Детектор на дрейфовых трубках гибридного годоскопа для мюонной томографии крупномасштабных объектов
- 作者: Пасюк Н.А.1, Борисов A.A.2, Компаниец К.Г.1, Кожин A.С.2, Фахрутдинов Р.М.2, Целиненко М.Ю.1, Шутенко В.В.1, Яшин И.И.1
-
隶属关系:
- Национальный исследовательский ядерный университет “МИФИ”
- Институт физики высоких энергий им. А.А. Логунова Национального исследовательского центра “Курчатовский институт”
- 期: 编号 2 (2024)
- 页面: 29–38
- 栏目: ТЕХНИКА ЯДЕРНОГО ЭКСПЕРИМЕНТА
- URL: https://bakhtiniada.ru/0032-8162/article/view/266082
- DOI: https://doi.org/10.31857/S0032816224020044
- EDN: https://elibrary.ru/QUAOHX
- ID: 266082
如何引用文章
全文:
详细
Для мюонографии крупномасштабных объектов в НОЦ НЕВОД (НИЯУ МИФИ) при участии НИЦ “КИ”–ИФВЭ создан гибридный мюонный годоскоп. Многоканальная детектирующая система годоскопа, состоящая из сцинтилляционного стрипового детектора и детектора на дрейфовых трубках, предназначена для регистрации треков заряженных частиц, в основном мюонов, пролетающих через объем детектора. Детектор на дрейфовых трубках является важным регистрирующим элементом мюонного годоскопа, обеспечивающим высокую угловую и пространственную точность реконструкции треков мюонов. Описывается конструкция дрейфового детектора, принципы работы считывающей электроники, а также приведены основные технические характеристики.
全文:
1. Введение
В настоящее время широкое развитие получило новое направление экспериментальной физики – мюонография (по аналогии с рентгенографией) различных крупномасштабных объектов, структуру которых можно изучать только с помощью проникающего излучения – мюонов. В основе мюонографии лежит процесс регистрации и анализа с помощью прецизионных координатно-трековых детекторов пространственно-угловых изменений потока атмосферных мюонов в результате их прохождения через изучаемый объект. Мюоны образуются на высотах 15–20 км при распадах заряженных пионов и каонов, возникающих при взаимодействии протонов и ядер первичных космических лучей с ядрами атомов атмосферы.
Мюоны являются заряженными лептонами с массой около 207 массы электрона и временем жизни порядка 2.2 мкс. Интенсивность потока мюонов на поверхности Земли на уровне моря составляет примерно 1 частицу на 1 см2 в минуту. Этот поток имеет небольшие сезонные вариации и незначительную зависимость от географической широты, но обладает сильной зависимостью от зенитного угла, пропорциональной cosα θ с показателем α ≈ 2. Средняя энергия вертикальных мюонов на уровне моря составляет около 4 ГэВ. Мюоны являются проникающей компонентой и в процессе прохождения через вещество теряют энергию в электромагнитных процессах, таких как поглощение и рассеяние, что приводит к изменению потока частиц, который анализируется в дальнейшем.
При проецировании зарегистрированных годоскопом треков мюонов на референтную плоскость, проходящую через объект, можно получить (по аналогии с рентгенограммой) мюонограмму – распределение точек пересечения треков с плоскостью. Полученные мюонограммы объекта с различных пересекающихся направлений дают возможность объемного анализа (томографии) структуры объекта.
Метод мюонографии широко используется при исследовании внутренних структур пирамид [1–3], вулканов и горных массивов [4–9], геологических объектов [10–12], ядерных реакторов [13, 14], строительных сооружений [15–19] и других объектов [20–22], обладающих достаточной плотностью для влияния на интенсивность потока мюонов.
Конструкционно годоскоп состоит из двух взаимодополняющих детекторов – сцинтилляционного стрипового детектора и детектора на дрейфовых трубках. Координатные плоскости детекторов с чувствительной площадью 3000×3000 мм2 каждая чередуются между собой (рис. 1) и закреплены в общей несущей раме, которая размещается на подвижной поворотной платформе, что обеспечивает мобильность всей конструкции.
Рис. 1. Схема гибридного мюонного годоскопа (слева) и его 3D-модель (справа).
Каждая из шести однопроекционных координатных плоскостей сцинтилляционного стрипового детектора состоит из 128 длинных узких сцинтилляционных стрипов (3000 × 23 × 7 мм3) с оптоволоконным (WLS) светосбором на кремниевые фотоумножители (SiPM). Однопроекционные регистрирующие плоскости детектора на дрейфовых трубках (ДДТ) представляют собой трехслойные сборки дрейфовых трубок длиной 3000 мм и диаметром 30 мм, разработка и производство которых осуществлялись в НИЦ “КИ”-ИФВЭ (г. Протвино). Каждый детектор имеет свои преимущества: стриповый детектор обладает высоким быстродействием, формирует триггер и начальное положение трека, а детектор на дрейфовых трубках обладает высоким координатным разрешением и дает возможность формировать мюонограммы с разрешением, уступающим только ядерным эмульсиям.
Реконструкция параметров трека основывается на регистрации трека несколькими координатными детектирующими плоскостями. Треки мюонов пересекают координатные плоскости детектора, что приводит к срабатыванию счетчиков регистрирующей системы. Координатная плоскость дает информацию о координатах прохождения мюона в этой плоскости. Данные нескольких координатных плоскостей позволяют провести пространственную реконструкцию трека. Информация о восстановленных треках формирует теневое изображение (мюонограмму) исследуемого объекта в потоке мюонов.
Идея объединения двух детекторов в единый координатно-трековый детектор легла в основу созданного гибридного годоскопа и отражена в патенте на изобретение RU2761333C1 [23]. Краткое описание детектирующей системы сцинтилляционного стрипового детектора приведено в работах [24, 25]. Целью данной статьи является рассмотрение основных принципов конструкции, характеристик и особенностей работы детектора на дрейфовых трубках.
2. Конструкция детектора на дрейфовых трубках
Детектор на дрейфовых трубках представляет собой многоканальную детектирующую систему, состоящую из четырех однопроекционных координатных плоскостей. Каждая координатная плоскость формируется из двух состыкованных без зазора камер, состоящих из дрейфовых трубок. Каждая камера дрейфовых трубок размером (Д × Ш × В) 3520 × 1460 × 210 мм3 смонтирована на каркасе из дюралюминиевого швеллера (рис. 2, 3). Две состыкованные камеры монтируются в несущем каркасе годоскопа на единой раме из стального швеллера.
Рис. 2. Фото камеры ДДТ в сборе.
Рис. 3. 3D-модель камеры ДДТ с несущей рамой.
Камера представляют собой сборку из 144 дрейфовых трубок, склеенных в три параллельных слоя по 48 трубок и подключенных к системе сбора данных [26]. Средний ряд трубок смещен на половину диаметра трубки, расстояние между центрами любых двух соседних трубок в камере и в плоскости составляет 30.035 мм (рис. 4). Аналогичные по конструкции камеры из дрейфовых трубок используются на установке мюонного спектрометра ATLAS на большом адронном коллайдере (ЦЕРН, г. Женева) [27].
Рис. 4. Расположение и размеры трубок ДДТ.
Используемая в ДДТ дрейфовая трубка разработана в ИФВЭ (г. Протвино) и представляет собой тонкостенный алюминиевый цилиндр с толщиной стенки 0.40 мм, длиной 2996 мм и внешним диаметром 29.97 мм [28]. На торцах трубки установлены заглушки (эндплаги) из норила (Noryl GFN3), между которыми с помощью вспомогательного латунного конструктива вдоль оси цилиндра натянута позолоченная сигнальная проволока диаметром 0.05 мм из термостойкого вольфрам-рениевого сплава (97%W+3%Re). Сила натяжения проволоки составляет 350 Г, а ее крепление осуществляется посредством обжатия в медных капиллярных трубках (кримпирования) с внутренним диаметром 0.35 мм после дополнительного предварительного натяжения для уменьшения дальнейшего провисания [29].
Все трубки в каждом слое камеры соединены в последовательные цепочки (рис. 5) при помощи газовых перемычек, последняя трубка крайнего слоя камеры соединяется латунными трубками диаметром 2 мм с общим газовым коллектором, который, в свою очередь, соединен с газовым редуктором, регулирующим подачу газа. Камеры соединены с газовым коллектором параллельно и заполнены газовой смесью Ar–CO2 в соотношении 93%–7% под избыточным давлением в 1 атм.
Рис. 5. Газовое соединение трубок в камере.
3. Электроника детектора на дрейфовых трубках
Функционально каждая дрейфовая трубка является самостоятельным каналом регистрации, суммарно ДДТ состоит из 1152 таких каналов. Для считывания данных используется плата МТ-48, которая одновременно регистрирует сигнал с 48 трубок [26]. Каждая камера дрейфовых трубок оснащена тремя независимыми платами считывания.
Структурная схема системы сбора данных ДДТ приведена на рис. 6. Она состоит из 24 плат считывания МТ-48, USB-концентратора, платы-разветвителя сигналов синхронизации РМТ-48 [26] и персонального компьютера. Главным элементом управления является компьютер с соответствующим программным обеспечением. На нем в определенной последовательности вырабатываются сигналы управления, которые через LPT-порт передаются блоку РМТ-48. От модуля РМТ-48 команды передаются на модуль МТ-48 через 4 кабеля, каждый из которых обслуживает 6 плат одной проекционной плоскости. Считывание информации с МТ-48 осуществляется через USB-интерфейсы, каждая плата подключается к компьютеру через USB-концентратор.
Рис. 6. Структурная схема системы сбора данных ДДТ.
Модуль МТ-48 имеет 48 усилителей для каждого канала регистрации сигналов, и 49-канальный время-цифровой преобразователь записывает время прихода сигналов с точностью 1 нс в пределах временного интервала, равного 16.7 мс, формируемого внутренним таймером. Затем информация кодируется в цифровой код и передается на компьютер. Канал № 49 используется для приема и записи сигнала от триггерной системы в том же временном формате, что и сигнал с трубок.
Модуль считывания сигналов МТ-48 устанавливается на каждые 48 дрейфовых трубок и включает шессть разъемов по восемь каналов в каждом для считывания сигналов, усилители-формирователи, приемники, логический блок, узел управления, контроллер USB и схему регулировки порогов усилителей-формирователей на основе цифро-аналогового преобразователя. Каждая плата обеспечивает минимальное пороговое напряжение 16 мВ с чувствительностью усилителя 0.4 мкА по входу. Логический блок реализован на микросхеме фирмы ALTERA типа EP1K100QC208 и включает в себя 49-канальный время-цифровой преобразователь с буферной памятью, интерфейс с USB-контроллером, SPI-интерфейсы с цифро-аналоговыми преобразователями и регистры масок [26].
Время-цифровой преобразователь осуществляет оцифровку входных сигналов и занесение данных в буфер FIFO, емкость которого составляет 1024 32-разрядных слова [30]. Для измерения времени прихода входных сигналов используется внешний сигнал с частотой 25 МГц, который с помощью умножителя частоты преобразуется в сигнал с частотой 125 МГц, служащий исходной точкой для измерения времени. Эти сигналы передаются от компьютера к блокам МТ-48 в уровнях LVDS [26]. В каждом канале задается время выдержки от 750 до 1000 нс для фильтрации срабатываний от вторичных сигналов, возникающих в трубке от той же частицы.
Каждый канал включает в себя нониусную часть, состоящую из восьми элементов задержки примерно по 1 нс и восьми соединенных с ними триггеров, образующих нониусный регистр. Каждый такт опорной частоты с периодом 8 нс фиксирует разницу времен прихода фронта входного сигнала относительно положительного фронта опорной частоты в виде кода последовательного заполнения. Этот восьмиразрядный код делится на три двоичных разряда нониуса, что вместе с 21-разрядным значением текущего счетчика времени образует бинарный 24-разрядный код времени с дискретностью 1 нс, который заносится в сдвиговый регистр данного канала. Полученная информация со всех плат МТ-48 передается по USB-шине в компьютер. При записи по USB в MT-48 передается пакет из одиннадцати 16-разрядных слов, в которых в первых 7 словах передаются данные для 7 цифро-аналоговых преобразователей, расположенных на плате. В последующих 4 словах располагается маска каналов.
Канал синхронизации и управления время-цифровыми преобразователями считывания МТ-48 реализован с помощью блока-разветвителя управляющих сигналов РМТ-48 [26, 30]. Разветвитель допускает подключение к нему восьми ветвей управления модулями МТ-48, а к каждой ветви подключаются шесть плат МТ-48. Таким образом, разветвитель может обеспечивать синхронизацию работы 48 блоков сбора информации с детектора, содержащего 2304 канала регистрации. Связь с персональным компьютером осуществляется через LPT-порт. Коммутация и разветвление сигналов, принимаемых с LPT-порта, выполняются логикой, реализованной на микросхеме МАХ3000АТС100 фирмы Altera. Выходные сигналы этой микросхемы поступают на преобразователи уровней TTL-LVDS, а затем в канал управления. Кварцевый генератор на тактовой частоте 25 МГц синхронизирует работу системы сбора данных.
Кроме плат системы регистрации, на каждой камере из дрейфовых трубок на противоположной стороне трубок устанавливаются платы высоковольтного питания через дополнительные токоограничивающие переходные платы с использованием специальных штырьковых контактов [26]. Для механической защиты и борьбы с наводками все платы заключены в металлические короба (рис. 7). К каждой плате МТ-48 подключено 5 кабелей: 2 для питания усилителей (±5 В), питание цифровой части платы (+5 В), USB-кабель и плоский кабель (шлейф), соединяющий все МТ-48 с платой РМТ-48. Напряжения питания ±5 В на платы МТ-48 подаются от малогабаритных источников питания DR-60-5 фирмы Mean Well. На высоковольтной стороне переходные платы соединяются специальными перемычками, высокое напряжение (порядка 3 кВ) подается на всю проекционную плоскость по одному кабелю.
Рис. 7. Торцевая часть камеры с сигнальной стороны (сняты одна переходная плата и плата МТ-48).
4. Характеристики детектора на дрейфовых трубках
В режиме мониторинга детектора определяются и контролируются следующие параметры ДДТ: рабочее напряжение, функция зависимости времени дрейфа в трубке от радиуса пролета частицы и погрешности реконструкции треков частиц.
При определении рабочего напряжения камеры для каждой дрейфовой трубки измеряется счетная характеристика – зависимость скорости счета сигналов со всех трубок камеры от величины приложенного напряжения при естественном радиационном фоне. Пример такой зависимости приведен на рис. 8 для всех 144 трубок одной из камер. Измерения проводились при пороге усилителей 0.9 В с шагом изменения высокого напряжения 20 В и общим количеством циклов чтения-записи данных 1000 шт. На графиках хорошо видно плато счетной характеристики в диапазоне от 2.8 до 3.1 кВ с частотой около 40 Гц. Середина плато определяет рабочую точку для данной дрейфовой камеры. Положение данного плато зависит от давления газа, что было проверено на ряде измерений, усредненные результаты которых сведены в график на рис. 9, где показана зависимость напряжения начала и конца плато счетной характеристики в зависимости от давления рабочей смеси.
Рис. 8. Счетные характеристики дрейфовых трубок.
Рис. 9. Рабочее напряжение в зависимости от давления рабочей смеси.
Скорость дрейфа электронов первичной ионизации зависит от величины электрического поля, а также от химического состава и давления газовой смеси. После регистрации времени появления сигнал на анодной проволоке относительно момента прохождения частицы через трубку в плоскости, перпендикулярной проволоке, вычисляется радиус окружности, равный оценке расстояния до трека частицы по времени дрейфа. Получив данную зависимость, можно построить соответствующую зависимость времени дрейфа электронов от расстояния до трека r(t), после чего, имея данную зависимость с различных трубок, можно оценить параметры трека частицы. Измерение времени с точностью 1–3 нс обеспечивает собственное пространственное разрешение для применяемых в детекторе трубок на уровне 100 мкм.
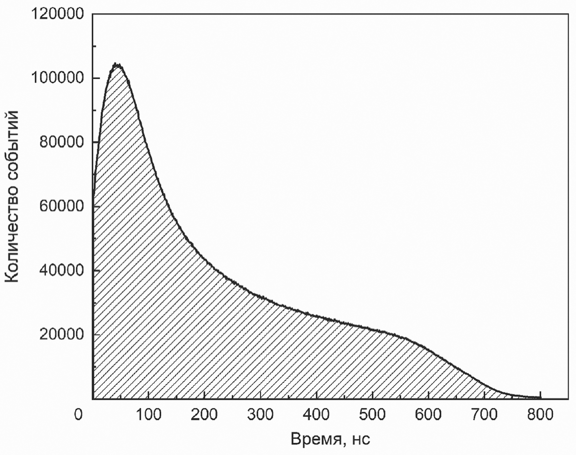
Выделение треков космических мюонов в ДДТ происходит с использованием метода пространственно-временной кластеризации сигналов. В зарегистрированных данных в течение каждого временного интервала 16.7 мс со всех камер отбираются кластеры совпадений сигналов не менее двух трубок в одной камере и не менее 11 трубок во всех камерах годоскопа в интервале 800 нс, который соответствует максимальному времени дрейфа в трубке. Приняв сигнал с минимальным временем в кластере за начало (стартовое время) измерения времени дрейфа, можно получить распределение времен дрейфа, показанное на рис. 10. Проинтегрировав данное распределение, получаем первое приближение для r(t)-соотношения (рис. 11). По величине максимального времени дрейфа можно судить об однородности и изменениях состава газовой смеси со временем [31].
Рис. 10. Временной спектр кластеризованных сигналов.
Рис. 11. Зависимость r(t), полученная из интеграла временного спектра.
Особенность применения дрейфовых трубок связана с высокой чувствительностью к естественному радиационному фону. Поэтому однозначно сравнивать среднюю скорость счета трубки с интенсивностью проходящих через детектор мюонов некорректно. Скорость счета алюминиевой дрейфовой трубки в значительной степени определяется эффективностью регистрации различного излучения (α, β, γ, μ, p). Также трубку могут пересечь и дать сигнал электроны с энергией более 0.35 МэВ.
Применяемый алгоритм реконструкции трека в дрейфовом детекторе основывается на использовании r(t)-зависимости по кластерным событиям в каждой трубке. По совокупности окружностей, радиусы которых равны оценкам расстояний до трека по времени дрейфа для сработавших трубок в кластере, методом линейной аппроксимации определяется трек как общая касательная к этим окружностям. При этом для построения прямой трека применяется алгоритмам преобразования Хафа (Hough) [32], в котором каждый сегмент трека в проекционной плоскости X, Z (или Y, Z) представляется в параметрическом виде (ось Z направлена вверх):
X sin(α) + Y cos(α) = D, или sX + cY = D,
где s = sin(α) и с = cos(α).
Данное представление удобно тем, что позволяет линейным образом вычислять расстояние от трека до произвольной точки: R = D – sX0 – cY0. Параметры трека находятся в результате итерационного процесса минимизации параметра χ2, который определяется как
где signi обозначает знак расстояния от i-й сработавшей сигнальной проволоки до трека.
Полученные прямые в двух проекционных плоскостях определяют трек частицы, который в дальнейшем используется для построения мюонографий, угловых распределений и мониторинга качества работы установки. Пример реконструированного трека показан на рис. 12.
Рис. 12. Пример реконструированного трека частицы: ПЛ1 и ПЛ3 – горизонтальная проекция, ПЛ2 и ПЛ4 – вертикальная проекция.
Оценка пространственной привязки треков проводится по полученным для трека суммарным распределениям разниц-невязок между положением трека и расстояниями до анодных нитей трубок, найденных по данным r(t)-зависимостей. На рис. 13 приведен пример углового распределения невязок (residuals): Res = Rfit,i − Rhit,i, где i = 0, …, n – трубки, участвующие в реконструкции трека; Rfit,i – расстояние от центра i-й трубки до прямой, определяющей трек, полученной в результате фитирования данных; Rhit,i – радиус окружности, полученной из измерения времени дрейфа для i-й трубки на основе r(t)-зависимостей.
Рис. 13. Распределение невязок.
На рис. 13 видно, что точность определения точки на треке (невязки) по данным трубок по всем камерам имеет величину около 3 мм (FWHM). В эту величину также входят систематические неточности измерений координат геометрии установки, определенное количество материала на пути мюона (стенки трубок и рама) и наличие мюонов с малыми импульсами. На рис. 14 приведена оценка угловой погрешности по данным моделирования, откуда следует, что верхняя оценка угловой погрешности определения зенитного и азимутального углов составляет около ó ≈ 0.07°, что соответствует ошибке определения трека в пространстве óø = √—2‧—ó ≈ 0.1° (~2 мрад). Эта точность позволяет локализовать объект площадью 20 × 20 см2 на расстоянии до 50 м.
Рис. 14. Оценка угловой погрешности.
5. Заключение
Представленная детектирующая система на дрейфовых трубках является важной частью конструкции широкоапертурного прецизионного гибридного мюонного годоскопа. Используемая считывающая электроника детектора на дрейфовых трубках обеспечивает наносекундную точность регистрации времени прихода сигналов с анодной проволоки. В совокупности с быстрым триггером от сцинтилляционного детектора это обеспечивает высокую угловую и пространственную точность реконструкции треков мюонов в режиме реального времени. Выделение треков одиночных космических мюонов в системе детектора на дрейфовых трубках происходит с использованием метода пространственно-временной кластеризации сигналов по времени дрейфа в трубке с последующим поиском пересечений касательных прямых между координатными плоскостями. Важным критерием правильной работы дрейфовых трубок является их счетная характеристика, которая напрямую зависит от применяемой газовой смеси, давления и напряжения питания. Эти критерии влияют на поведение r(t)-зависимости, которая лежит в основе реконструкции событий. Полученные оценки угловой и пространственной точности обеспечивают локализацию плотных объектов с размерами 20×20×20 см3 на расстояниях около 50 м.
Благодарности
Авторы благодарят коллектив НОЦ НЕВОД (НИЯУ МИФИ), а также директора Института ядерных промышленных технологий НИЯУ МИФИ Э.М. Глаговского за содействие при выполнении работ по созданию мюонного годоскопа.
Финансирование работы
Разработка и исследование гибридного мюонного годоскопа проводились в рамках договора между НИЯУ МИФИ и АО “ВНИИАЭС” от 19.11.2019 № 1. 00-3-700-0650, а также при поддержке Министерства науки и высшего образования РФ (государственное задание, проект “Фундаментальные и прикладные исследования космических лучей” № FSWU-2023-0068).
作者简介
Н. Пасюк
Национальный исследовательский ядерный университет “МИФИ”
编辑信件的主要联系方式.
Email: NAPasyuk@mephi.ru
俄罗斯联邦, 115409, Москва, Каширское шоссе, 31
A. Борисов
Институт физики высоких энергий им. А.А. Логунова Национального исследовательского центра “Курчатовский институт”
Email: NAPasyuk@mephi.ru
俄罗斯联邦, 142281, Протвино Московской обл., пл. Науки, 1
К. Компаниец
Национальный исследовательский ядерный университет “МИФИ”
Email: NAPasyuk@mephi.ru
俄罗斯联邦, 115409, Москва, Каширское шоссе, 31
A. Кожин
Институт физики высоких энергий им. А.А. Логунова Национального исследовательского центра “Курчатовский институт”
Email: NAPasyuk@mephi.ru
俄罗斯联邦, 142281, Протвино Московской обл., пл. Науки, 1
Р. Фахрутдинов
Институт физики высоких энергий им. А.А. Логунова Национального исследовательского центра “Курчатовский институт”
Email: NAPasyuk@mephi.ru
俄罗斯联邦, 142281, Протвино Московской обл., пл. Науки, 1
М. Целиненко
Национальный исследовательский ядерный университет “МИФИ”
Email: NAPasyuk@mephi.ru
俄罗斯联邦, 115409, Москва, Каширское шоссе, 31
В. Шутенко
Национальный исследовательский ядерный университет “МИФИ”
Email: NAPasyuk@mephi.ru
俄罗斯联邦, 115409, Москва, Каширское шоссе, 31
И. Яшин
Национальный исследовательский ядерный университет “МИФИ”
Email: NAPasyuk@mephi.ru
俄罗斯联邦, 115409, Москва, Каширское шоссе, 31
参考
- Alvarez L.W. // Lawrence Radiation Laboratory Physics. 1 March 1965. Note 544.
- Alvarez L.W., Anderson J.A., Bedwei F.E., Burkhard J., Fakhry A., Girgis A., Goneid A., Hassan F., Iverson D., Lynch G., Miligy Z., Moussa A.H., Sharkawi M., Yazolino L. // Science. 1970. V. 167. Iss. 3919. P. 832. https://doi.org/10.1126/science.167.3919.832
- Morishima K., Kuno M., Nishio A. et al. // Nature. 2017. V. 552. P. 386. https://doi.org/10.1038/nature24647
- A detector for muon tomography. UT Maya Muon Group. Technical report. The University of Texas at Austin, Junе, 2004.
- Basset M., Ansoldi S., Bari M., Battiston R., Blasko S., Coren F., Fiori E., Giannini G., Iugovaz D., Menichelli M., Reia S., Scian G. // Nucl. Instrum. and Methods A. 2006. V. 567. P. 298. https://doi.org/10.1016/j.nima.2006.05.099
- Menichelli M., Ansoldi S., Bari M., Basset M., Battiston R., Blasko S., Coren F., Fiori E., Giannini G., Iugovaz D., Papi A., Reia S., Scian G. // Nucl. Instrum. and Methods A. 2007. V. 572. Iss. 1. P. 262. http://dx.doi.org/10.1016/j.nima.2006.10.317
- Tanaka H.K.M., Taira H., Uchida T., Tanaka M., Takeo M., Ohminato T., Aoki Y., Nishitama R., Shoji D., Tsuiji H. // J. Geophys. Res. 2010. V. 115. Р. 12332. https://doi.org/10.1029/2010JB007677
- Lesparre N., Gibert D., Marteau J., Komorowski J.-C., Nicollin F., Coutant O. // Geophys. J. Int. 2012. V. 190. Iss. 2. P. 1008. https://doi.org/10.1111/j.1365-246X.2012.05546.x
- Noli P., Ambrosino F., Bonechi L., Bross A., Cimmino L., D’Alessandro R., Masone V., Mori N., Passeggio G., Pla-Dalmau A., Saracino G., Scarlini E., Strolin P. // Ann. Geophys, 2017. V. 60. Iss. 1. Р. S0105. https://doi.org/10.4401/ag-7380
- Nagamine K., Iwasaki M., Shimomura K. et al. // Nucl. Instrun. and Methods A. 1995. V. 356. P. 585.
- Tanaka H.K.M., Nagamine K., Nakamura S.N., Ishida K. // Nucl. Instrum. and Methods A. 2005. V. 555. Iss. 1–2. P. 164. http://dx.doi.org/10.1016/j.nima.2005.08.099
- Tanaka H.K.M., Muraoka H. // Geosci. Instrum. Method. Data Syst. 2013. V. 2. Iss. 1. P. 145. https://doi.org/10.5194/gi-2-145-2013
- Morishima K., Naganawa N., Nakano T., Nakamura M., Kawarabayashi J., Tomita H., Iguchi T., Maeda S. // Proc. of the 26th Workshop on Radiation Detectors and Their Uses in KEK. 2012. P. 27.
- Nagamine K. // Proc. Jpn. Acad. B. 2016. V. 92. Iss. 8. P. 265. https://doi.org/10.2183/pjab.92.265
- Jenneson P.M. // Nucl. Instrum. and Methods A. 2004. V. 525. P. 346. https://doi.org/10.1016/j.nima.2004.03.093
- Gilboy W.B., Jenneson P.M., Simons S.J.R., Stanley S.J., Rhodes D. // Nucl. Instrum. and Methods B. 2007. V. 263. P. 317. https://doi.org/10.1016/j.nimb.2007.04.122
- Borozdin K.N., Hogan G.E., Morris C., Priedhorsky W.C., Saunders A., Schultz L.J., Teasdale M.E. // Nature. 2003. V. 422. P. 277. https://doi.org/10.1038/422277a
- Priedhorsky W., Borozdin K., Hogan G. et al. // Rev. Sci. Instrum. 2003. V. 74. Iss. 10. P. 4294. https://doi.org/10.1063/1.1606536
- Shultz L.J., Borozdin K.N., Gomez J.J., Hogan G.E., McGill J.A., Morris C.L., Priedhorsky W.C., Saunders A., Teasdale M.E. // Nucl. Instrum. and Methods A. 2004. V. 519. Iss. 3. P. 687. https://doi.org/10.1016/j.nima.2003.11.035
- Osterlund M., Blomgren J., Donnard J., Flodin A., Gustafsson J., Hayashi M., Mermod P., Nilsson L., Pomp S., Wallin L., Ohrn A., Prokofiev A.V. // Proceed. Science 2007. V. 25. P. 30. https://doi.org/10.22323/1.025.0030
- Bogolyubsky M., Bojko N., Borisov A., Fakhrutdinov R., Kozhin A., Yushchenko O.// Proceedings of 2008 IEEE NSS and MIC conference. Dresden, 2008.
- Pesente S., Vanini S., Benettoni M., Bonomi G., Calvini P., Checchia P., Conti E., Gonella F., Nebbia G., Squarcia S., Viesti G., Zenoni A., Zumerle G. // Nucl. Instrum. and Methods A. 2009. V. 604. Iss. 3. P. 738. https://doi.org/10.1016/j.nima.2009.03.017
- Астапов И.И., Каверзнев М.М., Конев Ю.Н., Петрухин А.А., Хохлов С.С., Яшин И.И. Патент RU2761333C1. 2021. https://www1.fips.ru/ofpstorage/Doc/IZPM/RUNWC1/000/000/002/761/333/%D0%98%D0%97-02761333-00001/document.pdf
- Yashin I.I., Davidenko N.N., Dovgopoly A.O., Fakhroutdinov R.M., Kaverznev M.M., Kompaniets K.G., Konev Yu.N., Kozhin A.S., Paramoshkina E.N., Pasyuk N.A., Tselinenko M.Yu., Yuschenko O.P., Zolotareva O.V. // Phys. Atomic Nuclei. 2021. V. 84. P. 1171. https://doi.org/10.1134/S1063778821130421
- Яшин И.И., Киндин В.В., Компаниец К.Г., Пасюк Н.А., Целиненко М.Ю. // Известия РАН. Серия физическая. 2021. Т. 85. № 4. С. 598. https://doi.org/10.31857/S0367676521040396
- Божко Н.И., Исаев А.Н., Кожин А.С., Плотников И.С., Сенько В.А., Солдатов М.М., Шаланда Н.А., Якимчук В.И. Система накамерной электроники на основе модуля МТ-48 для бестриггерного режима работы томографа на космических мюонах. Препринт ИФВЭ 2015–13. Протвино, 2015.
- Bensinger J., Bojko N., Borisov A., Fakhroutdinov R., Goryatchev S., Goryatchev V., Gushchin V., Hashemia K., Kojine A., Kononov A., Larionov A., Paramoshkina E., Pilaev A., Skvorodnev N., Tchougouev A., Wellensteina H. // Nucl. Instrum. and Methods A. 2002. V. 494. P. 480. https://doi.org/10.1016/S0168-9002(02)01535-8
- Borisov A., Fakhroutdinov R., Kojine A., Larionov A., Pilaev A., Rybatchenko V., Salomatin Yu. // Nucl. Instrum. and Methods A. 2002. V. 494. P. 214. https://doi.org/10.1016/S0168-9002(02)01468-7
- Кожин А.С. Разработка трековых систем большой площади на основе дрейфовых камер для экспериментов в физике высоких энергий. Дис. … доктора физ.-мат. наук. Протвино: ГНЦ ИФВЭ, 2012. С. 204.
- Плотников И.С., Борисов А.А., Божко Н.И., Кожин А.С., Козелов А.В., Марков Д.С., Фахрутдинов Р.М., Шаланда Н.А., Ющенко О.П., Якимчук В.И. Система сбора данных мюонного томографа на базе накамерной электроники МТ-48. Препринт ИФВЭ 2015–14. Протвино, 2015.
- Божко Н.И., Борисов А.А., Кожин А.С., Фахрутдинов Р.М. Опыт работы с дрейфовыми камерами без постоянного обновления рабочей газовой смеси. ИФВЭ 2019-14. Протвино, 2019.
- Hassanein A.S., Mohammad S., Sameer M., Ragab M.E. // IJCSI. 2015. V. 12. Iss. 1. P. 139. https://doi.org/10.48550/arXiv.1502.02160
补充文件
















