Применение стеклянных капилляров с внешним диаметром менее одного микрометра в манипуляторе, изготовленном на основе атомно-силового микроскопа
- Авторы: Жуков А.А.1, Чекмазов С.В.1, Лакунов И.С.1, Мазилкин А.А.1, Баринов Н.А.2, Клинов Д.В.2
-
Учреждения:
- Институт физики твердого тела Российской академии наук
- Московский физико-технический институт (Национальный исследовательский университет)
- Выпуск: № 2 (2024)
- Страницы: 186–193
- Раздел: ЛАБОРАТОРНАЯ ТЕХНИКА
- URL: https://bakhtiniada.ru/0032-8162/article/view/266155
- DOI: https://doi.org/10.31857/S0032816224020235
- EDN: https://elibrary.ru/QRGRQW
- ID: 266155
Цитировать
Полный текст
Аннотация
Рассмотрены применения стеклянных капилляров с внешним диаметром на их остром конце менее 0.3 мкм в качестве зондов в манипуляторе, созданном на базе атомно-силового микроскопа (АСМ), работающего в динамическом полноконтактном режиме. Исследованы различные аспекты настройки системы обратной связи в данном режиме работы АСМ для корректного получения изображения топографии исследуемого образца. Приведены примеры использования капилляров в качестве зондов для перемещения нановискеров с характерным диаметром 100 нм и чешуек гексагонального нитрида бора (hBN) с характерными размерами от единиц до сотен микрометров. Показана возможность создания и перемещения капель жидкости объемом менее 100 аттолитров.
Полный текст
1. Введение
В настоящее время применение стеклянных капилляров с характерными внешними диаметрами на остром конце в несколько микрометров или даже в несколько десятков нанометров в качестве зондов атомно-силовых микроскопов (АСМ) и сканирующих электро-химических микроскопов (СЭХМ) стало достаточно стандартным явлением [1–4]. Широкое применение капилляров в манипуляторах [5], в СЭХМ для получения данных о рельефе исследуемых биологических объектов [4] или их механических свойств [6], а также для введения в клетки медицинских препаратов [7] многократно подтвердило утверждение о том, что стеклянные капилляры являются удобным и эффективным видом зондов, которые предоставляют достаточно широкие возможности их использования в самых различных областях исследования в биологии и медицине.
Применение стеклянных капилляров оказывается особенно важным в случае необходимости одновременного применения техник АСМ и СЭХМ [8, 9]. При применении данной комбинированной методики оказывается возможным получение информации о рельефе исследуемых объектов даже в условии, когда концентрация ионов в растворе чрезвычайно низка. Использование комбинированного метода АСМ–СЭХМ позволило сравнить высокоориентированный пиролитический графит, золото и платину в качестве электродов для визуализации восстановления белков в мембране [10], визуализировать процесс диффузии через единичную пору [11] и получить пространственное распределение каталитического тока кислорода при восстановлении частиц Fe и Pt [12].
Как правило, в атомно-силовых микроскопах стеклянные капилляры применяются в режиме, когда колебания его острого конца происходят параллельно поверхности исследуемого образца, в так называемой “shear mode” [13]. В работе [14] была продемонстрирована возможность использования стеклянного капилляра с минимальным внешним диаметром d = 2 мкм в качестве зонда в АСМ, работающего в полноконтактном динамическом режиме [15]. В данном режиме острие капилляра, прикрепленного к кварцевому резонатору, постоянно прижато к поверхности, как в контактном режиме АСМ, при этом амплитуда колебаний кварцевого резонатора используется в качестве сигнала обратной связи как в полуконтактном [15]. В работе [14] были представлены примеры применения стеклянного капилляра с минимальным внешним диаметром d = 2 мкм в качестве зонда в микрофлюидике, в частности, для создания и перемещения капель, имеющих характерный объем от 200 до 400 фемтолитров.
В данной работе обсуждаются различные аспекты применения стеклянных капилляров с наименьшим внешним диаметром d < 300 нм, а также алгоритм реализации правильной работы системы обратной связи в динамическом полноконтактном режиме. Кроме того, приведены примеры успешного применения зондов данного типа для перемещения нановискеров, листов hBN и создания капель с характерным объемом менее 100 аттолитров.
2. Описание эксперимента
В качестве заготовок для будущих капилляров были использованы боросиликатные стеклянные трубки с внешним диаметром 1.0 мм и внутренним диаметром 0.58 мм. Для изготовления капилляров методом вытягивания применялся пуллер Флемминга–Бауна (P-2000 Micropipette Puller компании Sutter Instrument). Процесс вытягивания капилляра проводился в несколько этапов. Для каждого этапа подбирались температура, сила и скорость вытягивания капилляра. После завершения процесса изготовления измерение внутреннего диаметра полученных капилляров осуществлялось в сканирующем электронном микроскопе (Merlin компании Carl Zeiss, Германия). Характерные величины внутреннего диаметра изготовленных капилляров составляют от 10 до 100 нм.
Капилляр монтировался на кварцевый резонатор с исходной собственной частотой колебаний F = 32768 Гц. После прикрепления капилляра величина характерной собственной частоты колебаний понижалась и оказывалась в диапазоне от 20 до 25 кГц (рис. 1). Механические колебания кварцевого резонатора возбуждались при помощи пьезопластинки [14]. Сигнал с кварцевого резонатора подавался на усилитель тока, а затем на синхронный детектор (Signal Recovery 7225). Аналогично полуконтактному режиму АСМ, амплитуда сигнала с кварцевого резонатора использовалась в качестве сигнала для системы обратной связи для электронного блока управления атомно-силовым микроскопом (BL222TNTF, NT-MDT SI). Собранный узел с кварцевым резонатором и стеклянным капилляром в качестве острия АСМ помещался в манипулятор [15].
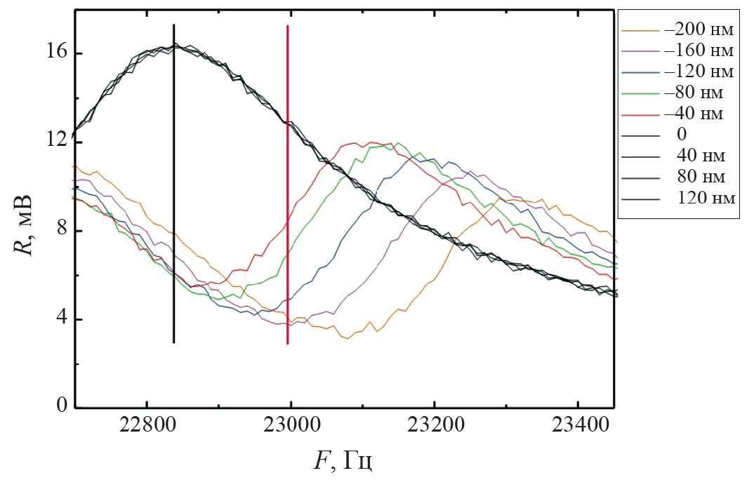
Рис. 1. Резонансные кривые кварцевого осциллятора R(F) при различном значении его смещения (h) над поверхностью подложки. Частота резонанса свободно колеблющегося кварцевого резонатора с прикрепленным капилляром F = 22 840 Гц отмечена вертикальной черной линией. Оптимальная частота для корректной работы системы обратной связи АСМ F = 23 000 Гц отмечена вертикальной красной линией.
Толуол особой частоты (ТУ 2631-065-44493179-01) использовался в экспериментах по микрофлюидике в качестве жидкости. В качестве подложки были использованы пластины, изготовленные из допированного кремния с выращенным оксидным слоем толщиной 100 нм.
3. Результаты эксперимента и их обсуждение
На рис. 1 представлена зависимость спектра амплитуды осцилляций кварцевого резонатора R(F) от относительного изменения положения кварцевого резонатора h над поверхностью подложки. На данном графике h = 0 нм соответствует минимально возможному положению, при котором острие капилляра еще не касается поверхности оксида кремния. Для всех неотрицательных значений h резонансные кривые совпадают. Вдавливание острия в поверхность подложки приводит к существенному изменению резонансной кривой, в частности, растет значение резонансной частоты (рис. 1). Резонансные кривые, представленные на рис. 1, были получены при разворачивании частоты в сторону ее увеличения. Экспериментальные кривые, полученные при разворачивании частоты в сторону ее уменьшения, совпали с данными на рис. 1 с точностью до шума. Таким образом, поведение резонансных кривых в динамическом полноконтактном режиме существенно отличается от резонансных кривых в случае полуконтактного режима, на которых наблюдается гистерезис [16]. Следует отдельно отметить, что из-за наличия возможных паразитных резонансов в системе для правильно работающей системы обратной связи следует выбрать частоту F = 23 000 Гц. Для данного значения частоты амплитуда колебаний кварцевого резонатора будет понижаться при вдавливании острия в поверхность подложки, что не выполняется для частоты F = 22 840 Гц, которая является резонансной в условиях свободных колебаний острия зонда и которая часто используется для работы в полуконтактном режиме АСМ. Таким образом, настройка полноконтактного динамического режима оказывается несколько более сложной, однако она может быть успешно выполнена, если поведение R(F) в зависимости от вертикального перемещения кварцевого резонатора известно (рис. 1).
На рис. 2а представлен результат измерения рельефа стандартной калибровочной решетки TGZ1 компании NT-MDT SI при использовании стеклянного капилляра с минимальным внешним диаметром d < 300 нм в качестве зонда в динамическом полноконтактном режиме работы АСМ. Все манипуляции с нановискерами, листами hBN и каплями, представленные в данной работе, были выполнены с использованием стеклянных капилляров малого диаметра, а именно, с внешним диаметром на остром конце менее 300 нм. Профиль вдоль направления быстрого сканирования представлен на рис. 2б. Характерный шум в определении рельефа составляет 10–15 нм. Данный уровень шума сравним с полученными ранее величинами при использовании вольфрамового острия в качестве зонда [17]. Угол в 45 градусов между направлением быстрого сканирования и направлением протравленных полос калибровочной решетки был выбран с целью избежать залипания острия.
Рис. 2. а) Результат измерения рельефа стандартной калибровочной решетки (TGZ1, NT-MDT SI). б) Профиль измеренного рельефа вдоль направления быстрого сканирования. Масштабы на рис. а и б по горизонтальной оси совпадают.
Набор изображений на рис. 3 демонстрирует возможность перемещения нановискеров InAs, имеющих характерный диаметр 100 нм, по поверхности подложки при помощи стеклянного капилляра малого диаметра. На рис. 3а, б, в показаны соответственно общий вид подложки и капилляра, начальное и конечное положения нановискеров. Все три изображения получены при помощи оптического микроскопа. Итоговое положение нановискеров в форме буквы “Т” изображено на рис. 3г, – оно было получено при помощи сканирующего электронного микроскопа. Важно отметить, что перемещение как отдельных нановискеров, так и их пучков возможно только при применении стандартных металлических игл, изготовленных из вольфрама или PtIr, или с использованием стеклянных капилляров малого диаметра (d < 300 нм). Все попытки перемещения нановискеров капиллярами большого диаметра (d = 2 мкм) оказывались неудачными, вискеры разрушались.
Рис. 3. а) Общий вид подложки и капилляра. б) Исходное положение нановискеров InAs. в) Конечное положение нановискеров. Масштабы на рис. б и в совпадают. Изображения а– в получены при помощи оптического микроскопа. г) Итоговое положение нановискеров (Т-образная конфигурация), полученное при помощи сканирующего электронного микроскопа.
На рис. 4–7 представлены примеры удачного применения стеклянных капилляров малого диаметра для перемещения чешуек hBN с характерными размерами от единиц до сотен микрометров, т.е. объектов, линейные размеры которых различаются на два порядка. В настоящее время основные методы переноса листов и чешуек hBN основаны на использовании полимерных материалов в качестве клейкой основы, по аналогии со скотчем, применяемым для создания одно- или двухслойного графена [18, 19]. При этом контакт полимера происходит со всей поверхностью перемещаемого листа hBN. Дополнительная коррекция положения листа hBN может быть осуществлена стандартным зондом АСМ [20] или иглой манипулятора [21].
Рис. 4. Пример перемещения пластины hBN микронного размера при помощи стеклянного капилляра малого диаметра. Белый угол на рисунках отмечает исходное положение правого края пластины. Масштабы на рис. а и б совпадают.
На рисунках 4а, б показана возможность перемещения микрочешуйки hBN по поверхности подложки без отрыва чешуйки от поверхности. Таким образом, перемещение происходит абсолютно аналогично перемещению по поверхности нановискеров, представленному выше на рис. 3б, в.
Процесс перемещения больших пластин hBN, имеющих линейный размер более сотни микрон, существенно более сложен, он показан на серии изображений на рис. 5. Сначала необходимо подвести капилляр под край листа hBN (рис. 5а–д), далее надо провести капилляр под всем листом (рис. 5е–и), после чего лист hBN переводится в вертикальное положение, как это изображено на рис. 5к. Лист готов к перемещению в другое место на этой же подложке или на другую подложку (см. рис. 5л, м). Для перемещения листа на другую подложку удобно воспользоваться вторым зондом манипулятора [15].
Рис. 5. Этапы процесса перемещения пластины hBN большого (более 100 микрометров) размера: а–д – подведение зонда под лист, е–л – отделение листа от поверхности, м – лист hBN лежит на капилляре, т.е. приготовлен для перемещения на другое место данной подложки или к переносу на другую подложку. Масштабы на рис. а–и и на рис. к–м совпадают.
Следует отдельно отметить, что многослойный лист hBN, который был вышеуказанным образом оторван от поверхности, более не является плоским, а имеет форму купола, что было установлено в результате измерений посредством АСМ (P47, NT-MDT SI). Таким образом данный лист касается поверхности подложки только своими краями, что позволяет перемещать данный лист по поверхности подложки без дополнительного его отрыва, этот факт будет более подробно обсуждаться ниже. Свободно лежащий лист hBN показан на рис. 6а, т.е. капилляр из-под листа (рис. 5м) убран. Первая попытка перемещения его по поверхности подложки (рис. 6б) привела не к его параллельному перемещению вдоль направления, показанного зеленой стрелкой на рис. 6б, а к его вращению вокруг точки, обозначенной на рис. 6б черной окружностью, поскольку направление вектора приложенной силы указывает практически на центр масс листа. Если столкнуть лист, приложив усилие точно в точку вращения, то параллельное перемещение листа hBN оказывается возможным, см. рис. 6в, г.
Рис. 6. а, б) Примеры поворота листа hBN большого размера вокруг точки вращения (черная окружность). в, г) Примеры параллельного перемещения листа hBN большого размера. Масштабы на рис. а и б, а также на рис. в и г совпадают.
Было обнаружено, что возможность вращать и перемещать лист hBN с характерными линейными размерами более 100 мкм сохраняется и через две недели при хранении в нормальных условиях. Мы полагаем, что обнаруженная мобильность листа hBN связана с двумя факторами. Первый – когда лист касается поверхности подложки только своими краями, таким образом силы Ван дер Ваальса оказываются существенным образом подавлены. Второй фактор связан, видимо, с тем, что на поверхности оксида кремния при относительной влажности более 10% образуется пленка воды, по которой гидрофобный лист hBN свободно плавает.
Как было отмечено ранее, лист hBN может быть “пришпилен” в некоторой точке к подложке, в этом месте возникает точка вращения, рис. 6. Наличие такой точки может оказаться полезным для удобного и точного позиционирования листа hBN, поскольку относительный угол между кристаллическими направлениями графена и лежащим на нем hBN может оказывать существенное влияние на электронный транспорт в графене [22–26]. Таким образом, возможность создания точки вращения в произвольном месте на листе hBN представляется важной. Пример создания такой точки представлен на рис. 7. Исходный лист (рис. 7а) сначала отделяется от поверхности (рис. 7б); свободно положенный на кремниевую подложку лист при этом остается подвижным и “плавает” по поверхности пленки воды (рис. 7в). Прижимание капилляром листа в точке, отмеченной красным кружком на рис. 7г–е, создает точку вращения, выдавливая в этом месте воду из-под листа hBN и увеличивая в этом месте взаимодействие Ван дер Ваальса между листом и подложкой. Таким образом, оказывается возможным вращение листа вокруг данной точки, рис. 7г–е.
Рис. 7. Пример создания точки вращения листа hBN. Масштабы на всех изображениях совпадают.
Точно так же, как и в случае использования в качестве зонда вольфрамового острия или капилляра большого диаметра (d = 2 мкм), капилляры малого диаметра (d < 300 нм) можно использовать в микрофлюидике. Создание и перемещение капель жидкости с помощью так называемой “dip-pen”-литографии [17, 27, 28] продемонстрировано на рис. 8. Большая капля на рис. 8а была использована в качестве резервуара (“чернильницы”). Характерный объем полученных капель А и Б составляет от 60 до 90 аттолитров. Это почти на три порядка меньше, чем характерный объем капель в случае использования капилляра большого диаметра (d = 2 мкм) [14]. Результат перемещения капли Б представлен на рис. 8б.
Рис. 8. Пример создания и перемещения капель жидкости (капли А и Б отмечены стрелками) по поверхности подложки. Масштабы изображений на обоих рисунках совпадают.
4. Выводы
Исследованы особенности применения и настройки системы обратной связи в случае использования стеклянного капилляра малого диаметра (d < 300 нм) в манипуляторе на базе АСМ, работающего в полноконтактном динамическом режиме. Показаны возможности использования зондов данного типа для манипулирования нановискерами, а также листами hBN на подложке из оксида кремния. Рассмотрены особенности мобильности листов hBN на данной подложке. Показана возможность создания и перемещения капель жидкости с характерными объемами менее 100 аттолитров данными зондами.
Благодарности
Авторы благодарны В.В. Дремову, А.С. Бричкину и А.В. Черненко за приготовление образцов и полезные обсуждения данной статьи.
Финансирование работы
Работа выполнена в рамках проекта Российского научного фонда (23-22-00141, https://rscf.ru/project/23-22-00141/).
Об авторах
А. А. Жуков
Институт физики твердого тела Российской академии наук
Автор, ответственный за переписку.
Email: azhukov@issp.ac.ru
Россия, 142432, Черноголовка, Московская обл., ул. Академика Осипьяна, 2
С. В. Чекмазов
Институт физики твердого тела Российской академии наук
Email: azhukov@issp.ac.ru
Россия, 142432, Черноголовка, Московская обл., ул. Академика Осипьяна, 2
И. С. Лакунов
Институт физики твердого тела Российской академии наук
Email: azhukov@issp.ac.ru
Россия, 142432, Черноголовка, Московская обл., ул. Академика Осипьяна, 2
А. А. Мазилкин
Институт физики твердого тела Российской академии наук
Email: azhukov@issp.ac.ru
Россия, 142432, Черноголовка, Московская обл., ул. Академика Осипьяна, 2
Н. А. Баринов
Московский физико-технический институт (Национальный исследовательский университет)
Email: azhukov@issp.ac.ru
Россия, 141701, Долгопрудный, Московская обл., Институтский пер., 9
Д. В. Клинов
Московский физико-технический институт (Национальный исследовательский университет)
Email: azhukov@issp.ac.ru
Россия, 141701, Долгопрудный, Московская обл., Институтский пер., 9
Список литературы
- Hansma P.K., Drake B., Marti O., Gould S.A.C., Prater C.B. // Science. 1989. V. 243. P. 641. https://doi.org/10.1126/science.2464851
- Bergner St., Vatsyayan P., Matysik F.-M. // Analytica Chimica Acta. 2013. V. 775. P. 1. https://doi.org/10.1016/j.aca.2012.12.042
- Polcari D., Dauphin-Ducharme Ph., Mauzeroll J. // Chem. Rev. 2016. V. 116. P. 13234. https://doi.org/10.1021/acs.chemrev.6b00067
- Zhu Ch., Huang K., Siepser N.P., Baker L.A. // Chem. Rev. 2021. V. 121. P. 11726. https://doi.org/10.1021/acs.chemrev.0c00962
- Waghulea T., Singhvi G., Dubey S.K., Pandey M.M., Gupta G., Singh M., Dua K. // Biomedicine & Pharmacotherapy. 2019. V. 109. Р. 1249. https://doi.org/10.1016/j.biopha.2018.10.078
- Kolmogorov V.S., Erofeev A.S., Woodcock E., Efremov Y.M., Iakovlev A.P., Savin N.A., Alova A.V., Lavrushkina S.V., Kireev I.I., Prelovskaya A.O., Sviderskaya E.V., Scaini D., Klyachko N.L., Timashev P.S., Takahashi Ya. et al. // Nanoscale. 2021. V. 13. P. 6558. https://doi.org/10.1039/d0nr08349f
- Hennig S., Ries J., Klotzsch E., Ewers H., Vogel V. // Nano Lett. 2015. V. 15. P. 1374. https://doi.org/10.1021/nl2025954
- Shi X., Qing W., Marhaba T., Zhang W. // Electrochimica Acta. 2020. V. 332. P. 135472. https://doi.org/10.1016/j.electacta.2019.135472
- Izquierdo J., Fernández-Pérez B.M., Eifert A., Souto R.M., Kranz C. // Electrochimica Acta. 2016. V. 201. P. 320. https://doi.org/10.1016/j.electacta. 12.160
- Frederix P.L.T.M., Bosshart P.D., Akiyama T., Chami M., Gullo M.R., Blackstock J.J., Dooleweerdt K., de Rooij N.F., Staufer U., Engel A. // Nanotechnology. 2008. V. 19. P. 384004. https://doi.org/10.1088/0957-4484/19/38/384004
- Macpherson J.V., Jones C.E., Barker A.L., Unwin P.R. // Anal. Chem. 2002. V. 74. P. 1841. https://doi.org/10.1021/ac0157472
- Kolagatla S., Subramanian P., Schechter A. // Nanoscale. 2018. V. 10. P. 6962. https://doi.org/10.1039/C8NR00849C
- Betzig E., Finn P.L., Weiner J.S. // Appl. Phys. 1992. Lett. V. 60. P. 2484. https://doi.org/10.1063/1.106940
- Жуков А.А., Романова С.Г. // ПТЭ. 2022. № 3. С. 141. https://doi.org/10.31857/S0032816222040085
- Zhukov A.A., Stolyarov V.S., Kononenko O.V. // Rev. Sci. Instrum. 2017. V. 88. P. 063701. https://doi.org/10.1063/1.4985006
- Voigtlaender B. Atomic Force Microscopy, Nature Switzerland AG: Springer, 2019.
- Жуков А.А. // ПТЭ. 2019. № 3. С. 120. https://doi.org/10.1134/S0032816219030303
- Frisenda R., Navarro-Moratalla E., Gant P., De Lara D.P., Jarillo-Herrero P., Gorbachev R.V., Castellanos-Gomez A. // Chemical Society Rev. 2018. V. 47. P. 53. https://doi.org/10.1039/C7CS00556C
- Castellanos-Gomez A., Buscema M., Molenaar R., Singh V., Janssen L., van der Zant H.S.J., Steele G.A. // 2D Mater. 2014. V. 1. P. 11002. https://doi.org/10.1088/2053-1583/1/1/011002
- Ribeiro-Palau R., Zhang Ch., Watanabe K., Taniguchi T., Hone J., Dean C.R. // Sience. 2018. V. 361. P. 690. https://doi.org/10.1126/science.aat6981
- Schneider G.F., Calado V.E., Zandbergen H., Vandersypen L.M.K., Dekker C. // Nano Lett. 2010. V. 10. P. 1912. https://doi.org/10.1021/nl102069z
- Yankowitz M., Xue J., Cormode D., Sanchez-Yamagishi J.D., Watanabe K., Taniguchi T., Jarillo-Herrero P., Jacquod P., LeRoy B.J. // Nat. Phys. 2012. V. 8. P. 382. https://doi.org/10.1038/nphys2272
- Woods C.R., Britnell L., Eckmann A., Ma R.S., Lu J.C., Guo H.M., Lin X., Yu G.L., Cao Y., Gorbachev R.V., Kretinin A.V., Park J., Ponomarenko L.A., Katsnelson M.I., Gornostyrev Y.N. // Nat. Phys. 2014. V. 10. P. 451. https://doi.org/10.1038/nphys2954
- Hunt B., Sanchez-Yamagishi J.D., Young A.F., Yankowitz M., LeRoy B.J., Watanabe K., Taniguchi T., Moon P., Koshino M., Jarillo-Herrero P., Ashoori R.C. // Science. 2013. V. 340. P. 1427. https://doi.org/10.1126/science.1237240
- Ponomarenko L.A., Gorbachev R.V., Yu G.L., Elias D.C., Jalil R., Patel A.A., Mishchenko A., Mayorov A.S., Woods C.R., Wallbank J.R., Mucha-Kruczynski M., Piot B.A., Potemski M., Grigorieva I.V., Novoselov K.S. et al. // Nature. 2013. V. 497. P. 594. https://doi.org/10.1038/nature12187
- Dean C.R., Wang L., Maher P., Forsythe C., Ghahari F., Gao Y., Katoch J., Ishigami M., Moon P., Koshino M., Taniguchi T., Watanabe K., Shepard K.L., Hone J., Kim P. // Nature. 2013. V. 497. P. 598. https://doi.org/10.1038/nature12186
- Piner R.D., Zhu J., Xu F., Hong S., Mirkin C.A. // Science. 1999. V. 283. P. 661. https://doi.org/10.1126/science.283.5402.661
- Ginger D.S., Zhang H., Mirkin Ch.A. // Angewandte Chemie International Edition. 2004. V. 43. P. 30. https://doi.org/10.1002/anie.200300608
Дополнительные файлы











