 240 В, а в схеме прототипа при Uн = 216 В. Размах пульсаций у выходного фильтра в предлагаемой схеме достигает максимального значения при Uн = 225 В, а в схеме прототипа — при Uн = 195 В.
В предлагаемой схеме размах пульсаций ΔUC1 в 1.62 раза, ΔIL1 — в 1.57 раза, а ΔIL2 и ΔUC2 — в 2 раза меньше, чем в схеме прототипа, что повторяет показатели, приведенные в табл. 1.
4.6. Влияние тока нагрузки
Исследование влияния тока нагрузки на размах пульсаций тока дросселей и напряжений на конденсаторах фильтров проведено при Uн ном = 225 В, токе нагрузки Iн ном = 2.56 А, при номинальных параметрах фильтров L1 = 1.1 мГн, С1 = 80 мкФ, L2 = 1.2 мГн, С2 = 65 мкФ в диапазоне изменения тока нагрузки от 0.2Iн ном до 1.2Iн max. Полученные результаты для сравниваемых схем приведены в табл. 6.
Таблица 6. Размах пульсаций тока дросселей и напряжений на конденсаторах фильтров при изменении тока нагрузки
Предлагаемая схема | ||||||||||||
Параметры | Iн = Imax | Iн = 1.0Iн ном | Iн = 0.8Iн ном | Iн = 0.6Iн ном | Iн = 0.4Iн ном | Iн = 0.3Iн ном | Iн = 0.2Iн ном | |||||
Rн, Ом | 65 | 87.23 | 110 | 145 | 220 | 295 | 440 | |||||
Iн, А | 3.44 | 2.56 | 2.048 | 1.536 | 1.024 | 0.768 | 0.512 | |||||
ΔIL1, мА | 1.8 | 1.4 | 1.2 | 1.1 | 0.89 | 0.83 | 0.76 | |||||
ΔUC1, В | 0.27 | 0.21 | 0.17 | 0.15 | 0.12 | 0.11 | 0.10 | |||||
ΔIL2, А | 1.51 | 1.51 | 1.51 | 1.51 | 1.51 | 1.51 | 1.03 | |||||
ΔUC2, В | 0.15 | 0.15 | 0.15 | 0.15 | 0.15 | 0.15 | 0.14 | |||||
L2, мГн | 1.2 | 1.2 | 1.2 | 1.2 | 1.2 | 1.2 | 1.2 | |||||
Uн, В | 225 | 225 | 225 | 225 | 225 | 225 | 225 | |||||
Схема прототипа | ||||||||||||
Параметры | Iн = Imax | Iн = 1.0Iн ном | Iн = 0.8Iн ном | Iн = 0.6Iн ном | Iн = 0.4Iн ном | |||||||
Rн, Ом | 65 | 87.23 | 110 | 145 | 220 | |||||||
Iн, А | 3.44 | 2.56 | 2.048 | 1.536 | 1.024 | |||||||
ΔIL1, мА | 2.5 | 2.1 | 1.8 | 1.5 | 1.3 | |||||||
ΔUC1, В | 0.41 | 0.33 | 0.28 | 0.24 | 0.197 | |||||||
ΔIL2, А | 2.16 | 2.16 | 2.16 | 2.16 | 2.04 | |||||||
ΔUC2, В | 0.229 | 0.229 | 0.229 | 0.229 | 0.21 | |||||||
L2, мГн | 1.2 | 1.2 | 1.2 | 1.2 | 1.2 | |||||||
Uн, В | 225 | 225 | 225 | 225 | 225 | |||||||
В предлагаемой схеме при токе нагрузки 0.2Iн ном, равном 0.512 А, размах пульсаций тока дросселя выходного фильтра ΔIL2/2 также равен 0.512 А. При дальнейшем уменьшении Iн возникает режим прерывистого тока. Следовательно, диапазон регулирования тока нагрузки от Iн max, составляющего 3.44 А, до 0.512 А равен 0.85. В схеме прототипа режим прерывистого тока имеет место при Iн больше 0.4Iн ном, поэтому диапазон регулирования тока нагрузки равен 0.7, что меньше, чем у предлагаемой схемы, на 15%. Размах пульсаций токов дросселей и напряжений на конденсаторах фильтров в 1.43–1.52 раза меньше у предлагаемой схемы. При максимальном токе нагрузки (Iн max = 3.44 А) размах пульсаций в ней не превышает требуемых значений, а в схеме прототипа размах пульсаций конденсатора входного фильтра равен 0.41 В, что на 36.6% больше допустимой величины, и для ее снижения необходимо увеличивать емкость конденсатора С1. Размах пульсаций тока дросселя и напряжения на конденсаторе выходного фильтра не зависят от тока нагрузки при неизменной величине выходного напряжения.
4.7. Влияние размаха пульсации потребляемого тока
Определение влияния качества потребляемого тока на параметры входных и выходных фильтров осуществлялось подбором индуктивности L1 в диапазоне изменения пульсаций потребляемого тока ΔIL1 от 0.5 до 1.5 ΔIL1 ном. Полученные значения индуктивности входного фильтра для сравниваемых схем, а также размах пульсаций напряжения на конденсаторах С1 и С2 для выходного фильтра приведены в табл. 7.
Таблица 7. Индуктивность L1, необходимая для обеспечения заданной величины размаха пульсации потребляемого тока
ΔIL1 | 0.5 ΔIL1 ном | 0.75 ΔIL1 ном | 1 ΔIL1 ном | 1.25 ΔIL1 ном | 1.5 ΔIL1 ном |
Предлагаемая схема | |||||
ΔIL1, мА | 0.7 | 1.05 | 1.4 | 1.75 | 2.1 |
ΔUC1, В | 0.21 | 0.21 | 0.21 | 0.21 | 0.21 |
ΔIL2, А | 1.51 | 1.51 | 1.51 | 1.51 | 1.51 |
ΔUC2, В | 0.15 | 0.15 | 0.15 | 0.15 | 0.15 |
Iн, А | 2.56 | 2.56 | 2.56 | 2.56 | 2.56 |
L1, мГн | 2.2 | 1.4 | 1.1 | 0.9 | 0.75 |
Схема прототипа | |||||
ΔIL1, мА | 0.7 | 1.05 | 1.4 | 1.75 | 2.1 |
ΔUC1, В | 0.32 | 0.32 | 0.32 | 0.32 | 0.32 |
ΔIL2, А | 2.16 | 2.16 | 2.16 | 2.16 | 2.16 |
ΔUC2, В | 0.22 | 0.22 | 0.22 | 0.22 | 0.22 |
Iн, А | 2.56 | 2.56 | 2.56 | 2.56 | 2.56 |
L1, мГн | 3.0 | 2.2 | 1.6 | 1.3 | 1.05 |
Приведенные в табл. 7 данные доказывают, что повышение требований к размаху пульсаций потребляемого тока при неизменном токе нагрузки достигается только за счет увеличения индуктивности дросселя L1 входного фильтра, при этом размах пульсаций на остальных элементах фильтров в сравниваемых схемах не зависит от ΔIL1. Индуктивность L1 во всем диапазоне изменения размаха пульсаций потребляемого тока в предлагаемой схеме требуется в 1.4—1.5 раз меньше, чем в схеме прототипа.
4.8. Исследование влияния размаха пульсации выходного напряжения
Исследования проводились при номинальных параметрах элементов фильтров Θ = 0.5, Uн = 225 В, ΔUC2 = 0.15 В. За счет изменения емкости конденсатора С2 устанавливался требуемый размах пульсации выходного напряжения ΔUC2 ном в диапазоне от 0.5 до 1.5 и проводилось измерение размаха пульсаций на остальных элементах фильтров.
Таблица 8. Значение C2, необходимое для обеспечения заданной величины размаха пульсации выходного напряжения
ΔUC2 | 0.5ΔUC2 ном | 0.75ΔUC2 ном | 1.0ΔUC2 ном | 1.25ΔUC2 ном | 1.5ΔUC2 ном |
Предлагаемая схема | |||||
ΔIL1, мА | 1.4 | 1.4 | 1.4 | 1.4 | 1.4 |
ΔUC1, В | 0.21 | 0.21 | 0.21 | 0.21 | 0.21 |
ΔIL2, А | 1.51 | 1.51 | 1.51 | 1.51 | 1.51 |
ΔUC2, В | 0.075 | 0.11 | 0.15 | 0.188 | 0.225 |
Iн, А | 2.56 | 2.56 | 2.56 | 2.56 | 2.56 |
С2, мкФ | 135 | 90 | 65 | 52.5 | 43 |
Схема прототипа | |||||
ΔIL1, мА | 2.1 | 2.1 | 2.1 | 2.1 | 2.1 |
ΔUC1, В | 0.32 | 0.32 | 0.32 | 0.32 | 0.32 |
ΔIL2, А | 2.16 | 2.16 | 2.16 | 2.16 | 2.16 |
ΔUC2, В | 0.075 | 0.11 | 0.15 | 0.188 | 0.225 |
Iн, А | 2.56 | 2.56 | 2.56 | 2.56 | 2.56 |
С2, мкФ | 195 | 135 | 95 | 75 | 63 |
В табл. 8 приведены значения необходимой емкости конденсатора С2 при изменении размаха пульсаций выходного напряжения в диапазоне от 0.075 В до 0.225 В.
Полученные измерения показали, что требуемый размах пульсации выходного напряжения ΔUC2 (качество выходного напряжения) реализуется только за счет изменения емкости С2. Размах пульсаций на остальных элементах фильтров остается постоянным при изменении ΔUC2.
4.9. Влияние частоты промежуточного преобразования
Цель данного раздела исследования — выявление влияния частоты работы инверторов на размах пульсаций тока дросселей и напряжения на конденсаторах фильтров. Для возможности исследования размаха пульсаций на частоте 5 кГц подобраны следующие значения параметров компонентов фильтров: L1 = 2 мГн; C1 = 115 мкФ; L2 = 2.4 мГн; C2 = 65 мкФ, при них размах пульсаций напряжения на конденсаторах ΔUC1 и ΔUC2 не превышал величины 0.1 Uн max, а размах пульсаций потребляемого тока ΔIL1 был меньше 0.1Iн max. Измерения проводились при Θ = 0.5, Uн = 225, Iн = 2.56 А. Полученные значения пульсаций тока дросселей и напряжения на конденсаторах фильтров при изменении частоты коммутации ключей инверторов от 5 до 25 кГц сведены в табл. 9.
Таблица 9. Размах пульсаций тока дросселей и напряжения на конденсаторах фильтров в зависимости от частоты промежуточного преобразования
f, кГц | 5 | 10 | 20 | 25 |
ΔIL1, мА | 2.2 | 0.49 | 0.11 | 0.074 |
ΔUC1, В | 0.29 | 0.14 | 0.067 | 0.053 |
ΔIL2, А | 1.54 | 0.75 | 0.36 | 0.28 |
ΔUC2, В | 0.3 | 0.075 | 0.018 | 0.012 |
В соответствии с приведенными значениями размах пульсаций ΔUC1 и ΔIL2 уменьшается при повышении частоты с 5 до 25 кГц практически в 5 раз, размах пульсаций ΔIL1 почти в 30 раз, а ΔUC2 в 25 раз, т.е. пропорционально отношению верхней и нижней частот fверх/fнижн. Необходимо учитывать, что при частоте работы инверторов f все фильтры работают на частоте 2f. Оптимальный диапазон частоты промежуточного преобразования 10—20 кГц. Повышение частоты свыше 20 кГц нецелесообразно из-за роста динамических потерь в ключах.
4.10. Исследование возникновения режима прерывистых токов в дросселе выходного фильтра
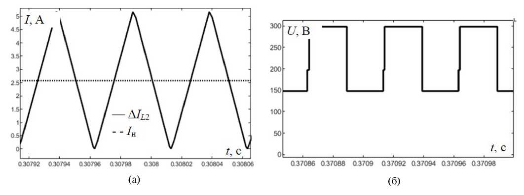
Режим возникновения прерывистых токов ограничивает диапазон регулирования тока нагрузки Iн, он возникает при равенстве пульсации тока дросселя (ΔL2/2) и тока нагрузки: Iн — ΔL2/2 = 0. Расширение диапазона регулирования тока нагрузки (при активной нагрузке) достигается при уменьшении пульсаций тока дросселя за счет увеличения индуктивности L2, что позволяет снизить минимальную величину Iн и расширить диапазон регулирования выходного тока. Исследование возникновения режима прерывистых токов в схемах проводилось при номинальных параметрах фильтров L1, C1 и С2, величине выходного напряжения 225 В, равных токах нагрузки в диапазоне изменения Rн от 87.23 до 500 Ом путем подбора индуктивности L2. Возникновение режима прерывистых токов фиксировалось по изменению формы Uн и напряжения UL на дросселе L2 (рис. 3). При возникновении прерывистых токов увеличивалась индуктивность L2 до обеспечения требуемой величины Iн. Полученные в результате исследований данные сведены в табл. 10.
Рис. 3. Диаграммы пульсации тока дросселя L2 (а) и напряжения на входе выходного фильтра (б) в режиме прерывистых токов.
Таблица 10. Зависимости тока нагрузки от индуктивности дросселя L2, при которых возникает режим прерывистых токов
Предлагаемая схема | ||||||
Rн, Ом | 87.23 | 100 | 200 | 300 | 400 | 500 |
Iн, А | 2.56 | 2.23 | 1.12 | 0.75 | 0.56 | 0.45 |
ΔIL2/2, А | 0.755 | 0.755 | 0.755 | 0.755 | 0.56 | 0.45 |
Iнр*, А | 1.805 | 1.475 | 0.365 | -0.005 | 0 | 0 |
L2, мГн | 1.2 | 1.2 | 1.2 | 1.2 | 1.5 | 1.8 |
Схема прототипа | ||||||
Rн, Ом | 87.23 | 100 | 200 | 300 | 400 | 500 |
Iн, А | 2.56 | 2.23 | 1.12 | 0.75 | 0.56 | 0.45 |
ΔIL2/2, А | 1.08 | 1.08 | 1.07 | 0.75 | 0.565 | 0.45 |
Iнр*, А | 1.48 | 1.15 | 0.05 | 0.0 | 0.05 | 0.0 |
L2, мГн | 1.2 | 1.2 | 1.2 | 1.45 | 1.75 | 2.2 |
Примечание: Iнр* — нерегулируемая составляющая тока нагрузки, равная разнице Iн и ΔIL2/2.
В момент включения транзисторов регулируемого инвертора ток в цепи питания инверторов растет, а ток на входе выходного фильтра уменьшается. Вследствие этого пульсация тока дросселя L1 всегда ниже тока потребления инверторов, поэтому у входного фильтра режим прерывистых токов не наступает.
В предлагаемой схеме режим прерывистых токов проявляется при Iн = 0.75 А, а в схеме прототипа при 1.12 А. Увеличение диапазона изменения тока нагрузки достигается за счет нерегулируемой составляющей напряжения на входе выходного фильтра. Для снижения выходного тока до величины 0.5 А в предлагаемой схеме необходимо увеличить индуктивность дросселя до 1.8 мГн, а в схеме прототипа — до 2.2 мГн. В номинальном режиме работы конверторов размах пульсаций тока дросселя L2 не зависит от тока нагрузки.
5. ЗАКЛЮЧЕНИЕ
В настоящей работе проведено комплексное экспериментальное исследование влияния 10 возможных дестабилизирующих факторов на параметры силовых элементов, а также выполнено сравнение предложенной схемы и схемы прототипа.
По результатам проведенных исследований можно сделать следующие выводы.
- Созданная электронная модель конвертора позволяет исследовать влияние рассмотренных дестабилизирующих факторов на параметры элементов конвертора.
- Предлагаемую схему с неполным диапазоном регулирования выходного напряжения наиболее эффективно применять в СЭП с диапазоном регулирования выходного напряжения не более 50–60 % от Uн ном. Системы с большим диапазоном целесообразно разрабатывать с многозонным регулированием выходных параметров.
- Оптимальный диапазон частоты преобразования у конверторов средней мощности составляет 10–20 кГц. Повышение частоты с 5 до 25 кГц позволяет уменьшить размах пульсации тока дросселя входного фильтра и напряжения на конденсаторе выходного фильтра в 25–30 раз. Размах пульсаций напряжения на конденсаторе входного фильтра и тока дросселя выходного фильтра снижается практически прямо пропорционально с увеличением частоты преобразования.
- Размах пульсации тока потребления зависит только от индуктивности входного дросселя, а размах пульсаций выходного напряжения — только от емкости конденсатора выходного фильтра.
- Размах пульсаций тока дросселя и напряжения на конденсаторе выходного фильтра не зависит от тока нагрузки.
- Постоянная составляющая напряжения на входе выходного фильтра обеспечивает расширение диапазона регулирования тока нагрузки.
- При 50-процентном диапазоне регулирования выходного напряжения у предлагаемой схемы параметры входных и выходных фильтров в 1.4–1.6 раза меньше, чем у схемы конвертора с полным диапазоном регулирования.
Полученные результаты будут полезны специалистам в области проектирования и создания систем электропитания, а также при разработке нового направления проектирования конверторов средней и большой мощностей, обеспечивающего снижение параметров силовых элементов, меньшую величину пульсации потребляемого тока и лучшее качество выходного напряжения по сравнению со схемами, выполненными с полностью регулируемым выходным напряжением.
ФИНАНСИРОВАНИЕ РАБОТЫ
Работа выполнена при финансовой поддержке Российского научного фонда (грант № 23-29-00403, https://rscf.ru/project/23-29-00403/).
About the authors
В. И. Авдзейко
Томский государственный университет систем управления и радиоэлектроники
Author for correspondence.
Email: avdzeykovi@yandex.ru
Russian Federation, 634050, Томск, просп. Ленина, 40
A. A. Дроздова
Томский государственный университет систем управления и радиоэлектроники
Email: avdzeykovi@yandex.ru
Russian Federation, 634050, Томск, просп. Ленина, 40
В. M. Рулевский
Томский государственный университет систем управления и радиоэлектроники
Email: avdzeykovi@yandex.ru
Russian Federation, 634050, Томск, просп. Ленина, 40
Д. Ю. Ляпунов
Томский государственный университет систем управления и радиоэлектроники; Национальный исследовательский Томский политехнический университет
Email: avdzeykovi@yandex.ru
Russian Federation, 634050, Томск, просп. Ленина, 40; 634050, Томск, просп. Ленина, 30
References
- Моин В.С. Стабилизированные транзисторные преобразователи. Москва: Энергоатомиздат, 1986.
- Гейтенко Е.Н. Источники вторичного электропитания. Схемотехника и расчет. Учебное пособие. М.: СОЛОН-ПРЕСС, 2008.
- Белов Г.А., Павлова А.А., Серебрянников А.В. // Вестник Чувашского университета. 2008. № 2. С. 151.
- Кобзев А.В., Коновалов Б.И., Семенов В.Д. Энергетическая электроника: Учебное пособие. Томск: Томский межвузовский центр дистанционного образования, 2010.
- Найвельт Г.С., Мазель К.Б., Хусоинов Ч.И., Затикян Г.П., Шаров Л.Н., Кузнецов С.А., Алексеев В.А., Киселев Л.М., Тихонов В.И., Шуваев Ю.Н. Источники электропитания радиоэлектронной аппаратуры. Москва: Радио и связь, 1985.
- Рентюк В. // Компоненты и технологии. 2016. № 11. С. 84.
- Stefan K. // Input Filter for DCDC Converter. 2020. P. 7.
- Pyakuryal S., Matin M.A. // Filter Design for AC to DC Converter. 2013.
- Prodanovic M., Green T.C. // IEEE Trans. on Power Electronics. 2003. V. 18. Р. 380.https://doi.org/10.1109/TPEL.2002.807166
- Liao J., Zhou N., Wang Q. // Energies. 2018. V. 11. P. 20. https://doi.org/10.3390/en11113128
- Григораш О.В., Ивановский О.Я., Туаев А.С. // Научный журнал КубГАУ. 2017. №133(09). C. 11.
- Коршунов А.А. // Силовая электроника. 2005. № 3. С. 91.
- Geng X., Yang X.J., Zhang Z.M., Tang H.J., Bai L.Y. // WSEAS Trans. on Systems and Control. 2011. V. 6. Р. 324.
- Yuan G., Tao Y., Dragicevi T., Bozhko S., Wheeler P., Zheng C. // IEEE Trans. on Power Electronics. 2020. V. 36. P. 9.https://doi.org/10.1109/TPEL.2020.3017862
- Sudeep P., Mohammad M. // Int. Refereed J. Engineering Science. 2013. V. 2. P. 49.
Supplementary files





