Разработка программного обеспечения для диагностики и коррекции замкнутой орбиты пучка в бустере инжекционного комплекса коллайдера NICA
- Authors: Николайчук И.Ю.1,2, Горбачев Е.В.1, Лебедев В.А.1, Седых Г.С.1,3, Смирнов В.Л.1, Шандов М.М.1,4
-
Affiliations:
- Объединенный институт ядерных исследований
- Национальный исследовательский ядерный университет “МИФИ”
- Санкт-Петербургский государственный университет
- Государственный университет “Дубна”
- Issue: No 5 (2024)
- Pages: 31-36
- Section: ТЕХНИКА ЯДЕРНОГО ЭКСПЕРИМЕНТА
- URL: https://bakhtiniada.ru/0032-8162/article/view/285698
- DOI: https://doi.org/10.31857/S0032816224050037
- EDN: https://elibrary.ru/EUFHCB
- ID: 285698
Cite item
Full Text
Abstract
Ускорительный комплекс NICA (Nuclotron-based Ion Collider fAcility) состоит из коллайдера и инжекционного комплекса. Инжекционный комплекс тяжелых ионов включает в себя источник ионов, линейный ускоритель, бустерный синхротрон с проектной магнитной жесткостью 25 Тл·м, синхротрон нуклотрон с магнитной жесткостью 38 Тл·м и линии транспортировки пучка. Одними из первостепенных задач для получения проектных параметров при работе с синхротронами являются диагностика и коррекция орбиты пучка. Для этой цели разработано программное обеспечение, успешно использованное в ходе прошедших сеансов пуско-наладочных работ с пучком. В статье описаны функционал и результаты работы программно-аппаратного комплекса диагностики и коррекции орбиты.
Full Text
1. ВВЕДЕНИЕ
Система диагностики орбиты бустерного синхротрона (бустера) включает 24 монитора положения пучка (МПП). Конструктивно МПП представляют собой эллиптические сигнальные электроды с диагональным разрезом, размещенные в цилиндрической высоковакуумной камере [1]. Сигналы с электродов считываются устройствами Libera Hadron [2, 3] и с помощью одного из четырех встроенных алгоритмов вычисляется положение центра масс пучка, после чего результаты передаются в систему управления установки, организованную на базе объектно-ориентированной системы Tango Controls [4].
Система коррекции орбиты бустера состоит из 48 корректирующих дипольных магнитов (корректоров), по 24 для горизонтальной и вертикальной плоскостей [5–7]. Источники питания обмоток корректоров не предусматривают возможность смены полярности в течение рабочего цикла, что накладывает определенные ограничения на используемые алгоритмы коррекции орбиты.
Массив положений пучка, измеряемый системой диагностики для каждого цикла ускорения, разбивается на отрезки длительностью 100 мс (рис. 1) [5]. На каждом временном интервале данные о положении орбиты усредняются и передаются в Tango-устройство, с которого проводится их считывание разработанным программным обеспечением (ПО) диагностики и коррекции замкнутой орбиты. С помощью разработанных и встроенных в программу алгоритмов для каждого временного интервала вычисляются токи корректоров, минимизирующие искажения орбиты на этом интервале. Полученные значения линейно интерполируются с шагом 1 мс, после чего формируется цикл тока питания каждого из корректоров.
Рис. 1. Цикл магнитного поля бустера и временные интервалы измерений МПП.
Согласно техническому паспорту бустера, требование к допустимой амплитуде скорректированной орбиты – 4 мм [1]. Возмущения орбиты не должны выходить за рамки установленного значения не только на протяжении всего цикла ускорения, но и в течение длительного времени работы ускорителя. Первое достигается описанным выше способом вычисления требуемых токов корректоров и их динамическим изменением в течение цикла магнитного поля. Для обеспечения длительной стабилизации орбиты планируется использовать систему обратной связи по пучку. В этом случае система накапливает и усредняет положение орбиты за несколько десятков циклов, и определяются отклонения орбиты от требуемых значений. Если отклонения выходят за пределы допусков, то программа без участия оператора осуществляет пересчет токов. Встроенные алгоритмы вычисляют токи корректоров, необходимые для подавления амплитуд колебаний орбиты до требуемых значений. В случае удовлетворения заданным условиям выставляются новые токи. При вычислении сил корректоров, кроме учета ограничения на минимальный и максимальный рабочие токи, принимается во внимание ряд других особенностей работы системы. В частности, проводится проверка согласования ведущего магнитного поля с настройками ускоряющей системы. Для этого с использованием измеренных данных положения орбиты решается вариационная задача по определению величины рассогласования dfrf /frf (dp/p), определяющей минимум среднеквадратичного разброса координат орбиты и необходимую коррекцию частоты обращения. Вычисленное значение передается в систему управления ускоряющей системой для его корректировки. Затем вновь решается та же задача с целью убедиться в том, что новое полученное значение рассогласования близко к нулю. После этого вычисляются токи корректоров, минимизирующие возмущение орбиты пучка. При проведении этих вычислений выставляется жесткое условие на локальное постоянство орбиты в области прямолинейного промежутка бустера, в котором осуществляется вывод пучка. Такое требование объясняется тем, что параметры выводного бампа (локального возмущения ведущего магнитного поля, создаваемого дополнительными токами в четырех поворотных магнитах) подбираются под определенную форму орбиты в этом месте. В случае изменения орбиты требуется изменение настроек выводного бампа. Поэтому также планируется программно связать ПО коррекции орбиты и управление локальным бампом. Тогда после перенастройки орбиты автоматически будут перенастраиваться токи в магнитах, управляющих выводом пучка.
Описанная методика поддержки постоянства орбиты может работать неустойчиво при кардинальном изменении режима ускорения: когда сменяется сорт ионов или происходит значительная модификация величины и формы ведущего магнитного поля. В этом случае для настройки может потребоваться участие оператора.
На начальном этапе разработки ПО коррекции в проведенных пуско-наладочных сеансах ускорительного комплекса тестировались методы, алгоритмы и программы коррекции орбиты с участием оператора.
2. ФУНКЦИОНАЛ ПРОГРАММНОГО ОБЕСПЕЧЕНИЯ
Ключевой особенностью разрабатываемого ПО является применение единой версии для всех установок ускорительного комплекса и каналов транспортировки пучка. Изменение настроек интерфейса и функционала ПО в зависимости от типа установки происходит путем выбора специального конфигурационного файла в формате JavaScript Object Notation (JSON) [8], описывающего параметры систем диагностики и коррекции, а также требуемую сервисную информацию (атрибуты Tango-устройств, единицы измерения параметров, сетевые адреса и т. д.).
Пользователь имеет возможность переключаться между установками комплекса, взаимодействуя с интерфейсом системы (рис. 2, поз. 1), при этом расположение соответствующего конфигурационного файла заранее определено. Отображение показаний МПП осуществляется на графиках положения орбиты в соответствующей плоскости (рис. 2, поз. 4), где X – горизонтальная, Y – вертикальная плоскости. В окне управления имеется возможность переключения между различными режимами отображения показаний МПП (рис. 2, поз. 2): ручное однократное или автоматическое обновление показаний, отображение показаний относительно некоторой “золотой орбиты”, выбор шага измерений в течение цикла ускорения (рис. 1) и выбор для отображения показаний отдельного МПП за один цикл ускорения. Под термином “золотой орбиты” будем понимать орбиту, соответствующую максимальному аксептансу кольца. Также в качестве такой орбиты может быть задана любая другая траектория пучка, например, максимизирующая эффективность захвата при многооборотной и многократной инжекции. Доступны запись выбранного набора показаний во внешний файл и отображение статусов состояния МПП. При необходимости положение “золотой орбиты” может быть обновлено.
Рис. 2. Интерфейс главного окна программы управления: 1 – выбор отображаемой установки комплекса, 2 – панель управления настройками отображения орбиты, 3 – управление настройками автоматической коррекции орбиты, 4 – графики положения орбиты, 5 – диаграммы отображения токов корректоров, 6 – панель управления системой коррекции орбиты, 7 – отображение текущего тока в выбранном корректоре.
На диаграмме приводятся текущие токи в корректорах (см. рис. 2, поз. 5), в динамическом режиме отображаются значения токов на энергии инжекции. Для визуального контроля отработанный ток источника питания корректора отображается в отдельном окне (см. рис. 2, поз. 7).
В ПО реализованы три режима работы корректоров (см. рис. 2, поз. 6): статический, динамический “пропорциональный” и динамический с заданием силы корректоров на “столах” – временных интервалах постоянного магнитного поля. В статическом режиме задается значение тока корректора, не изменяющегося в течение всего рабочего цикла. Такой режим удобен для коррекции первых оборотов, проводки пучка на энергии инжекции и при отсутствии необходимости коррекции орбиты с ростом рабочей энергии. Динамические режимы используются при коррекции орбиты во всем цикле ускорения. Динамический “пропорциональный” режим задает изменение тока в корректоре согласно закону изменения ведущего магнитного поля. В данном режиме оператором задается начальный рабочий ток в корректорах на энергии инжекции. Затем считывается сигнал формы ведущего магнитного поля из системы задания магнитного цикла [9]. После этого сигнал нормируется в пределах [0:1], высчитываются временные интервалы постоянного магнитного поля и, при задании пользователем значения тока в корректорах на энергии инжекции формируется закон изменения тока в каждом корректоре. Второй режим динамической коррекции позволяет задавать значения тока корректора для каждого “стола” без привязки к форме ведущего поля. Данный режим необходим для случаев коррекции, когда законы изменения ведущего поля и поля корректоров не подобны, а также для возможности локального изменения положения пучка только на выводном или промежуточном “столах”.
3. РЕАЛИЗОВАННЫЕ АЛГОРИТМЫ
На первых этапах работы использовался один из встроенных в Libera алгоритмов обработки сигналов с МПП – BBB (Bunch-By-Bunch) [2], обрабатывающий сигналы от каждого сгустка с вычислением положения центра масс пучка через отношение разностного сигнала к суммарному сигналу с пластин МПП. Этот алгоритм плохо работает при малой интенсивности пучка и дает большую ошибку при усреднении данных такого пучка, поэтому был выбран другой встроенный алгоритм – NBA (Narrow Band Analysis) [10], имеющий привязку к частоте ускоряющей ВЧ-системы и времени измерений.
Для расчета требуемых токов питания обмоток корректоров использовался метод наименьших квадратов с применением матричного подхода. Токи в корректорах вычисляются с использованием обратной матрицы отклика орбиты [11], вычисляемой с помощью сингулярного разложения [12]. Базовый алгоритм вычисления обратной матрицы значительно модифицирован и представляет собой итерационный процесс с многократным проходом системы корректоров и МПП, при этом процесс на каждом шаге учитывает ограничения на минимальные и максимальные значения токов корректоров.
Матрица откликов орбиты представляет собой совокупность изменений орбиты пучка при последовательном одиночном воздействии каждого из корректоров. Матрица может быть получена как расчетным путем, так и в ходе измерений с пучком. На величину рабочих токов в корректорах имеются технические ограничения: максимальный ток ± 40 А, минимальный – ± 0.3 А. Все используемые методы и алгоритмы разработаны с учетом потенциально возможных ограничений на рабочие токи корректоров, а также возможного выхода из строя МПП и корректоров. Работы по коррекции орбиты не требуют изменения алгоритмов, которые автоматически адаптируются под изменения структуры систем диагностики и коррекции, а также под другие технические ограничения, которые могут быть указаны в конфигурационном файле.
Существенным ограничением возможностей динамической коррекции орбиты стало отсутствие возможности смены полярности источника питания корректора во время цикла. Смена полярности в цикле не требуется, если орбиты пучка подобны в процессе ускорения. Последнее достигается согласованием ведущего магнитного поля и рабочей частоты ускоряющей системы. В рамках сеанса ПНР № 4 отсутствие такого согласования не приводило к существенному уменьшению интенсивности пучка, однако в режимах работы с коллайдером это будет одним из обязательных требований. На этапе пуско-наладочных работ использовались математические методы и программные алгоритмы, которые позволяли вычислять требуемые токи корректоров в случае подобия орбит и с учетом невозможности смены знака тока корректора во время рабочего цикла.
В дальнейшем планируется реализовать блок поиска “золотой орбиты”, в том числе в автоматическом режиме. Алгоритм поиска “золотой орбиты” в измерениях с пучком следующий: с помощью трех соседних корректоров создаются локальные возмущения орбиты в местах расположения МПП. Вариацией амплитуды возмущения орбиты проводится сканирование пучком апертуры в поперечном направлении. Показателем достижения границ апертуры выступает снижение интенсивности циркулирующего пучка. Полный поперечный проход вакуумной камеры в месте расположения каждого из МПП позволяет определить положение центра масс пучка на мониторе, соответствующее максимальной эффективности проводки пучка. Совокупность найденных таким образом координат на каждом из МПП и формирует “золотую орбиту”. Описанный алгоритм может быть реализован в измерениях с минимальным участием оператора. Итерационное создание локальных возмущений происходит автоматически с помощью последовательной смены наборов задействованных корректоров.
4. РЕЗУЛЬТАТЫ ВНЕДРЕНИЯ ПРОТОТИПА ПРОГРАММНОГО ОБЕСПЕЧЕНИЯ
Прототип ПО разработан и успешно протестирован в сеансах пуско-наладочных работ №№ 3–4 на инжекционном комплексе коллайдера NICA. Проверена возможность длительной работы системы коррекции орбиты. Успешно проведена коррекция орбиты в статическом и динамическом режимах с помощью разработанных алгоритмов. В результате использования алгоритма статической коррекции на энергии инжекции с учетом ограничений на рабочие токи корректоров и выход из строя трех корректоров удалось скомпенсировать возмущения орбиты с 20 до 7 мм (рис. 3).
Рис. 3. Результат статической коррекции орбиты.
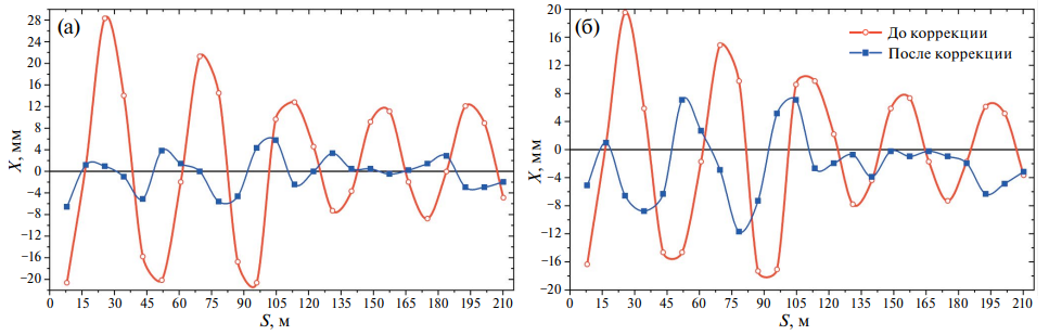
Динамический “пропорциональный” режим работы корректоров был успешно реализован, что стало результатом проведенных работ по согласованию магнитного поля и настроек ускоряющей системы. В результате возмущения орбиты были скомпенсированы при энергии инжекции с 30 до 6 мм (рис. 4а) и при энергии вывода с 20 до 12 мм (рис. 4б). При этом все системы в проведенных сеансах проходили отладку в ходе работ, что влекло за собой многократное изменение настроек, и долговременное сохранение рабочих режимов не наблюдалось. Поэтому большую часть времени не удавалось получить требуемого подобия орбит пучка на протяжении всего цикла ускорения (от инжекции до вывода). Однако принципиальная возможность коррекции орбиты в описанном режиме была продемонстрирована.
Рис. 4. Результат динамической “пропорциональной” коррекции орбиты на энергии инжекции (а) и вывода (б).
5. ЗАКЛЮЧЕНИЕ
Режимы работы ускорительного комплекса NICA накладывают жесткие ограничения на функциональность систем диагностики и коррекции орбиты в кольцах ускорителей и линиях транспортировки пучка. Задачи, требующие решения, касаются как технической части, так и разработки программного обеспечения высокого и низкого уровней. По всем направлениям ведутся интенсивные работы [5]. Методы и алгоритмы коррекции орбиты адаптированы к системам комплекса NICA. Прототип программного обеспечения создан. Тестирование с пучком показало, что расчетные данные хорошо согласуются с результатами измерений. Орбита была успешно скорректирована в бустерном синхротроне в статическом и динамическом режимах работы.
About the authors
И. Ю. Николайчук
Объединенный институт ядерных исследований; Национальный исследовательский ядерный университет “МИФИ”
Author for correspondence.
Email: nikolajchuk@jinr.ru
Russian Federation, 141980, Дубна, Московская обл., ул. Жолио Кюри, 6; 115409, Москва, Каширское ш., 31
Е. В. Горбачев
Объединенный институт ядерных исследований
Email: nikolajchuk@jinr.ru
Russian Federation, 141980, Дубна, Московская обл., ул. Жолио Кюри, 6
В. А. Лебедев
Объединенный институт ядерных исследований
Email: nikolajchuk@jinr.ru
Russian Federation, 141980, Дубна, Московская обл., ул. Жолио Кюри, 6
Г. С. Седых
Объединенный институт ядерных исследований; Санкт-Петербургский государственный университет
Email: nikolajchuk@jinr.ru
Russian Federation, 141980, Дубна, Московская обл., ул. Жолио Кюри, 6; 199034, Санкт-Петербург, Университетская наб., 13
В. Л. Смирнов
Объединенный институт ядерных исследований
Email: nikolajchuk@jinr.ru
Russian Federation, 141980, Дубна, Московская обл., ул. Жолио Кюри, 6
М. М. Шандов
Объединенный институт ядерных исследований; Государственный университет “Дубна”
Email: nikolajchuk@jinr.ru
Russian Federation, 141980, Дубна, Московская обл., ул. Жолио Кюри, 6; 141980, Дубна, Московская обл., ул. Университетская, 19
References
- Сидорин А.О. Техническая спецификация (паспорт) объекта “Комплекс NICA”, 2018.
- Znidarcic M., Janezic E., Lang K. // Proc. Of IPAC’16. Busan, 2016. P. 267. https://doi.org/10.18429/JACoW-IPAC2016-MOPMR018
- Žnidarčič M., Janezic E., Leban P., Lang K. // Proc. Of IPAC’15, Richmond, 2015. P. 1016. https://doi.org/10.18429/JACoW-IPAC2015-MOPTY040
- Официальный сайт технологии Tango Controls. http://www.tango-controls.org/
- Шандов М.М., Горбачев Е.В., Коробицина М.Ю., Костромин С.А., Лебедев В. А., Николайчук И.Ю., Седых Г.С., Смирнов В.Л., Тузиков А.В., Цыплаков Е.Д. // Письма в ЭЧАЯ. 2023. Т. 20. № 4. С. 969.
- Шандов М.М., Борисов В.В., Бутенко А.В., Казинова О., Костромин С.А., Козлов О.С., Михайлов В.А., Парфило Т., Филиппов А.В., Сыресин Е.М., Тузиков А.В., Ходжибагиян Г.Г. // Письма в ЭЧАЯ. 2020. Т. 17. №4. С. 555. https://doi.org/10.1134/S154747712004041X
- Бутенко А.В., Бровко О.И., Галимов А.Р. и др. // УФН. 2023. Т. 193. С. 206. https://doi.org/10.3367/UFNr.2021.12.039138
- Введение в JSON. https://www.json.org/json-ru.html
- Андреев В., Волков В., Горбачев Е., Елкин В., Исадов В., Кириченко А., Монахов Д., Назлев Х., Романов С., Рукояткина Т., Седых Г. // Письма в ЭЧАЯ. 2020. Т. 17. № 4. С. 615.
- Reiter A., Rahul Singh. // Nucl. Instr. And Methods in Phys. Res. Sect. A: Accel., Spectr., Detect. And Ass. Equip. 2018. V. 890. P. 18. http://doi.org/10.1016/j.nima.2018.02.046
- Safranek J. // Nucl. Instr. And Methods in Phys. Res. Sect. A: Accel., Spectr., Detect. And Ass. Equip. 1997. V. 388. P. 27. doi: 10.1016/S0168-9002(97)00309-4
- Press W.H., Teukolsky S.A., Vetterling W.T., Flannery B.P. Numerical Recipes in C. Cambridge: Cambridge University Press, 1992.
Supplementary files






