Установка для измерения выходов изотопа 17N и запаздывающих нейтронов в реакциях под действием протонов с энергией 1 ГэВ
- Authors: Егоров А.С.1, Пиксайкин В.М.1, Говердовский А.А.1, Митрофанов В.Ф.1, Митрофанов К.В.1, Гремячкин Д.Е.1
-
Affiliations:
- Физико-энергетический институт им. А.И. Лейпунского Государственного научного центра Российской Федерации
- Issue: No 4 (2024)
- Pages: 24-36
- Section: ТЕХНИКА ЯДЕРНОГО ЭКСПЕРИМЕНТА
- URL: https://bakhtiniada.ru/0032-8162/article/view/279080
- DOI: https://doi.org/10.31857/S0032816224040038
- EDN: https://elibrary.ru/NZGHGV
- ID: 279080
Cite item
Full Text
Abstract
Описан метод и созданная на его основе установка, с использованием которой были проведены измерения сечений образования ядер-предшественников запаздывающих нейтронов 9Li, 16C и 17N и фракционные выходы запаздывающих нейтронов при взаимодействии релятивистских протонов с энергией 1 ГэВ с ядрами мишеней с массовыми числами в диапазоне от 12 до 238. Измерения были проведены на синхроциклотроне ПИЯФ, г. Гатчина. В качестве иллюстрации приведены результаты измерений сечения генерации ядер 17N в зависимости от массы ядра мишени, а также данные по фракционным выходам запаздывающих нейтронов при взаимодействии релятивистских протонов с ядрами 238U.
Full Text
ВВЕДЕНИЕ
Явление образования легких фрагментов со значительным выходом является одной из особенностей взаимодействия релятивистских протонов с ядрами. Информация о сечениях генерации легких ядер для широкого спектра ядер мишеней необходима для целого ряда практических приложений, важнейшим из которых является создание ADS-систем (Accelerator Drive Systems), предназначенных для целей трансмутации радиоактивных отходов и производства электрической энергии. Эти данные также необходимы для построения теории образования легких фрагментов в реакциях под действием релятивистских заряженных частиц.
Остаточные ядра, образованные в реакции спаллейшен (spallation) (наблюдается при бомбардировке ядер мишени высокоэнергетическими частицами), можно исследовать с помощью экспериментальных подходов, основанных на использовании реакций как в прямой, так и обратной кинематике. Налетающая частица, такая как протон с энергией 1 ГэВ, взаимодействует с ядрами мишени посредством неупругих ядерных реакций, которые сопровождаются испусканием протонов, нейтронов, альфа-частиц и других фрагментов. В эксперименте с прямой кинематикой реакция инициируется легкой заряженной частицей, взаимодействующей с мишенью из тяжелых ядер [1]. В этом случае скорость отдачи остаточных ядер недостаточна для их выхода из мишени. Поэтому для идентификации продуктов реакции используются методы гамма-спектроскопии. В таком подходе регистрация гамма-спектров осуществляется после бета-распада продуктов реакции и, как следствие этого, полученная информация содержит сведения о кумулятивном выходе продуктов реакции. Исследования реакций в рамках обратной кинематики однозначно определяют продукт реакции [2]. В этом подходе тяжелое ядро ускоряется до релятивистских скоростей и направляется на мишень из легких ядер. Благодаря кинематическим условиям продукты реакции легко покидают мишень и могут быть зарегистрированы в полете.
Метод, основанный на реакции в прямой кинематике, требует меньше пучкового времени по сравнению с реакциями в обратной кинематике, а информация о сечениях образования продуктов реакции может быть получена для широкого диапазона энергий налетающей частицы. Поскольку для целого ряда остаточных ядер, испытывающих бета-распад с последующим испусканием запаздывающих нейтронов, имеется информация о временных характеристиках – периодах полураспада и вероятности испускания запаздывающих нейтронов (Pn), идентификацию продуктов реакции можно провести с помощью измерения кривых спада нейтронной активности остаточных ядер [1, 3].
Целью настоящей работы является создание метода и установки для измерения сечений генерации продуктов реакции спаллейшен 9Li, 16C и 17N и фракционных выходов запаздывающих нейтронов из осколков деления при взаимодействии релятивистских протонов с энергией 1 ГэВ с ядрами мишеней с массовыми числами в диапазоне от 12 до 238. Для указанных ядер существует надежная информация о периодах полураспада и вероятности испускания запаздывающих нейтронов, что позволяет при наличии кривых спада нейтронной активности, измеренных после облучения образцов в известном потоке протонов, получить данные о сечениях их генерации. Ядерно-физические характеристики указанных нуклидов представлены в табл. 1 [4].
Таблица 1. Ядерно-физические характеристики нуклидов 9Li, 16C и 17N
Нуклид | Период полураспада, с | Вероятность β--распада, % | Вероятность эмиссии запаздывающих нейтронов Pn, % |
9Li | 0.1783 ± 0.0004 | 100 | 50.00 |
16C | 0.747 ± 0.008 | 100 | 99.20 |
17N | 4.171 ± 0.004 | 100 | 95.1 |
Следует отметить, что взаимодействие релятивистских протонов с тяжелыми ядрами принципиально отличается от взаимодействия с легкими ядрами, поскольку в этом случае открывается канал деления. Временное распределение запаздывающих нейтронов в этом случае главным образом определяется свойствами распада ядер-предшественников, характерных для низкоэнергетического деления. Поэтому анализ кривых спада активности запаздывающих нейтронов позволяет изучить отличительные особенности процесса деления тяжелых ядер при их взаимодействии с релятивистскими протонами.
ЭКСПЕРИМЕНТАЛЬНЫЙ МЕТОД
Метод измерения сечений образования легких фрагментов, образующихся при взаимодействии релятивистских протонов с ядрами и являющихся ядрами-предшественниками запаздывающих нейтронов, основан на процедуре, в которой исследуемый образец облучается потоком протонов в течение интервала времени, сравнимого с периодом полураспада ядер-предшественников, и последующем измерении кривой спада активности запаздывающих нейтронов [1, 5]. Основная трудность в измерениях на пучках релятивистских протонов связана с большим фоном нейтронов и гамма-лучей в экспериментальном зале ускорителя, который является причиной искажения счетной характеристики детектора нейтронов в начальный момент времени после облучения [5]. Особенности экспериментального метода определялись характеристиками пучка протонов. Пучок ускоренных до энергии 1 ГэВ протонов на внешнем ионопроводе представлял собой последовательность импульсов, следующих с частотой 50 Гц. В зависимости от режима формирования импульсов их ширина составляла 0.3 или 8 мс. Временной профиль пучка протонов с импульсами шириной 8 мс, измеренный с помощью регистрации мгновенных нейтронов, возникающих при взаимодействии протонов с ядрами мишени и конструкционными материалами установки в реакции (p, xn), показан на рис. 1.
Рис. 1. Временной профиль пучка протонов, измеренный с помощью регистрации вторичного излучения – мгновенных нейтронов из реакции (p, xn). Показан режим формирования импульсов шириной 8 мс. Цена канала временного анализатора импульсов равна 0.1 мс. Загрузка детектора нейтронов составляла около 4 × 105 имп./с.
Измерения были выполнены с помощью регистрации нейтронов, образующихся при взаимодействии протонов с ядрами мишени – воды, обогащенной по изотопу кислорода 18O. На рис. 1 видно, что в промежутках между импульсами, обусловленными в основном мгновенными нейтронами, наблюдаются события, относящиеся к запаздывающим нейтронам. Поэтому регистрация нейтронов в процессе облучения, в принципе, позволяет исследовать продукты реакции с периодами полураспада менее 3 мс, что расширяет диапазон нуклидов, которые можно исследовать с помощью предложенной установки.
В настоящем эксперименте использовались два канала вывода пучка в мишенный зал ускорителя. Плотность потока протонов в каждом из каналов вывода пучка составила около 2 × 1010 протон × см-2 × с-1. В первом канале пучок не коллимировался. Геометрический профиль пучка протонов представлял собой окружность диаметром около 10 см. Второй пучок на входе в мишенный зал формировался с помощью коллиматора, представляющего собой железный цилиндр длиной около 1 м и внутренним отверстием диаметром 2 см.
Уровень фона нейтронов и гамма-лучей на неколлимированном пучке протонов был существенно выше фона на коллимированном пучке, что приводило к высокой загрузке нейтронного детектора, которая, в свою очередь, является причиной искажения счетной характеристики нейтронных счетчиков, для восстановления которой требуется конечное время [5]. Поэтому на неколлимированном канале между мишенью и детектором нейтронов была установлена теневая защита из бетонных блоков толщиной 1 м, а исследуемый образец доставлялся к детектору нейтронов с позиции облучения с помощью пневматического транспортного устройства. Данная конфигурация эксперимента использовалась при проведении измерений кривых спада интенсивности запаздывающих нейтронов на делящихся мишенях. На коллимированном пучке протонов оказалось возможным проводить измерения на стационарно установленных мишенях, поскольку величина эффекта блокировки детектора нейтронов (искажение счетной характеристики детектора) в начальный момент времени после окончания сеанса облучения была существенно ниже, что позволило исследовать сечения генерации нуклидов, имеющих малые значения периодов полураспада – 9Li и 16C.
Для получения достаточной статистической точности данных измерения проводились в циклическом режиме, каждый цикл которого состоял в облучении исследуемого образца потоком протонов в течение заданного времени, перемещении образца в детектор нейтронов с помощью пневматической системы транспортировки и измерении временной зависимости интенсивности запаздывающих нейтронов. При облучении образца в течение времени, сравнимого с периодом полураспада наиболее долгоживущей компоненты запаздывающих нейтронов, кривая спада интенсивности содержит информацию о нескольких ядрах-предшественниках. Поэтому появляется возможность в одном эксперименте получить данные о сечениях генерации нескольких ядер-предшественников запаздывающих нейтронов.
Математическое выражение для описания интегральной временной зависимости интенсивности запаздывающих нейтронов, измеренной при циклическом облучении делящихся образцов в потоке протонов, имеющем периодическую структуру (см. рис. 1), можно представить в следующем виде:
(1)
где N(tk) – суммарное по N циклам облучения число отсчетов, зарегистрированных детектором нейтронов во временном канале tk длительностью ∆tk; νd – полный выход запаздывающих нейтронов на один акт взаимодействия; B – интенсивность нейтронного фона; λi и ai – соответственно постоянная распада и относительный выход i-го ядра-предшественника запаздывающих нейтронов; n – число протонных импульсов за время одного цикла облучения; N – число циклов измерения; m – число ядер-предшественников запаздывающих нейтронов; t – период следования протонных импульсов (20 мс), T – длительность одного цикла измерений, которая включает в себя время облучения и время измерения активности образца; tirr – время облучения образца в течение одного протонного импульса (длительность импульса протонов 8 мс); εn – эффективность детектора нейтронов; φp – плотность потока протонов, σp и Nn – соответственно сечение реакции спаллейшен и число ядер в образце, νd – число запаздывающих нейтронов на акт взаимодействия.
ЭКСПЕРИМЕНТАЛЬНАЯ УСТАНОВКА
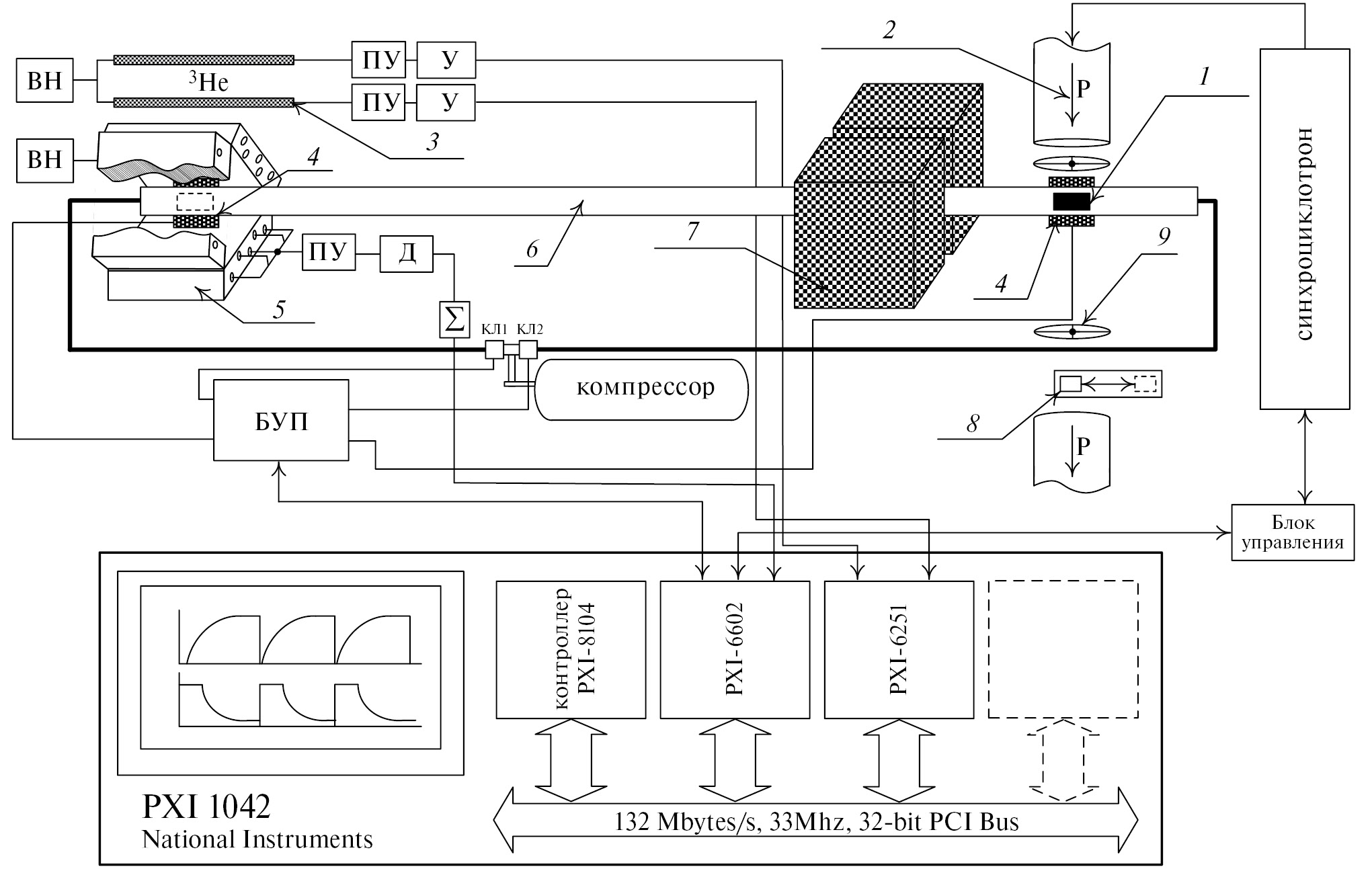
Основными элементами установки являются детектор нейтронов, пневматическая транспортная система образца и электронная система сбора и обработки экспериментальных данных. Принципиальная схема установки, в которой использовалась пневматическая транспортная система, представлена на рис. 2. Конфигурация установки, используемая в случае стационарно установленных мишеней на коллимированном пучке протонов, идентична приведенной на рис. 3 за исключением того, что детектор нейтронов располагался в непосредственной близости от образца-мишени и пучка релятивистских протонов.
Рис. 2. Принципиальная схема экспериментальной установки: 1 – мишень-образец, 2 – ионопровод ускорителя, 3 – 3He-спектрометр нейтронов, 4 – датчик положения образца, 5 – детектор нейтронов, 6 – пневмопровод, 7 – защита детекторов, 8 – система юстировки положения образца, 9 – пленки с изображением профиля пучка протонов, ПУ – предусилитель, У – усилитель, Д – дискриминатор, ∑ – сумматор импульсов, КЛ1 и КЛ2 – электромагнитные клапаны, ВН – блок высокого напряжения, PXI-1042 – крейт-шасси, PXI-8104 – контроллер, PXI-6602 – таймер-счетчик, PXI-6251 – многофункциональная высокоскоростная система сбора и обработки данных.
Рис. 3. Детектор нейтронов: слева – конфигурация детектора, используемая в эксперименте со стационарно установленным образцом; справа – конфигурация детектора, используемая в эксперименте с применением пневматической транспортной системы образца.
3.1. Детекторы нейтронов
Установка включает в себя два канала регистрации нейтронов – счетный и спектрометрический. Основным регистрирующим элементом счетного канала детектора являлся борный счетчик типа СНМ-11. Радиатором в счетчике является твердое покрытие из бора толщиной 1 мг/см2 с обогащением по изотопу 10B равным 95%. Наполнение счетчика представляет собой смесь газов 4He (97%) и Ar (3%) при давлении 53 кПа. Комптоновские электроны, образуемые гамма-квантами в объеме счетчика при давлении 53 кПа теряют около 10−4 своей энергии, что выражается в крайне малой амплитуде импульса от гамма-кванта по сравнению с импульсом от нейтронов. Поэтому счетчик CНМ-11 является одним из лучших по отношению чувствительности к нейтронам и помехоустойчивости к гамма-излучению.
В целом детектор представляет собой сборку из 15 борных счетчиков СНМ-11, распределенных в полиэтиленовом замедлителе, выполненном в виде трех отдельных блоков, которые с целью повышения геометрической эффективности могут быть смещены друг относительно друга в зависимости от типа проводимого эксперимента (см. рис. 3).
Внутренний и внешний (по отношению к регистрируемому излучению) ряды содержат соответственно 6 и 9 борных счетчиков. Блок замедлителя с внешней стороны окружен защитой из листового кадмия толщиной 0.5 мм. При необходимости с внешней стороны детектора устанавливалась защита из блоков борированного полиэтилена. Счетчики работают в пропорциональном режиме при напряжении 650 В. Сигналы с каждой из двух секций борных счетчиков усиливаются с помощью предусилителей, после чего осуществляется дискриминация фоновых импульсов и формирование стандартных TTL- импульсов. Сформированные импульсы подаются на модуль суммирования, выходные сигналы из которого направляются на вход электронной системы сбора и обработки информации. Мертвое время регистрации нейтронов в детекторе составляет 2.3 ± 0.2 мкc. В течение всего времени измерений стабильность работы нейтронного детектора и всего электронного тракта системы сбора информации контролировалась с помощью стандартного изотопного источника нейтронов Pu–Be.
Спектрометрический канал установки был выполнен на основе пропорционального 3He-счетчика, в котором регистрация нейтронов происходит за счет ионизационных потерь продуктов реакции
.
Для уменьшения фона тепловых нейтронов 3Не-спектрометр нейтронов был окружен кадмиевой защитой, а для подавления гамма-фона использовалась защита из свинцовых блоков толщиной 5 см.
3.2. Пневматическая система транспортировки образца
Основные требования к системе транспортировки образца заключаются в минимизации времени доставки образца, защите исследуемого образца от разрушения в случае экспериментов с делящимися образцами, а также наличии устройства, позволяющего получать информацию о местоположении исследуемого образца. Пневмопровод представляет собой нержавеющую трубку с внутренним диаметром 12 мм и толщиной стенки 1 мм. Направление движения образца контролировалось с помощью двух электромагнитных клапанов, присоединенных к компрессору. Для уменьшения силы удара образца на позициях облучения и измерения было использовано демпфирующее устройство. Время перемещения образца составило около 150 мс. Датчик положения образца был разработан для устойчивой работы в условиях высоких уровней нейтронного и гамма-полей в экспериментальном зале ускорителя. Принцип работы датчика основан на изменении добротности колебательного контура, состоящего из емкости и катушки индуктивности, настроенного на резонансную частоту 50 Гц при помещении в нее образца с исследуемым нуклидом.
Управление пневматической системой транспортировки образцов осуществляется сигналами TTL, поступающими из системы сбора и обработки информации на модуль управления пневмопочтой БУП (см. рис. 2). Для настройки системы, а также для выполнения процедуры смены образцов в схеме предусмотрено ручное управление клапанами.
3.3. Электронная система сбора и обработки экспериментальных данных
Электронная система сбора, обработки и визуального контроля процесса во время сеанса накопления экспериментальных данных построена на основе приборов National Instruments (NI). Система включает в себя контроллер PXI-8104, многофункциональный высокоскоростной модуль накопления данных PXI-6251 серии М и таймер-счетчик PXI-6602 [7]. Все модули установлены в шасси-крейте PXI-1042, оснащенном шиной PXI/PCI, что позволяет интегрировать процессор контроллера и отдельные модули в единую платформу. Модуль контроллера PXI-8104 изготовлен на основе процессора Intel Celeron M 440 с частотой 1.86 ГГц и двухканальной оперативной памятью типа DDR2 с частотой 533 МГц.
Таймер-счетчик NI PXI-6602 [6] использовался для регистрации временной зависимости активности запаздывающих нейтронов. Таймер-счетчик содержит восемь каналов счета (счетчиков), емкость каждого из которых составляет 32 бита. При этом три канала могут быть одновременно использованы для счета импульсов с помощью кольцевого буфера с прямым доступом к оперативной памяти компьютера (DMA). Остальные пять каналов счета используются в режиме прерываний. Максимальная тактовая частота генератора тактовых импульсов составляет 80 МГц, что позволяет регистрировать импульсы, отстоящие друг от друга на 12.5 нс. Поэтому разрешающее время счетного канала определяется главным образом мертвым временем детектора нейтронов (2.3 мкс). Временная стабильность генератора тактовых импульсов составляет 50 ppm. Таймер-счетчик PXI-6602 полностью интегрирован в измерительную систему с помощью шины реального времени RTSI, что обеспечивает его синхронизацию с другими модулями, используемыми в системе. Кроме того, таймер-счетчик PXI-6602 используется для генерации сигналов управления пневматической транспортной системой и системой прерывания пучка протонов, а также синхронизации работы всей установки в целом. Ширина канала во временных спектрах определяется параметрами тактовых сигналов. В настоящих измерениях ширина канала ∆t составляла 0.0001 с.
Регистрация числа импульсов, поступающих с детектора нейтронов в систему сбора и обработки данных, велась непрерывно, включая время облучения образца и счета активности запаздывающих нейтронов после прерывания пучка протонов. Данные, накопленные в буфере оперативной памяти, переносились на жесткий диск и хранились на нем в кумулятивной форме в виде бинарного файла
,
где С(tk) – суммарное число импульсов, зарегистрированных в интервале времени (ti, ti + 1), N(ti) – скорость счета импульсов в момент времени ti, Δti – ширина канала анализатора. Использовалась равномерная шкала каналов анализатора Δti = Δt. В процессе обработки экспериментальных данных распределение C(tk) преобразовывалось в дифференциальную форму N(ti) × Δti. На рис. 4 представлены временные распределения зарегистрированных нейтронов в процессе циклического облучения воды и фторопласта.
Рис. 4. Фрагмент временного распределения импульсов с детектора нейтронов счетного канала, включающий время облучения образца и измерения кривой спада активности запаздывающих нейтронов при исследовании ядер F и 18O. Время облучения для мишеней фторопласта (-C2F4-)n и воды, обогащенной изотопом 18O (верхний и средний графики), составляет 10 с, время измерения – 40 с. Время облучения образца на нижнем графике – 0.5 с, время измерения наведенной активности – 30 с. Ширина временного канала анализатора в обоих случаях равна 0.0001 с.
Регистрация нейтронов в процессе облучения образца позволяет наблюдать эффект блокировки детектора нейтронов в процессе облучения, в результате которого эффективность регистрации нейтронов снижается на 30% в зависимости от величины тока протонов и материала образца.
Регистрация амплитудных распределений импульсов, поступающих с 3He-спектрометра, проводится с помощью многофункционального высокоскоростного модуля PXI-6251 серии М [7], который предназначен для сбора информации при больших уровнях загрузки данных. Модуль PXI-6251 с шиной PCI/PCIe/PXI/PXIe имеет 80 аналоговых входов с разрешением 16 бит c частотой дискретизации 1.25 МГц и шесть независимых контроллеров прямого доступа к оперативной памяти компьютера (DMA). Амплитудный анализ импульсов в спектрометрическом канале проводился с помощью виртуального прибора – детектора пиков (peak detector) [7], основная функция которого состоит в поиске и определении значений амплитуд импульсов, поступающих на вход модуля PXI-6251. Кроме того, детектор пиков находит временные координаты и вторые производные пиков или впадин во входном сигнале. Набор этих параметров позволяет в процессе обработки данных определять амплитудные спектры нейтронов в любые заданные промежутки времени, а также получать временные спектры поступающих на вход сигналов-импульсов с заранее выбранными амплитудами. На рис. 5 показаны аппаратурные спектры нейтронов, измеренные во время сеанса облучения образцов-мишеней 238U, воды, обогащенной по изотопу 18O, и Al.
Рис. 5. Амплитудные распределения нейтронов, измеренные с помощью 3He-спектрометра во время сеанса облучения образцов-мишеней 238U, воды, обогащенной по изотопу 18O, и Al. Ширина канала равна 0.01 В.
На рис. 5 видно, что спектры нейтронов для представленных мишеней существенно отличаются друг от друга. Спектр нейтронов при взаимодействии протонов с ядрами 238U значительно мягче спектров в случае мишеней H2O и Al, что обусловлено присутствием в спектре компоненты, соответствующей нейтронам деления ядер 238U.
3.4. Управление пучком ускорителя
Прерывание пучка ускорителя выполнялось с помощью блока БПП (см. рис. 2), управление которым осуществлялось сигналами TTL, генерируемыми таймер-счетчиком PXI-6602 в соответствии с заранее заданными параметрами эксперимента. При этом сигнал с амплитудой 5 В (высокий уровень) служил для включения и поддержания открытого состояния пучка в течение времени облучения tirr, а сигнал низкого уровня (с нулевой амплитудой) – для прерывания пучка на время регистрации запаздывающих нейтронов tmeas.
3.5. Программное обеспечение и язык программирования
В качестве программного обеспечения использовалась операционная система Windows XP Professional OS, драйверы всех портов ввода-вывода, а также драйвер NI-DAQmx [7]. Компьютерные программы управления экспериментом, сбора экспериментальных данных и их представление в виде графиков и гистограмм в режиме реального времени на мониторах системы были написаны на языке LabView, использующем концепцию виртуальных приборов, что позволило оперативно адаптировать пользовательский интерфейс для интерактивного управления системой сбора информации в процессе подготовки и проведения экспериментов.
ПРОЦЕДУРА ИЗМЕРЕНИЙ
В эксперименте с использованием пневматической системы транспортировки образцы имели форму цилиндра длиной 20 мм и диаметром 11 мм. С обеих сторон к образцу крепились с помощью резьбового соединения направляющие втулки. Образцы делящихся веществ были помещены в герметические капсулы из нержавеющей стали, которые, в свою очередь, были установлены в тонкостенный контейнер, изготовленный из дюралюминия.
В эксперименте со стационарной установкой образцов, последние представляли собой цилиндры диаметром 40 мм и высотой 10 мм. В случае порошковых материалов использовались тонкостенные контейнеры, изготовленные из алюминия толщиной 0.1 мм.
Юстировка положения образца на позиции облучения осуществлялась с помощью луча лазера, установленного в разрыве ионопровода ускорителя (см. рис. 2). Вначале лазер устанавливался в положение, при котором его луч проходил через центры изображений профиля пучка протонов, нанесенных на прозрачные экраны. Затем по лучу лазера устанавливался исследуемый образец. После установки образца на позиции облучения лазер перемещался в зону вне пучка протонов.
Измерение фона нейтронов в эксперименте со стационарно установленными мишенями проводилось с использованием тех же экспериментальных условий, но без образцов на позиции облучения. Одновременно измерялась плотность потока протонов. В эксперименте с использованием пневматической системы транспортировки фон определялся с помощью макета образца, содержащего лишь направляющие втулки. Для мишеней из порошков и воды фон был определен с помощью измерений активности, проведенных на пустых контейнерах.
Полное число протонов, прошедших сквозь образец, было получено активационным методом с помощью монитора – фольги из алюминия, которая располагалась в непосредственной близости от образца. Облученная фольга устанавливалась на Ge(Li)- детектор для определения активности 24Na, накопленной в процессе ее облучения. С помощью известных данных по сечению реакции 27Al(p,3pn)24Na (9.1 мб [6]) определялось число протонов, прошедших сквозь образец во время сеанса облучения. В качестве второго монитора служила ионизационная камера. Использование двух мониторов нейтронного потока позволяет избежать возможных систематических ошибок в определении полного числа протонов, прошедших сквозь исследуемый образец. Сравнительный анализ данных показал, что значения плотности потока протонов, полученные двумя независимыми методами, согласуются в пределах неопределенностей данных. Систематические погрешности при определении плотности потока протонов обнаружены не были.
РЕЗУЛЬТАТЫ
Накопленные в кумулятивном виде данные C(tk) преобразовывались в дифференциальную форму с помощью стандартной процедуры
.
На следующем шаге проводилось суммирование кривых спада интенсивности запаздывающих нейтронов, относящихся ко всем циклам одной серии измерений. Для каждого исследуемого элемента было выполнено три и больше серий измерений. Дополнительные меры по защите детектора от нейтронов, рассеянных в мишенном зале ускорителя, не позволили полностью устранить влияние первичного пучка нейтронов на время восстановления рабочих характеристик детектора. Поэтому в настоящей работе был поставлен дополнительный эксперимент, направленный на изучение динамики восстановления счетной характеристики детектора нейтронов в зависимости от величины тока протонов и материала мишени с помощью методики, подробно описанной в работе [8]. В эксперименте измерялась временная зависимость скорости счета нейтронов из Pu–Be- источника сразу после сеанса облучения образца-мишени при разных значениях плотности потока протонов. Полученные данные были использованы для введения поправки на эффект конечного времени восстановления счетной характеристики детектора нейтронов. Затем кривые спада нейтронной активности обрабатывались с помощью итерационного метода наименьших квадратов [9]. Оценивались параметры: активность насыщения (А) и относительные выходы отдельных групп запаздывающих нейтронов (аi), на основании которых определялось сечение образования легких фрагментов или значения фракционных выходов продуктов деления в случае взаимодействия протонов с тяжелыми ядрами.
5.1. Экспериментальные данные, полученные на коллимированном пучке протонов со стационарно установленными мишенями
Описанная выше установка была использована для проведения измерений сечения образования легких фрагментов при взаимодействии релятивистских протонов с ядрами в широком диапазоне массовых чисел (А = 12 – 238). Часть первичной информации – кривые спада активности запаздывающих нейтронов и соответствующий фон нейтронов, полученные в эксперименте на коллимированном пучке протонов со стационарно установленными образцами-мишенями H218O, (С2F4)n, Al, S, W, показаны на рис. 6. Данные были преобразованы в шкалу с ценой канала 0.02 с.
Рис. 6. Кривые спада нейтронной активности при взаимодействии протонов с образцами H218O, (-С2F4-)n, W, Si, S. Время облучения составляет 10 с. Ширина канала анализатора – 0.02 с. Синими кружками показан фон нейтронов, полученный в идентичных экспериментальных условиях, но без мишени-образца.
На рис. 6 видно, что фон нейтронов имеет динамический характер. Его происхождение связано с активностью, обусловленной взаимодействием протонов с элементами атмосферы в экспериментальном зале, а также с конструкционными материалами установки, в частности с коллиматором пучка протонов. Величина фона составляет 20% для эксперимента, в котором облучалась вода, 70% для эксперимента, в котором облучалась S, т. е. на элементах, сечение генерации запаздывающих нейтронов у которых сравнительно мало. В табл. 2 приведены сечения образования 17N, полученные в результате анализа кривых спада активности, представленных на рис. 6.
Таблица 2. Сечения образования ядер 17N при взаимодействии протонов с энергией 1 ГэВ с ядрами F, Al, Si, S, W, полученные на стационарно установленных мишенях
Настоящая работа | Работа [1] | |
Мишень | σN, мб | σN, мб |
F | 2.307 ± 0.115 | 2.03 ± 0.12 |
Al | 0.847 ± 0.042 | 0.66 ± 0.04 |
Si | 0.354 ± 0.032 | 0.33 ± 0.02 |
S | 0.442 ± 0.035 | 0.26 ± 0.02 |
W | 0.459 ± 0.023 | 0.393 ± 0.023 |
Неопределенности данных включают в себя статистическую ошибку (3%) и неопределенность, связанную с определением эффективности детектора нейтронов (5%). Неопределенности в сечении реакции, используемой в качестве монитора потока протонов, не учитывались.
Сравнение данных, полученных в настоящей работе с данными из работы [1], показывает, что сечения на ядрах F, Si, W согласуются в пределах указанных неопределенностей. Значения сечения на ядрах S, Al, полученные в настоящей работе, превышают значения, полученные в работе [1]. Следует отметить, что значение сечения для Al (0.796 ± 0.032 мб), полученное в настоящем эксперименте с использованием пневматического устройства на другой конфигурации пучка протонов, согласуется с нашими данными, полученными на стационарно установленных мишенях (0.847 ± 0.042 мб). Анализ возможных причин расхождения данных будет проведен при получении сечений во всем диапазоне исследуемых нуклидов.
5.2. Экспериментальные данные, полученные на неколлимированном пучке протонов с использованием пневмопочты для перемещения образцов
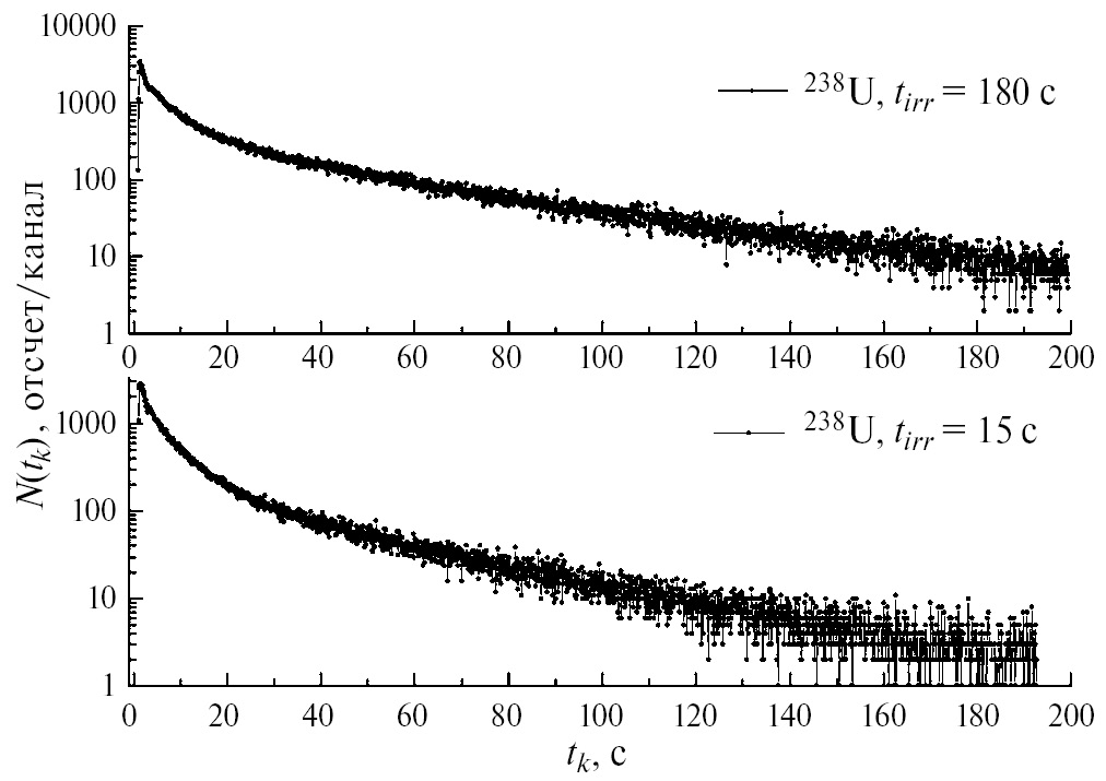
В настоящем эксперименте неколлимированный пучок протонов использовался в основном для изучения временных распределений запаздывающих нейтронов на тяжелых ядрах: 232Th, 235U и 238U. Следует отметить, что несмотря на мощную защиту (бетонный блок толщиной 1 м), используемую в настоящем эксперименте, эффект блокировки нейтронного детектора не удалось устранить полностью. Поэтому для введения поправки с целью учесть данный эффект использовалась процедура, описанная выше для случая стационарно установленных мишеней. На рис. 7 показаны кривые спада нейтронной активности, измеренные на ядрах мишени 238U при двух значениях времени облучения образцов: 15 и 180 с. В представленные данные внесена поправка на эффект блокировки детектора. Детальный анализ экспериментальных данных, полученных для мишени 238U, описан в работе [10]. В качестве иллюстрации к настоящему методу ниже приводятся результаты анализа кривых спада нейтронной активности образца 238U, представленные в работе [10].
Рис. 7. Кривые спада нейтронной активности при взаимодействии протонов с ядрами 238U. Верхний рисунок: время облучения равно 180 с, ширина канала анализатора – 0.1 с. Нижний рисунок: время облучения равно 15 с, ширина канала анализатора – 0.1 с.
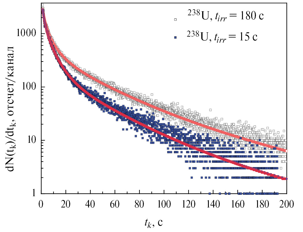
Анализ измеренных данных был проведен с помощью итерационного метода наименьших квадратов [10] с целью получения оценки фракционных выходов запаздывающих нейтронов. При анализе данных использовалась модель 8-группового представления временного распределения запаздывающих нейтронов [11], в которой постоянные распада отдельных групп ядер-предшественников были фиксированы, а вклад компоненты запаздывающих нейтронов, испускаемых осколками 16С и 17N, образующимися в результате реакции спаллейшен, учитывался с помощью введения дополнительных групп с периодами полураспада 0.747 и 4.173 с соответственно. Вклад долгоживущих компонентов (T1/2 = 55.6, 24.5 и 16.3 с) оценивался на основании данных, полученных с экспозицией tirr = 180 с, а вклад короткоживущих компонентов – на основании данных с tirr = 15 с. При анализе данных с tirr = 15 с вклады долгоживущих групп были фиксированы. Результаты анализа представлены на рис. 8 и в табл. 3.
Рис. 8. Результаты оценки временных параметров запаздывающих нейтронов. Точки – экспериментальные данные. Кривые получены в результате оценки временных параметров запаздывающих нейтронов [10].
Таблица 3. Фракционные выходы восьми групп запаздывающих нейтронов при делении 238U протонами с энергией 1 ГэВ
Ядро-мишень, энергия протонов (нейтронов), фракционные выходы запаздыващих нейтронов | Номер группы, значение периода полураспада и основные ядра-предшественники данной группы запаздывающих нейтронов | Средний период полураспада, с | |||||||
1 | 2 | 3 | 4 | 5 | 6 | 7 | 8 | ||
55.6 с | 24.5 с | 16.3 с | 5.21 с | 2.37 с | 1.04 с | 0.424 с | 0.195 с | ||
87Br | 137I | 88Br | 138I | 94Rb | 93Kr | 91Rb | 96Rb | ||
93Rb | 139I | 144Cs | 95Rb | 97Rb | |||||
89Br | 85As | 140I | |||||||
98mY | |||||||||
238U, 1 ГэВ, ai | 0.025 ± 0.001 | 0.090 ± 0.003 | 0.068 ± 0.003 | 0.289 ± 0.005 | 0.313 ± 0.010 | 0.157 ± 0.006 | 0.033 ± 0.005 | 0.025 ± 0.002 | 7.13 ± 0.12 |
238U, спектр нейтронов деления, ai | 0.084 ± 0.001 | 0.104 ± 0.002 | 0.038 ± 0.008 | 0.137 ± 0.020 | 0.294 ± 0.012 | 0.197 ± 0.002 | 0.128 ± 0.013 | 0.0931 ± 0.0034 | 5.32 ± 0.14 |
Примечание. Для каждой группы указаны наиболее значимые ядра-предшественники, дающие более 90% полного выхода запаздывающих нейтронов в низкоэнергетическом делении.
В таблице также приводятся данные по относительным выходам запаздывающих нейтронов в 8-групповом представлении, полученные при делении 238U нейтронами спектра деления [11]. Видно, что настоящие данные значительно отличаются от данных, полученных в реакции деления 238U быстрыми нейтронами. Значение среднего периода полураспада (<T> = 7.130.12 с) при делении релятивистскими протонами значительно превышает значение, полученное при низкоэнергетическом делении нейтронами (<T> = 5.320.14 с). Фракционные выходы запаздывающих нейтронов при взаимодействии протонов с энергией 1 ГэВ с урановой мишенью были измерены в работе [1]. Полученные результаты в этой работе представлены в 6-групповом виде. При анализе кривых спада использовались фиксированные значения постоянных распада из работы [12]. Короткоживущая группа запаздывающих нейтронов не учитывалась, поскольку авторы не смогли определить вклад компоненты, обусловленной реакцией 12C(p, 4p)9Li (T1/2 = 0.178 c). Значение среднего периода полураспада, полученное в работе [1], составляет 7.450.74 с. Это значение согласуется с результатами настоящей работы: 7.130.12 с. Детальный сравнительный анализ данных по фракционным выходам запаздывающих нейтронов при низкоэнергетическом делении 238U и при взаимодействии этого ядра с релятивистскими протонами приведен в работе [10].
ЗАКЛЮЧЕНИЕ
В работе описан метод и созданная на его основе установка, предназначенная для исследования сечений образования ядер-предшественников запаздывающих нейтронов 9Li, 16C, 17N и фракционных выходов запаздывающих нейтронов при взаимодействии релятивистских протонов с энергией 1 ГэВ с ядрами мишеней с массовыми числами в диапазоне от 12 до 238. Установка, смонтированная на ионопроводе синхроциклотрона ПИЯФ (Гатчина), позволяет проводить измерения на пучках разной конфигурации. При использовании коллимированного пучка ионов измерения проводятся на стационарно установленных мишенях-образцах. Высокоинтенсивные пучки протонов предполагают использование высокоэффективной защиты детекторов и пневматической системы транспортировки образцов от позиции облучения к детектору нейтронов.
Созданная электронная системана копления экспериментальных данных, построенная на приборах National Instruments, позволяет проводить непрерывную регистрацию числа и энергетических спектров нейтронов во время сеанса облучения, а также временную зависимость спада нейтронной активности после прерывания пучка протонов с высоким временным разрешением и энергетические спектры запаздывающих нейтронов.
В качестве иллюстрации в работе приведены результаты измерений сечений генерации ядер 17N на ядрах мишеней F, Al, Si, S, W, а также данные по фракционным выходам запаздывающих нейтронов при взаимодействии релятивистских протонов с ядрами 238U.
About the authors
А. С. Егоров
Физико-энергетический институт им. А.И. Лейпунского Государственного научного центра Российской Федерации
Author for correspondence.
Email: egorov@ippe.ru
Russian Federation, Обнинск
В. М. Пиксайкин
Физико-энергетический институт им. А.И. Лейпунского Государственного научного центра Российской Федерации
Email: piksa@ippe.ru
Russian Federation, Обнинск
А. А. Говердовский
Физико-энергетический институт им. А.И. Лейпунского Государственного научного центра Российской Федерации
Email: egorov@ippe.ru
Russian Federation, Обнинск
В. Ф. Митрофанов
Физико-энергетический институт им. А.И. Лейпунского Государственного научного центра Российской Федерации
Email: egorov@ippe.ru
Russian Federation, Обнинск
К. В. Митрофанов
Физико-энергетический институт им. А.И. Лейпунского Государственного научного центра Российской Федерации
Email: egorov@ippe.ru
Russian Federation, Обнинск
Д. Е. Гремячкин
Физико-энергетический институт им. А.И. Лейпунского Государственного научного центра Российской Федерации
Email: dgremyachkin@ippe.ru
Russian Federation, Обнинск
References
- Dostrovsky I., Davis R.Jr., Poskanzer A.M., Reeder P.L. // Phys. Rev. 1965. V. 139. P. 1513. https://doi.org/10.1103/PhysRev.139.B1513
- Bernas M., Armbruster P., Benlliure J., Boudard A., Casarejos E., Czajkowski S., Enqvist T., Legrain R., Leray S., Mustapha B., Napolitani P., Pereira J., Rejmund F., Ricciardi M.-V., Schmidt K.-H., Stéphan C., Taieb J., Tassan-Got L., Volant C. // Nucl. Phys. A. 2003. V. 725. P. 213. https://doi.org/10.1016/S0375-9474(03)01576-8
- Roshchenko V.A., Piksaikin V.M., Isaev S.G., Goverdovski A.A. // Phys. Rev. C. 2006. V. 74. P. 014607. https://doi.org/10.1103/PhysRevC.74.014607
- NUDAT 2.8. URL: https://www.nndc.bnl.gov/nudat2/
- Пиксайкин В.М., Семенова Н.Н., Мильшин В.И., Рощенко В.А., Королев Г.Г. // ПТЭ. 2006. № 6. С. 29.
- Cumming J.B., Hudis J., Poskanzer A.M., Kaufman S. // Phys. Rev. 1962. V. 128. P. 2392. https://doi.org/10.1103/PhysRev.128.2392
- National Instruments. URL: http://www.ni.com/
- Пиксайкин В.М., Рощенко В.А., Королев Г.Г. // ПТЭ. 2006. № 6. C. 43.
- Piksaikin V.M., Kazakov L.E., Isaev S.G., Tarasko M.Z., Roshchenko V.A., Tertytchnyi R.G., Spriggs G.D., Campbell J.M. // Prog. Nucl. Energy. 2002. V. 41. № 1–4. P. 203. https://doi.org/10.1016/S0149-1970(02)00012-4
- Egorov A.S., Piksaikin V.M., Goverdovski A.A., Gremyachkin D.E., Mitrofanov K.V, Mitrofanov V.F., Samylin B.F., Vaishnene L.A., Moroz F.V., Vorobyev A.S., Shcherbakov O.A. // Prog. Nucl. Energy. 2017. V. 97. P. 106. https://doi.org/10.1016/j.pnucene.2017.01.002
- Spriggs G.D., Campbell J.M., Piksaikin V.M. // Prog. Nucl. Energy. 2002. V. 41. № 1–4. P. 223. http://dx.doi.org/10.1016/S0149-1970(02)00013-6
- Eepin G.R., Wimett T.F., Zeigler R.K. // J. Nuclear Energy. 1957. V. 6. P. 1044. https://doi.org/10.1103/PhysRev.107.1044
Supplementary files










