Исследование характеристик поля нейтронов с энергией 14.7 МэВ алмазным детектором
- Авторлар: Мещанинов С.А.1, Родионов Н.Б.1, Красильников А.В.1, Сабуров В.О.1, Казаков Е.И.2, Лычагин А.А.2, Корякин С.Н.2, Кащук Ю.А.1, Родионов Р.Н.1, Амосов В.Н.1, Джурик А.С.1
-
Мекемелер:
- Частное учреждение Государственной корпорации “Росатом” Проектный центр ИТЭР
- Медицинский радиологический научный центр им. А.Ф. Цыба Национального медицинского центра радиологии Минздрава России
- Шығарылым: № 4 (2024)
- Беттер: 42-49
- Бөлім: ТЕХНИКА ЯДЕРНОГО ЭКСПЕРИМЕНТА
- URL: https://bakhtiniada.ru/0032-8162/article/view/279083
- DOI: https://doi.org/10.31857/S0032816224040057
- EDN: https://elibrary.ru/NZDWAK
- ID: 279083
Дәйексөз келтіру
Толық мәтін
Аннотация
Представлены результаты экспериментальных исследований характеристик поля нейтронов с энергией 14.7 МэВ, создаваемого портативным нейтронным генератором НГ-14. В измерениях был использован радиометр быстрых нейтронов на основе алмазного детектора. Поток нейтронов из мишени нейтронного генератора проходил через массивный коллиматор из стали. Анализ амплитудных спектров алмазного детектора, обусловленных регистрацией быстрых нейтронов, позволил определить следующие характеристики нейтронного поля: плотность потока прямых нейтронов, плотность потока нейтронов, рассеянных в коллиматоре, и энергетический спектр нейтронного излучения. По полученным энергетическим спектрам рассчитывались керма нейтронного излучения в водном фантоме и мощность дозы рассеянных нейтронов за коллиматором с энергией выше 0.5 МэВ.
Толық мәтін
ВВЕДЕНИЕ
В настоящее время активно развиваются ядерные медицинские технологии. До 70% онкологических больных нуждаются в том или ином виде лучевой терапии, причем для 25% больных целесообразно использовать плотно ионизирующее излучение – излучение нейтронов, протонов и тяжелых ионов. Воздействие таким излучением обладает более высокой биологической эффективностью на некоторых видах опухолей, плохо поддающихся лечению традиционными для онкологии электронным, γ- и рентгеновским излучением. В настоящее время имеется повышенный интерес к использованию нейтронов в клинической практике [1].
При воздействии нейтронного излучения возможность повышения дозы на опухоль ограничена допустимой лучевой нагрузкой на окружающие здоровые ткани и органы. Отсюда вытекает необходимость развития и улучшения методов контроля за величиной отпускаемой дозы и ее пространственным распределением. Использование детекторов и дозиметров, использующих в качестве чувствительного элемента синтетический алмаз (алмазных детекторов), имеет очевидные преимущества: повышенную радиационную стойкость, миниатюрность, тканеэквивалентность, стабильность чувствительности, энергетическую зависимость отклика детектора, позволяющую измерять спектральный состав излучения и изменять энергетический диапазон регистрации частиц.
В данной работе проведено экспериментальное исследование пространственного распределения нейтронов с энергией 14.7 МэВ из мишени портативного нейтронного генератора НГ-14 с помощью алмазного детектора и проведен расчет мощности дозы нейтронного излучения. Измерения были выполнены в МРНЦ им. А.Ф. Цыба – филиал ФГБУ “НМИЦ радиологии” Минздрава России.
ИЗМЕРЕНИЕ СПЕКТРА НЕЙТРОНОВ ГЕНЕРАТОРА НГ-14 И МОЩНОСТИ ДОЗЫ НЕЙТРОННОГО ИЗЛУЧЕНИЯ
Измеритель мощности дозы состоит из компактного алмазного детектора, предусилителя, кабеля, блока обеспечения, аналого-цифрового преобразователя (АЦП), блока обработки данных, системы визуализации измерений. Блок обработки данных детектора включает в себя алгоритм восстановления нейтронного спектра из амплитудных спектров алмазного детектора для последующего расчета поглощенной дозы и позволяет учитывать вклад нейтронов, рассеянных в стальном коллиматоре. Расчет эффективной дозы по амплитудным спектрам алмазного детектора проводится численными методами. В качестве основы численной модели выбран алгоритм машинного обучения “линейная регрессия”.
МЕТОДИКА ИЗМЕРЕНИЙ
Экспериментально определены плотности потока нейтронов с энергией 14.7 МэВ с использованием стального коллиматора: плотности потока прямых (не рассеянных) нейтронов из мишени нейтронного генератора и рассеянных коллиматором нейтронов, а также профиль нейтронного потока на различных расстояниях от коллиматора при перемещении детектора в двух взаимно перпендикулярных направлениях в одной плоскости и на разных расстояниях от оси нейтронного генератора. По результатам измерений определено пространственное распределение нейтронного излучения для эффективного планирования и использования результатов в последующей практике проведения лучевой терапии.
При проведении измерений использовалось оборудование нейтронной лаборатории в следующем составе: нейтронный генератор НГ-14, укомплектованный нейтронной трубкой ГНТ1–80, коллиматор, установленный на подставке, система перемещения алмазного детектора. Геометрия эксперимента представлена на рис. 1. К консоли крепления корпуса нейтронного генератора на шпильках подвешена плоская подставка толщиной 20 мм, на которую установлен цилиндрический коллиматор диаметром 190 мм, высотой 298 мм с отверстием диаметром 28 мм, состоящий из трех равных частей/цилиндров. Алмазный детектор с предусилителем закреплен в системе перемещения с дистанционным управлением и установлен на минимально возможном расстоянии (2 мм) от нижней поверхности подставки. В процессе измерений перемещение детектора осуществляется в двух перпендикулярных направлениях: слева направо и сверху вниз на трех различных расстояниях от тела коллиматора. Измерения проводились в контрольных точках, как показано на рис. 2.
Рис. 1. Схема измерения со стальным коллиматором на генераторе НГ-14.
Рис. 2. Контрольные точки, в которых проводились измерения спектров отклика.
Режим работы генератора следующий: U = 130 кВ, I = 1.3 мА. Нейтронный выход генератора НГ-14 в течение всего эксперимента определялся с помощью детектора-монитора на базе электрометра ДКС-АТ5350/1, калибровка которого проводилась методом нейтрон-активационного анализа на изотопах Al-27 и Si-28. Образцы из Al и Si облучались нейтронами в заданных точках. Активность облученных образцов измерялась гамма-спектрометром с блоком детектирования БДЭГ2–22, при этом использовались амплитудно-цифровой преобразователь АЦП-USB-8K-B1 и программное обеспечение SpectraLine 1.6.8420. Калибровка спектрометра проводилась источниками гамма-излучения (ОСГИ) 60Со, 22Na, 154Еu. Детектор устанавливался на системе перемещения в соответствии со схемой на рис. 1 с погрешностью ±2 мм для линейных размеров до нейтронного генератора. Чувствительность детектора составила 1.0 × 10–4 см2. Минимальное напряжение смещения без искажений спектра для алмазного детектора составило 200 В.
Измерялся амплитудный спектр алмазного детектора, определяемый реакцией 12С(n, α0)9Be, при воздействии прямых нейтронов – как вылетевших непосредственно из мишени нейтронного генератора, так и упруго рассеянных в канале коллиматора (попадающих в энергетический диапазон 13.5–15 МэВ). Кроме того, определялась и мощность дозы в тени коллиматора, при этом устанавливался энергетический порог регистрации нейтронов около 0.5 МэВ. Время экспозиции при наборе спектров устанавливалось так, чтобы количество полезных событий было не менее 1000. Это обеспечило статистическую погрешность измерения не более 3%.
РЕЗУЛЬТАТЫ ИЗМЕРЕНИЙ
Амплитудный спектр измерялся в разных точках при перемещении алмазного детектора относительно оси нейтронного генератора, при этом контролировались скорости счета импульсов в пике реакции 12С(n, α0)9Be. Результат измерения представлен в виде гистограмм амплитудного спектрального отклика детектора на поток нейтронов с энергией 14.7 МэВ от генератора НГ-14. Полученные профили амплитудного спектрального отклика детектора обрабатывались с помощью программного обеспечения OriginPro 8 SRO.
По измеренному отклику от быстрых нейтронов в поле излучения нейтронного генератора НГ-14 с использованием стального коллиматора определены следующие характеристики:
− плотности потока прямых нейтронов по ядерной реакции 12С(n, α0)9Be;
− плотности потока рассеянных в коллиматоре нейтронов;
− мощность дозы рассеянных нейтронов за коллиматором с энергией выше 0.5 МэВ.
Результаты измерений скоростей счета и плотности потока нейтронов в зависимости от расстояния до оси коллиматора для алмазного детектора представлены в табл. 1.
Таблица 1. Скорости счета и плотности потока нейтронов, рассчитанные по ядерной реакции 12С(n,α0)9Be в зависимости от расстояния до оси коллиматора для алмазного детектора
№ измерения / точки | Расстояние до оси, мм | Скорость счета, определяемая реакцией 12С(n, α0)9Be, с–1 | Плотность потока нейтронов с энергией 13.5–15 МэВ, с–1 × см–2 | Отношение плотностей потока нейтронов с энергией 13.5–15 МэВ к потоку нейтронов на оси коллиматора с такой же энергией, % |
1 | 0 | 23.44 | 2.41 × 105 | 100.0 |
2 | 15 | 9.85 | 1.01 × 105 | 41.8 |
3 | 30 | 1.83 | 1.82 × 104 | 7.6 |
4 | 50 | 0.92 | 0.91 × 104 | 3.8 |
5 | 100 | 0.29 | 0.29 × 104 | 1.2 |
Таблица 2. Параметры профилей нейтронного потока, измеренные алмазным детектором при испытаниях на нейтронном генераторе НГ-14
Расстояние до коллиматора, мм | Направление движения | Среднее значение плотности нейтронного потока на плато нейтронного профиля, 105 с–1 × см–2 | Нейтронный выход, вычисленный по среднему значению нейтронного потока на плато, 109 с–1 | Левая средняя граница плато профиля плотности нейтронного потока, мм | Правая средняя граница плато профиля плотности нейтронного потока, мм | Средний центр плато профиля плотности нейтронного потока, мм |
26 | Вдоль | 2.44 | 3.58 | −19.5 | 15 | -2.3 |
поперек | 2.38 | 3.50 | −17.8 | 16.9 | -0.5 | |
76 | Вдоль | 1.82 | 3.51 | −22.5 | 17.5 | -2.5 |
поперек | 1.82 | 3.51 | −19.1 | 20.3 | 0.6 | |
126 | Вдоль | 1.49 | 3.66 | −23.8 | 19.0 | -2.4 |
поперек | 1.37 | 3.36 | −21.5 | 22.5 | 0.5 |
В табл. 2 представлены следующие характеристики поля нейтронного генератора НГ-14, определенные по результатам измерений:
− средние значения плотности потока нейтронов на плато профиля плотности нейтронного потока на различных расстояниях от коллиматора при перемещении в двух взаимно перпендикулярных направлениях;
− средние границы плато профиля нейтронного потока на различных расстояниях от коллиматора при перемещении в двух взаимно перпендикулярных направлениях;
− положение эффективного центра источника нейтронов, полученное из линейной аппроксимации положения границ и центра плато профиля плотности нейтронного потока относительно оси генератора.
Средние значения плотности потока нейтронов на плато профиля плотности нейтронного потока на различных расстояниях от коллиматора при перемещении в двух взаимно перпендикулярных направлениях приведены на рис. 3. На рисунке также указаны средние границы плато профиля плотности нейтронного потока на различных расстояниях от коллиматора при перемещении в двух взаимно перпендикулярных направлениях.
Рис. 3. Профиль нейтронного потока, полученный из спектрального отклика алмазного детектора с определением среднего значения плотности нейтронного потока на плато профиля (отмечено зеленым цветом) и с определением средних границ плато профиля (отмечено синим цветом).
ЧИСЛЕННОЕ МОДЕЛИРОВАНИЕ ЭКСПЕРИМЕНТА
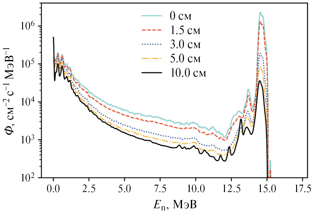
Проведены расчеты транспорта нейтронного излучения от мишени нейтронного генератора через стальной коллиматор. Для проведения расчетов был использован открытый код OpenMC [2], аналогичный по своим возможностям коду MCNP [3]. OpenMC позволяет проводить моделирование переноса нейтронного излучения в трехмерной геометрии методом Монте-Карло. В результате было получено пространственное распределение плотности нейтронного потока в окрестности коллиматора, а также энергетические спектры нейтронов. На рис. 4 представлены расчетные нейтронные спектры от нейтронного генератора НГ-14 за свинцовой пластиной, установленной дляподавления γ-излучениядля различных расстояний от оси коллиматора. Из графика следует, что по мере удаления от оси коллиматора существенно ослабляется поток нейтронов с энергией 14 МэВ.
Рис. 4. Расчетные спектры нейтронного излучения от нейтронного генератора за свинцовой пластиной на расстоянии 0, 1.5, 3, 5 и 10 см от оси коллиматора.
В работе [4] проводилось моделирование функции отклика K(Ep, E) алмазного детектора. Функция отклика позволяет по известному энергетическому спектру нейтронного излучения F(E), попадающему на алмазный детектор, рассчитать амплитудный спектр dN/dEp алмазного детектора:
. (1)
Для рассчитанных на ПК энергетических спектров нейтронов по формуле (1) были рассчитаны амплитудные спектры алмазного детектора. Сравнение расчетного и экспериментально измеренного амплитудных спектров в случае положения детектора на оси коллиматора представлено на рис. 5. Как видно на рисунке, амплитудные спектры находятся в хорошем согласии при энергии продуктов реакции (ядер отдачи и α-частиц) более 2 МэВ. При более низких энергиях есть существенные расхождения. Тем не менее полученная функция отклика может быть успешно использована для восстановления энергетического спектра быстрых нейтронов.
Рис. 5. Сравнение экспериментально измеренного и расчетного амплитудных спектров алмазного детектора, расположенного на оси коллиматора.
ВОССТАНОВЛЕНИЕ ЭНЕРГЕТИЧЕСКОГО СПЕКТРА НЕЙТРОННОГО ИЗЛУЧЕНИЯ ПО ИЗМЕРЕНИЯМ С ПОМОЩЬЮ АЛМАЗНОГО ДЕТЕКТОРА
Наличие функции отклика детектора, устанавливающей связь между амплитудным спектром детектора и нейтронным спектром, позволяет решить обратную задачу и восстановить спектр нейтронов по измерениям алмазного спектрометра. Вводя сетку по энергии нейтронов Ei и продуктов ядерных реакций Epi и проводя интегрирование по каждому энергетическому интервалу, получим дискретный аналог выражения (1):
, (2)
где – среднее число отсчетов в i-м энергетическом канале, fj – плотность потока нейтронов в j-й энергетической группе. Реальное число отсчетов в канале является случайной величиной, имеющей распределение Пуассона с параметром . Тогда групповой спектр нейтронов f может быть восстановлен по измерениям детектора N с помощью метода максимального правдоподобия (ММП) [5]. Функция правдоподобия для амплитудного спектра алмазного детектора имеет вид
, (3)
где Ni – число отсчетов в i-м канале, полученное в результате измерения, – математическое ожидание числа отсчетов при заданном нейтронном спектре f, рассчитываемое по формуле (2). Искомый групповой нейтронный спектр является решением задачи максимизации функции правдоподобия:
. (4)
Уравнение (4) при функции правдоподобия (3) может быть эффективно решено с помощью EM-алгоритма [6]. Этот итерационный алгоритм генерирует последовательность оценок вектора f, монотонно сходящуюся к решению fML, которое наиболее точно соответствует наблюдаемым данным. Согласно EM-алгоритму, групповой спектр в i-й энергетической группе на (k + 1)-й итерации будет равен
, (5)
Задача отыскания группового спектра f по результатам измерений детектора в общем случае является некорректно поставленной [7]. При решении таких задач необходимо использовать априорную информацию об искомых величинах. В качестве априорной информации можно требовать гладкость решения. В нашем случае гладкость решения может быть введена с помощью сглаживающего оператора M, применяемого после каждой итерации (5):
.
Сглаживание проводится усреднением значений потоков в соседних энергетических группах:
Проведем тестирование алгоритма восстановления нейтронного спектра на модельной задаче. В качестве нейтронного спектра возьмем спектр нейтронов на удалении 10 см от оси коллиматора непосредственно за свинцовой пластиной (см. рис. 4). С помощью функции отклика по формуле (2) рассчитаем ожидаемый амплитудный спектр для времени экспозиции 3000 с. Затем сгенерируем реализации количества отсчетов в каждом канале детектора – реализации случайных величин из распределения Пуассона. По этим модельным амплитудным спектрам проведем восстановление нейтронного спектра (рис. 6).
Рис. 6. Сравнение исходного и восстановленного спектров нейтронов (а) и соответствующих амплитудных спектров (б). Синяя линия – исходные спектры, красная – восстановленные.
На рис. 6 видно, что предложенный подход позволяет достаточно хорошо восстанавливать спектр нейтронов в широком диапазоне энергий при наличии достаточно точной функции отклика алмазного детектора. Предложенный алгоритм достаточно устойчив к статистическим погрешностям измерений.
Также было проведено восстановление энергетического спектра нейтронов на оси коллиматора за свинцовой пластиной по экспериментальным данным. Для достижения сходимости потребовалось 200 итераций. На рис. 7 приведено сравнение расчетного спектра нейтронов на оси коллиматора и восстановленного спектра. Также на рис. 7 приведено сравнение экспериментального амплитудного спектра и рассчитанного по восстановленному нейтронному спектру. На рисунках видно, что восстановленный спектр нейтронов хорошо согласуется с расчетным в области высоких энергий (более 13 МэВ). При меньших энергиях наблюдаются артефакты. Наиболее вероятная причина их появления – неточность функции отклика алмазного детектора для некоторых реакций (например (n, 3α) и упругого рассеяния). Также важно отметить, что расчетный спектр нейтронов может быть достаточно неточным в области низких энергий. Тем не менее описанный подход хорошо применим для спектрометрии нейтронов в окрестности энергии 14 МэВ.
Рис. 7. Сравнение расчетного и восстановленного спектров нейтронов (а) и экспериментального и расчетного амплитудных спектров (б). Красная линия – восстановленные, синяя – исходные (экспериментальные) спектры.
РАСЧЕТ КЕРМЫ НЕЙТРОННОГО ИЗЛУЧЕНИЯ В ВОДЕ
При известном нейтронном спектре f(E) керма нейтронного излучения может быть рассчитана по формуле
, (6)
где Ki – керма-фактор для некоторого вещества в i-й энергетической группе; fi – флюенс нейтронов в i-й энергетической группе. Керма-факторы для некоторых веществ могут быть взяты из ICRU26 [8, 9]. Керма-факторы для воды в диапазоне энергий от 0.1 до 30 МэВ представлены на рис. 8.
Рис. 8. Зависимость керма-факторов для нейтронного излучения в воде от энергии.
По расчетным нейтронным спектрам для пяти положений детектора была рассчитана керма нейтронного излучения с энергией более 13.5 МэВ по формуле (6) (см. табл. 3, расчетная керма). Также было проведено восстановление энергетических спектров, измеренных алмазным детектором. Восстановление проводилось методом максимального правдоподобия, как описано в предыдущем разделе. По полученным нейтронным спектрам рассчитывалась керма нейтронного излучения по формуле (6), представленная в табл. 3 (восстановленная доза). Как следует из табл. 3, кермы нейтронного излучения, полученные из расчетов нейтронных спектров в ходе моделирования эксперимента и восстановленные по измерениям алмазного детектора, в целом согласуются. Существенная погрешность наблюдается для расстояний от оси 1.5 см и 10 см. В первом случае такое расхождение может быть обусловлено различиями в положении детектора в расчетной модели и эксперименте, так как эта точка находится на границе отверстия коллиматора, и малая неточность в положении будет приводить к большим изменениям нейтронного потока. В последнем случае плотность потока нейтронов довольно низкая – получено 89 отсчетов, соответствующих (n, α)-реакции, что обуславливает высокую погрешность измерений.
Таблица 3. Сравнение расчетной и восстановленной кермы нейтронов (En > 13.5 МэВ) в воде
Расстояние до оси коллиматора, см | Число отсчетов детектора в реакции (n, α) | Расчетная керма, мГр | Восстановленая керма, мГр | Относительная ошибка, % |
0 | 7033 | 15.08 | 15.80 | 4.5 |
1.5 | 2958 | 7.29 | 6.796 | 7.2 |
3.0 | 547 | 1.31 | 1.233 | 6.2 |
5.0 | 280 | 0.603 | 0.593 | 1.7 |
10 | 89 | 0.268 | 0.197 | 26 |
ЗАКЛЮЧЕНИЕ
В работе были измерены амплитудные спектры алмазного детектора под действием нейтронного излучения нейтронного генератора НГ-14. Алмазный детектор располагался за коллиматором в нескольких позициях. Проведено моделирование переноса нейтронного излучения нейтронного генератора методом Монте-Карло с помощью кода OpenMC. По полученным расчетным спектрам были рассчитаны теоретические амплитудные спектры алмазного детектора, которые в целом хорошо согласуются с экспериментально измеренными.
Предложена методика восстановления энергетического спектра быстрых нейтронов по измерениям алмазного детектора с помощью метода максимального правдоподобия. Продемонстрирована возможность восстановления спектра быстрых нейтронов в окрестности энергии 14 МэВ. Для расширения энергетического диапазона требуется уточнение функции отклика алмазного детектора.
Проведено восстановление кермы нейтронного излучения с энергией более 13.5 МэВ в воде по измерениям алмазного детектора. Значения восстановленной кермы хорошо согласуются с полученными значениями в ходе моделирования нейтронных спектров.
Типичный диапазон измерения мощности дозы нейтронов дозиметра (в алмазе) составляет 0.01–10 Гр/c. Динамический диапазон может быть увеличен с помощью применения нескольких детекторов и увеличения времени экспозиции в областях со слабым нейтронным потоком. Положение центра области облучения и распределение мощности дозы в нейтронном пучке можно измерять с пространственным разрешением порядка 1 мм.
Авторлар туралы
С. Мещанинов
Частное учреждение Государственной корпорации “Росатом” Проектный центр ИТЭР
Email: n.rodionov@iterrf.ru
Ресей, Москва
Н. Родионов
Частное учреждение Государственной корпорации “Росатом” Проектный центр ИТЭР
Email: n.rodionov@iterrf.ru
Ресей, Москва
А. Красильников
Частное учреждение Государственной корпорации “Росатом” Проектный центр ИТЭР
Email: a.krasilnikov@iterrf.ru
Ресей, Москва
В. Сабуров
Частное учреждение Государственной корпорации “Росатом” Проектный центр ИТЭР
Email: n.rodionov@iterrf.ru
Ресей, Москва
Е. Казаков
Медицинский радиологический научный центр им. А.Ф. Цыба Национального медицинского центра радиологии Минздрава России
Email: n.rodionov@iterrf.ru
Ресей, Обнинск
А. Лычагин
Медицинский радиологический научный центр им. А.Ф. Цыба Национального медицинского центра радиологии Минздрава России
Email: n.rodionov@iterrf.ru
Ресей, Обнинск
С. Корякин
Медицинский радиологический научный центр им. А.Ф. Цыба Национального медицинского центра радиологии Минздрава России
Email: n.rodionov@iterrf.ru
Ресей, Обнинск
Ю. Кащук
Частное учреждение Государственной корпорации “Росатом” Проектный центр ИТЭР
Email: n.rodionov@iterrf.ru
Ресей, Москва
Р. Родионов
Частное учреждение Государственной корпорации “Росатом” Проектный центр ИТЭР
Email: n.rodionov@iterrf.ru
Ресей, Москва
В. Амосов
Частное учреждение Государственной корпорации “Росатом” Проектный центр ИТЭР
Email: n.rodionov@iterrf.ru
Ресей, Москва
А. Джурик
Частное учреждение Государственной корпорации “Росатом” Проектный центр ИТЭР
Хат алмасуға жауапты Автор.
Email: n.rodionov@iterrf.ru
Ресей, Москва
Әдебиет тізімі
- Лычагин А.А. // Медицинская техника. 2014. Т. 1(283). С. 7.
- Romano P.K., Horelik N.E., Herman B.R. et al. // Ann. Nucl. Energy. 2015. V. 82. P. 90. https://doi.org/10.1016/j.anucene.2014.07.048
- Goorley T., James M., Booth T. et al. // Nuclear Technology. American Nuclear Society. 2012. V. 180. № 3. P. 298. https://doi.org/10.13182/NT11-135
- Amosov V.N., Meshaninov S.A., Rodionov N.B., Rodionov R.N. // Diam Relat Mater. 2011. V. 20(8). P. 1239. https://doi.org/10.1016/j.diamond.2011.07.004
- Крянев А.В., Лукин Г.В., Удумян Д.К. Метрический анализ и обработка данных. Москва: Физматлит. 2012.
- Shepp L.A., Vardi Y. // IEEE Trans Med Imaging. 1982. V. 1. № 2. P. 113. https://doi.org/10.1109/TMI.1982.4307558
- Тихонов А.Н., Гончарский А.В., Степанов А.В., Ягола А.Г. Численные методы решения некорректных задач. Москва: Наука, 1990.
- Caswell, R. S., Coyne, J. J., Randolph M. L. // The International Journal of Applied Radiation and Isotopes. 1982. V. 33. №11. P. 1227. https://doi.org/10.1016/0020-708X(82)90246-0
- Dennis J.A. // International Journal of Radiation Biology and Related Studies in Physics. Chemistry and Medicine. 1978. V. 33. № 1. P. 103. https://doi.org/10.1080/09553007714551571
Қосымша файлдар










