Теплопроницаемость экранно-вакуумной теплоизоляции в атмосфере Марса
- 作者: Семена Н.П.1, Доброленский Ю.С.1, Сербинов Д.В.1, Вязоветский Н.А.1, Мартынович Ф.Г.1
-
隶属关系:
- Институт космических исследований Российской академии наук
- 期: 编号 1 (2024)
- 页面: 151-160
- 栏目: ФИЗИЧЕСКИЕ ПРИБОРЫ ДЛЯ ЭКОЛОГИИ, МЕДИЦИНЫ, БИОЛОГИИ
- URL: https://bakhtiniada.ru/0032-8162/article/view/263975
- DOI: https://doi.org/10.31857/S0032816224010215
- EDN: https://elibrary.ru/DYLMOW
- ID: 263975
如何引用文章
全文:
详细
Представлены результаты эксперимента по измерению теплопроницаемости типовой экранно-вакуумной теплоизоляции в вакууме и в условиях, имитирующих марсианскую атмосферу. Измерения показали, что данная теплопроницаемость увеличивается приблизительно на одну треть при перемещении экранно-вакуумной теплоизоляции из вакуума в марсианскую атмосферу. Полученные результаты дают возможность корректно определить мощность нагрева покрытых экранно-вакуумной теплоизоляцией приборов на поверхности Марса и тем самым использовать типовую экранно-вакуумную теплоизоляцию для этих приборов и на этапе перелета, и при работе на поверхности Марса. Объектом исследования являлся покрытый экранно-вакуумной теплоизоляцией прибор ИСЕМ, который входил в состав научной аппаратуры несостоявшейся миссии “ЭкзоМарс-2022”.
全文:
1. ВВЕДЕНИЕ
В российской космической программе Марс всегда рассматривался в качестве одного из наиболее приоритетных объектов космических исследований. Одновременно с этим стоит отметить, что отечественная марсианская программа была наименее успешной из всех космических научных программ со времен Советского Союза. Поэтому для будущих российских марсианских миссий необходим тщательный анализ всех проблемных вопросов сохранения приборов при перелете от Земли к Марсу и их функционирования на марсианской поверхности.
В данной статье рассматривается один из таких вопросов, связанный с использованием экранно-вакуумной теплоизоляции (ЭВТИ) для обеспечения допустимого теплового режима прибора на всем жизненном цикле как на этапе перелета (в условиях открытого космоса), так и при работе на поверхности Марса (в условиях марсианской атмосферы). Проблематика данного вопроса заключается в том, что теплопроницаемость ЭВТИ хорошо измерена в условиях вакуума, но практически не известна при функционировании в условиях марсианской атмосферы. Таким образом, при использовании ЭВТИ для прибора, находящегося снаружи посадочного модуля на поверхности Марса, возникают вопросы по теплопотерям, а значит, по мощности его нагрева в холодной (до −120 ˚С) атмосфере Марса. Замена ЭВТИ на монолитную теплоизоляцию приводит к еще большим проблемам, поскольку, в отличие от ЭВТИ, монолитная теплоизоляция используется в космосе значительно реже. Стандартных решений по ней не существует, что приводит к необходимости гораздо большего объема наземных испытаний по подтверждению стойкости такой изоляции к внешним воздействующим факторам космического пространства в течение длительного перелета от Земли к Марсу.
Актуальность и значимость рассматриваемого вопроса подтверждаются зарубежными исследованиями по данному направлению [1].
Математическое моделирование для решения вопроса теплопроницаемости ЭВТИ сильно затруднено, поскольку теплообмен в ЭВТИ чрезвычайно сложен. В условиях вакуума он представляет собой комбинацию радиационного теплообмена между слоями ЭВТИ и кондуктивного теплообмена по возникающим в результате соприкосновения слоев изоляции тепловым мостам. Он зависит не только от количества и характеристик слоев ЭВТИ, но и от формы и габаритов теплоизолируемого объекта, натяжения слоев изоляции, количества стыковочных швов и т.д. Удельная эффективная теплопроницаемость одного и того же типа ЭВТИ может различаться в десятки раз при установке на разные приборы. Расчет ее чрезвычайно затруднен. Есть только рекомендации для приблизительных оценок. Очевидно, что добавление конвекции в этот теплообмен делает его еще более сложным.
То, что даже в вакууме любую математическую модель теплопроницаемости ЭВТИ нельзя считать сколько-нибудь достоверной без экспериментальной проверки, подтверждает и многолетний опыт использования ЭВТИ на космических аппаратах. Поэтому в рамках представленной работы вопрос изменения теплопроницаемости ЭВТИ при перемещении ее из вакуума в марсианскую атмосферу был исследован экспериментально. Исходными данными для исследования служили результаты наземного эксперимента с оптическим блоком прибора ИСЕМ (ISEM – Infrared Spectrometer for ExoMars [2, 3]). Данный прибор должен был функционировать на мачте марсохода в составе комплекса научной аппаратуры не состоявшегося российско-европейского космического эксперимента “ЭкзоМарс-2022”.
2. ОБЪЕКТ ИССЛЕДОВАНИЯ
Прибор ИСЕМ представляет собой спектрометр ближнего инфракрасного диапазона (1.1–3.4 мкм) для анализа минералогического состава поверхности Марса. Оптический блок прибора устанавливается на мачте марсохода (рис. 1) и регистрирует отраженное от поверхности солнечное излучение в указанном спектральном диапазоне.
Рис. 1. Оптический блок прибора ИСЕМ на мачте марсохода.
По характерным особенностям полученного спектра определяется минералогический состав грунта, в том числе степень его гидратации. Основной проблемой с точки зрения теплового режима прибора является именно установка на мачте вдали от находящихся на марсоходе источников тепла. Поэтому диапазон температур окружающей среды и, соответственно, посадочных мест прибора чрезвычайно широк: от +20 ˚С до –120 ˚С.
3. ЭКСПЕРИМЕНТАЛЬНАЯ УСТАНОВКА
Эксперимент был проведен в испытательной установке (рис. 2), включающей вакуумную камеру с системой вакуумирования и имитатор тепловых потоков (ИТП), подробно описанной в работе [4].
Рис. 2. Экспериментальная установка.
Для проведения эксперимента вакуумная камера была дополнительно оснащена системой напуска CO2 с перекрытием подачи при определенном давлении.
ИТП состоит из шести теплоизолированных друг от друга и от стенок вакуумной камеры тепловых панелей, а также посадочной плиты, охлаждаемых термоэлектрическими модулями. Данные панели и плита объединены в единую конструкцию. Изнутри тепловые панели покрыты черной эмалью ЭКОМ-2, имеющей степень черноты, близкую к единице.
На каждой тепловой панели и на посадочной плите установлены по два термоэлектрических модуля, прижимаемых к панелям и плите медными кронштейнами, поглощающими тепловой поток от тепловыделяющих поверхностей термоэлектрических модулей. Теплоотвод от этих кронштейнов осуществлялся посредством проходящей через них проточной воды, подводимой через последовательно соединенные шланги и гермовводы в стенке вакуумной камеры. Такая система позволяет охлаждать панели и плиту до температуры около −30 ˚С.
4. ЗАДАЧИ И МЕТОДИКА ЭКСПЕРИМЕНТА
Целью представленного в статье эксперимента являлось измерение теплопроницаемости ЭВТИ прибора ИСЕМ в условиях, имитирующих космос, и в условиях, имитирующих марсианскую атмосферу. Результаты этих измерений позволили решить частную задачу по определению минимальной мощности нагрева прибора для обеспечения допустимого теплового режима на поверхности Марса.
Прежде всего, необходимо определить термин “теплопроницаемость ЭВТИ”. Поскольку теплообмен внутри ЭВТИ является комплексным сложным процессом, в качестве единого параметра ее теплопроницаемости всегда используется некая эффективная величина. В европейской и американской практике принято тепловые свойства ЭВТИ описывать эффективной степенью черноты теплообмена между слоями эквивалентной двухслойной изоляции [5]. В отечественной практике используется удельное кондуктивное тепловое сопротивление единицы площади ЭВТИ [6]. Достаточно очевидно, что при наличии дискуссионных вопросов, какой из параметров более адекватно описывает физику процесса, отечественный подход является более наглядным, позволяющим сразу оценить теплопотери при известных площади и разнице температур снаружи и внутри изоляции. Поэтому вполне ожидаемо, что в процессе представленного в статье эксперимента определялось удельное тепловое сопротивление ЭВТИ – r (измеряемое в К/Вт∙м2).
Качественно эксперимент состоял в следующем. Объект исследования (прибор с установленными теплоизоляцией и датчиками температуры) помещался на малотеплопроводном подвесе внутри экспериментальной установки (рис. 3).
Рис. 3. Объект эксперимента внутри экспериментальной установки.
Воздух внутри установки откачивался до давления 0.5 мм рт. ст. Панели окружающего объект имитатора тепловых потоков охлаждались до –22…–30 ˚С. Внутри объекта генерировался тепловой поток 1.5 Вт. Осуществлялась выдержка до достижения объектом стационарного теплового режима. Тепловое сопротивление фрагментов ЭВТИ определялось по разности температур внутренней и внешней поверхностей и по значению теплового потока, проходящего между ними.
Далее такая же процедура была проведена при создании внутри экспериментальной установки газовой среды CO2 с давлением 5 мм рт. ст., имитирующей атмосферу Марса.
Из-за ограничений экспериментальной установки данный эксперимент являлся модельным. Имелись два основных отличия эксперимента от натурных условий. Во-первых, разный уровень вакуума при имитации нахождения прибора в космосе. Давление в экспериментальной установке было 0.5 мм рт. ст., а остаточное давление вокруг космического аппарата в космосе не превышает 10-4 мм рт. ст. Во-вторых, температура панелей имитатора тепловых потоков (–22…–30 ˚С) не соответствует ни радиационной температуре космического пространства (примерно 4 К), ни минимальной температуре на поверхности Марса (примерно –120 ˚С).
Однако, как показано ниже, для целей эксперимента несоответствие параметров эксперимента натурным не столь существенно.
По вопросу несоответствия давлений можно воспользоваться произведением критериев Грасгофа (Gr) и Прандтля (Pr), которое показывает влияние конвекции на теплообмен. Для условий эксперимента, в процессе которого стенки прибора с характерным размером 0.1 м имели среднюю температуру 267 К при окружающем давлении воздуха 0.5 мм рт. ст., произведение Gr ∙ Pr, рассчитанное по данным работ [7, 8], составило 0.975. С учетом того, что, согласно работе [9], при Gr ∙ Pr < 103 влияние конвекции на теплообмен незначительно, можно заключить, что результаты проведенного при давлении воздуха 0.5 мм рт. ст. эксперимента можно распространить на условия космического вакуума.
Что касается несоответствия натурных и имитируемых в процессе эксперимента температур окружающего пространства, то опыт использования ЭВТИ показывает, что ее эффективная теплопроницаемость слабо зависит от перепада температуры между внутренней и внешней поверхностями. Поэтому полученные результаты можно использовать и для температурных условий космоса, и марсианской атмосферы.
5. РЕЗУЛЬТАТЫ ЭКСПЕРИМЕНТА И ИХ ОБРАБОТКА
На приборе было установлено 7 температурных датчиков (рис. 4): датчик 1 – на внутренней тепловыделяющей плате, датчик 2 – на крышке, датчик 3 – на основании; датчик 4 – на объективе, датчики 5, 6, 7 – на внешней поверхности ЭВТИ соответственно на крышке, на основании и на боковой поверхности.
Рис. 4. Места установки температурных датчиков на объекте эксперимента: прибор без ЭВТИ со снятой крышкой (а); прибор без ЭВТИ, вид сверху (б); прибор без ЭВТИ, вид снизу (в); прибор в ЭВТИ, вид сверху (г); прибор в ЭВТИ, вид снизу (д).
Модель обработки результатов эксперимента основана на узловом математическом методе, рассматривающем любой объект как набор изотермических теплоемкостных узлов, каждый из которых имеет радиационный и конвекционный интерфейсы с окружающей средой и набор кондуктивных и радиационных тепловых связей с другими тепловыми узлами [10]. В данной модели тепловые узлы соответствуют элементам прибора, на которых установлены датчики температуры, а их номера соответствуют номерам этих датчиков (рис. 4). Кроме того, в модель был введен распределенный узел, на котором отсутствует датчик, – четыре титановые опоры прибора (узел 8), поскольку данные опоры участвуют в теплообмене прибора с окружающими панелями имитатора тепловых потоков.
Номера температурных датчиков, установленных на охлаждаемых панелях имитатора тепловых потоков, находятся в диапазоне с 9 по 15 (рис. 5) в соответствии со сквозной нумерацией всех датчиков, используемых в эксперименте.
Рис. 5. Нумерация узлов математической модели обработки, соответствующих панелям ИТП.
Панели ИТП также включены в математическую модель обработки в качестве тепловых узлов с установленной постоянной температурой и бесконечным теплостоком.
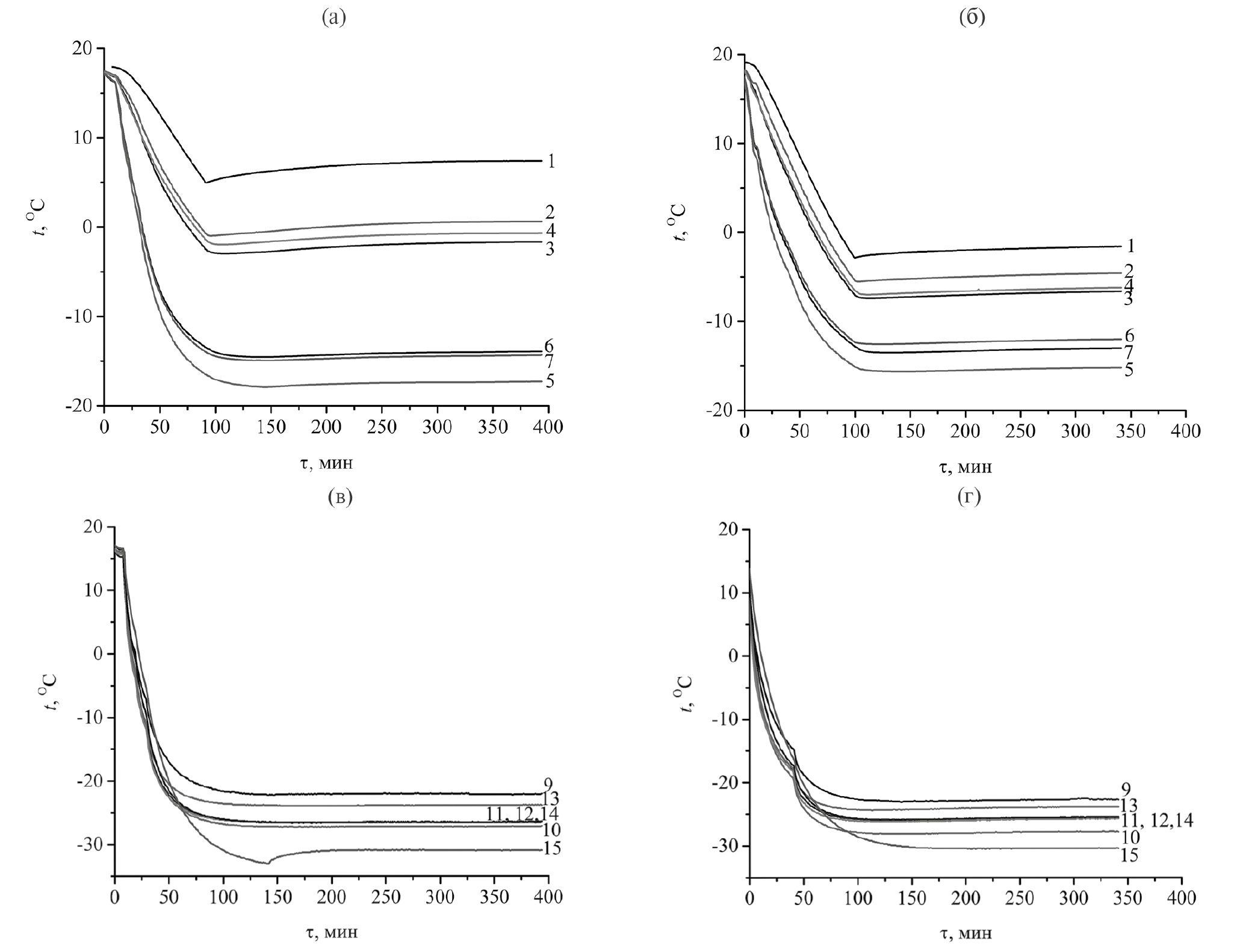
Сводные результаты показаний датчиков, размещенных на приборе и на панелях ИТП в условиях вакуума и среды СО2, представлены на рис. 6.
Рис. 6. Показания датчиков температуры, установленных на приборе и ИТП: на приборе в вакууме (а), на приборе в среде СО2 (б), на панелях ИТП в вакууме (в), на панелях ИТП в среде СО2 (г).
Внутри экспериментальной установки прибор был размещен основанием вверх, исходя из удобства закрепления. Поэтому фрагмент ЭВТИ, установленный на основании прибора, будет именоваться верхним фрагментом ЭВТИ, а фрагмент, покрывающий крышку, – нижним.
Очевидно, что тепловое сопротивление нижнего и верхнего фрагментов будет соответственно определяться следующими формулами:
где Ri-j – тепловое сопротивление между i-м и j-м тепловыми узлами, Ti – температура i-го узла, Qi-j – тепловой поток от i-го теплового узла к j-му.
Поскольку параметр удельного теплового сопротивления не привязан к ЭВТИ конкретного прибора, будем его определять как общую характеристику ЭВТИ – удельные тепловые сопротивления горизонтальной ЭВТИ, ориентированной вниз и вверх. Они соответственно будут задаваться следующими формулами:
где F5, F6 – площади поверхности нижнего и верхнего фрагментов ЭВТИ.
Для обработки экспериментальных данных необходимо определить доли от генерируемого внутри прибора теплового потока (Q1 = 1.5 Вт), которые идут через нижний (Q2-5) и верхний (Q3-6) фрагменты ЭВТИ.
В условиях теплообмена в вакууме в стационарном тепловом режиме данные тепловые потоки соответствуют суммарному радиационному теплообмену верхнего и нижнего фрагментов ЭВТИ с окружающими прибор охлажденными панелями ИТП. С учетом высокой степени черноты участвующих в теплообмене поверхностей и малых размеров прибора по сравнению с панелями ИТП можно пренебречь взаимной видимостью любых двух узлов тепловой модели через третий. Тогда выражения для искомых тепловых потоков будут иметь следующий вид:
где σ – постоянная Стефана–Больцмана, φF5-Fj, φF6-Fj – угловые коэффициенты нижнего и верхнего фрагментов ЭВТИ по отношению к j-й панели ИТП, φFj-F5, φFj-F6 – угловые коэффициенты j-й панели ИТП по отношению к нижнему и верхнему фрагментам ЭВТИ, ε5, ε6, εj – степени черноты внешней поверхности нижнего и верхнего фрагментов ЭВТИ и внутренней поверхности j-й панели ИТП, T5, T6, Tj – стационарные температуры внешней поверхности нижнего и верхнего фрагментов ЭВТИ и внутренней поверхности j-й панели ИТП.
Результат вычислений показал, что для обработки экспериментальных данных такую модель применять нельзя, так как при этом не выполняется ограничение
Полученный итог был вполне предсказуем, поскольку чрезвычайно редко экспериментальные данные соответствуют строгим аналитическим выражениям. Обычно для обработки эксперимента применяются системы с избыточным количеством уравнений и методы максимального правдоподобия. Дальнейший анализ показал, что самым недостоверным параметром в используемой модели является стационарная температура панелей ИТП Tj. Основной причиной этого является установка датчика температуры рядом с теплостоком (элементом Пельтье) в центре охлаждаемой панели. Это не дает возможности определить реальную эффективную радиационную температуру данной панели, которая будет явно выше измеренной, поскольку на обратную сторону панели действует излучение от теплой стенки вакуумной камеры, что приводит к возрастанию температуры от места установки датчика к границам панели.
Для учета этого фактора был введен параметр температурной невязки панелей ИТП ΔT, которая определяет разницу между измеренной температурой панели (Tj) и ее эффективной радиационной температурой (T’j).
Поскольку во всех панелях датчик установлен рядом с теплостоком, а также все они близки по размерам и находятся в одинаковых окружающих тепловых условиях, логично предположить, что данная температурная невязка будет одной и той же для всех панелей.
Далее была составлена схема теплообмена, включающая минимально необходимый набор параметров для формирования математической модели, позволяющей определить и температурную невязку ΔT, и искомые тепловые потоки Q2-5, Q3-6.
Данная схема для эксперимента, проводимого в условиях вакуума, представлена на рис. 7.
Рис. 7. Схема теплообмена прибора и панелей ИТП.
Система уравнений, описывающая эту схему, имеет вид
где Q1 = 1.5 Вт – тепловой поток, генерируемый в первом тепловом узле (во внутренних элементах прибора), Q1-i – тепловой поток от первого к i-му узлу прибора, Fi – площадь поверхности i-го узла прибора, φFi-Fj, φFj-Fi, – угловые коэффициенты внешней поверхности i-го узла прибора по отношению к внутренней поверхности j-й панели ИТП и j-й панели ИТП по отношению к внешней поверхности i-го узла, εi, εj – степени черноты внешней поверхности i-го узла прибора и внутренней поверхности j-й панели ИТП, Ti, Tj – стационарные температуры i-го узла прибора и внутренней поверхности j-й панели ИТП. Здесь и далее дополнительный индекс “в” показывает, что значения относятся к измерениям в вакууме.
Решение для температурной невязки ΔTв ограничено с одной стороны суммарным тепловым потоком (первое уравнение системы), а с другой – определенным направлением теплообмена (второе уравнение системы). Эти ограничения дают очень узкий диапазон решений.
На основании данной системы был получен следующий результат восстановления промежуточных параметров ЭВТИ ИСЕМ:
- температурная невязка ΔTв ≈ 8.85 К,
- тепловые потоки Qв1-4 ≈ 0.15 Вт, Qв1-5 = Qв2-5 ≈ ≈ 0.46 Вт, Qв1-6 = Qв2-6 ≈ 0.32 Вт, Qв1-7 ≈ 0.49 Вт, Qв1-8 ≈ 0.08 Вт,
- тепловые сопротивления Rв2-5 ≈ 38.62 К/Вт, Rв3-6 ≈ 37.96 К/Вт.
Значения промежуточных параметров позволили определить удельное тепловое сопротивление в вакууме двух горизонтальных фрагментов ЭВТИ – ориентированного вниз rЭВТИвгн ≈ 0.57 К/Вт∙м2 и ориентированного вверх rЭВТИвгв ≈ 0.54 К/Вт∙м2.
Для среды CO2 подобная система уравнений изменится, поскольку в ней необходимо учесть конвективную составляющую теплообмена. Для измеренных и восстановленных параметров в условиях газовой среды введем дополнительный индекс “а”. Очевидно, что температурная невязка при наличии конвекции будет отличаться от невязки в вакууме из-за более интенсивного теплообмена панелей со стенками камеры. Обозначим ее как ΔTа.
Тогда с учетом предположения, что температура газовой среды внутри установки Tа соответствует средней температуре всех панелей ИТП, система уравнений примет вид
где αFi – коэффициент теплоотдачи поверхности i-го теплового узла окружающей газовой среде, Ta – температура газовой среды внутри установки.
Для решения данной системы необходимо знать коэффициент теплоотдачи в газовой среде горизонтальных поверхностей, направленных вниз (αF5), вверх (αF6, αF8), а также вертикальных поверхностей (αF4, αF7).
Эти коэффициенты определяются по критерию Нуссельта Nu:
α = Nu ⋅ λ / l,
где λ – коэффициент теплопроводности, а L – характерный размер системы (длина стенки прибора).
Параметры CO2 при давлении 5 мм рт. ст. приведены в табл. 1 [7, 8].
Таблица 1. Характеристики газовой среды CO2 при проведении эксперимента
Плотность | ρ = 0.02 кг/м3 |
Динамическая вязкость | µ = 1247∙10−8 Па∙с |
Коэффициент теплопроводности | λ = 0.014486 Вт/(м∙К) |
Удельная теплоемкость при p = const | cp = 831.2 Дж/(кг∙К) |
Температурный коэффициент объемного расширения | β = 0.00495 К−1 |
Критерий Нуссельта при естественной конвекции рассчитывается из уравнения
Nu = C ⋅ (Gr ∙ Pr)nK
Коэффициенты C, K, n для разных положений стенок прибора приведены в табл. 2 [9].
Таблица 2. Коэффициенты C, K, n
Положение стенки прибора | C | K | n |
Вертикальная пластина | 0.8 | ||
Горизонтальная пластина, теплоотдающая поверхность сверху | 0.54 | 1 | |
Горизонтальная пластина, теплоотдающая поверхность снизу | 0.27 | 1 |
Результаты расчета: αF5 ≈ 0.21 Вт/(м2∙К), αF6 = =αF8 ≈ 0.43 Вт/(м2∙К), αF4 = αF7 ≈ 0.41 Вт/(м2∙К).
Итогом обработки измерений в процессе эксперимента в среде СО2 были следующие значения промежуточных параметров:
- температурная невязка ΔTа ≈ 10.4 К,
- тепловые потоки Qa1-4 ≈ 0.08 Вт, Qa1-5 = Qa2-5 ≈ ≈ 0.49 Вт, Qa1-6 = Qa2-6 ≈ 0.2 Вт, Qa1-7 ≈ 0.66 Вт, Qa1-8 < < 0.01 Вт,
- тепловые сопротивления Ra2-5 ≈ 38.62 К/Вт, Ra3-6 ≈ 37.96 К/Вт.
Искомое удельное тепловое сопротивление в вакууме составило для ориентированного вниз фрагмента ЭВТИ rЭВТИaвгн ≈ 0.32 К/Вт∙м2, для ориентированного вверх rЭВТИaвгв ≈ 0.42 К/Вт∙м2.
Достаточно характерен качественный анализ некоторых восстановленных данных, который показывает, что полученные независимо в разных условиях значения различных параметров взаимно согласованы.
Так, предсказуемо выявлено снижение удельного теплового сопротивления ЭВТИ в среде СО2 по сравнению с вакуумом, объясняемое добавлением конвективной составляющей теплопереноса.
Этим же фактором объясняется более высокое значение температурной невязки в среде CO2 по сравнению с ее величиной в вакууме. Причина – увеличенный в газовой среде перепад температуры от места теплостока в центре панелей ИТП к их краям из-за интенсификации теплообмена с теплой стенкой вакуумной камеры за счет добавления конвективной составляющей.
Полученные характеристики позволили решить прикладную задачу исследования по определению мощности нагрева прибора на поверхности Марса при минимальной температуре окружающей среды –120 ˚С. Для моделирования отсутствовали данные по температуре конструкции посадочных мест прибора на марсоходе. Был рассмотрен наихудший случай, при котором эта температура соответствует температуре атмосферы Марса. Оказалось, что значительное влияние на требуемую мощность нагрева оказывает низкий уровень теплоизолирующих свойств опор прибора. Поэтому расчет был проведен для двух случаев. В первом опоры прибора непосредственно контактируют с конструкцией марсохода. Во втором случае между прибором и марсоходом были установлены дополнительные тепловые развязки с тепловым сопротивлением 80 К/Вт.
Полученные зависимости температуры прибора от мощности нагрева на поверхности Марса показаны на рис. 8.
Рис. 8. Зависимости температуры прибора от мощности нагрева на поверхности Марса: прибор крепится непосредственно к конструкции марсохода (сплошная кривая), прибор крепится к марсоходу через тепловые развязки с тепловым сопротивлением 80 К/Вт (штриховая кривая).
Таким образом, для обеспечения нагрева прибора до минимально допустимой температуры –60 ˚С в самый холодный сезон на Марсе необходима тепловая мощность 6.1 Вт (при установке прибора непосредственно на конструкцию марсохода) и 3.7 Вт (при введении дополнительной тепловой развязки с тепловым сопротивлением 80 К/Вт между прибором и марсоходом).
Необходимо отметить, что эта мощность определена без учета вынужденной конвекции из-за ветра на Марсе.
6. ЗАКЛЮЧЕНИЕ
С целью определения возможности использования традиционной ЭВТИ для приборов марсианских научных миссий одновременно и на этапе перелета, и на этапе функционирования на поверхности Марса был проведен эксперимент по определению изменения теплопроницаемости ЭВТИ созданного для эксперимента “ЭкзоМарс-2022” прибора ИСЕМ при его перемещении из вакуума в марсианскую атмосферу.
Было установлено, что удельное тепловое сопротивление ЭВТИ данного прибора снижается в марсианской атмосфере по сравнению с таковым в вакууме приблизительно на одну треть (с 0.54…0.57 до 0.32…0.42 К/Вт∙м2).
Полученный параметр теплопроницаемости ЭВТИ позволяет определить мощность нагрева научных приборов на поверхности Марса для обеспечения их минимально допустимой температуры.
作者简介
Н. Семена
Институт космических исследований Российской академии наук
编辑信件的主要联系方式.
Email: semena@iki.rssi.ru
俄罗斯联邦, 117997, Москва, ул. Профсоюзная, 84/32
Ю. Доброленский
Институт космических исследований Российской академии наук
Email: dobrolenskiy@cosmos.ru
俄罗斯联邦, 117997, Москва, ул. Профсоюзная, 84/32
Д. Сербинов
Институт космических исследований Российской академии наук
Email: serbinov@iki.rssi.ru
俄罗斯联邦, 117997, Москва, ул. Профсоюзная, 84/32
Н. Вязоветский
Институт космических исследований Российской академии наук
Email: semena@iki.rssi.ru
俄罗斯联邦, 117997, Москва, ул. Профсоюзная, 84/32
Ф. Мартынович
Институт космических исследований Российской академии наук
Email: semena@iki.rssi.ru
俄罗斯联邦, 117997, Москва, ул. Профсоюзная, 84/32
参考
- Herndler S., Ranzenberger C., Lapensée S. // 46th International Conference on Environmental Systems ICES-2016-120 10-14 July 2016, Vienna, Austria.
- Korablev O.I., Dobrolensky Y.S., Evdokimova N.A., Fedorova A.A., Kuzmin R.O., Mantsevich S.N., Cloutis E.A., Carter J., Poulet F., Flahaut J., Griffiths A., Gunn M., Schmitz N., Martı´n-Torres J., Zorzano et al. // Astrobiology. 2017. V. 17. № 6-7. P. 542. https://doi.org/10.1089/ast.2016.1543
- Dobrolenskiy Y.S., Mantsevich S.N., Evdokimova N.A., Korablev O.I., Fedorova A.A., Kalinnikov Y.K., Vyazovetskiy N.A., Titov A.Y., Stepanov A.V., Sapgir A.G., Dzyuban I.A., Kuzmin R.O., Ivanov Y.S., Syniavskyi I.I., Petrov V.A., et al. ations // Proc. of SPIE. 2019. V. 11210. P. 112100F-1. http://dx.doi.org/10.1117/12.2540203
- Сербинов Д.В., Семена Н.П. // 12-я конф. молодых ученых “Фундаментальные и прикладные космические исследования”. Сб. тр. Сер. Механика, управление и информатика / под редакцией А.М. Садовского. Институт космических исследований Российской академии наук, 2015. C. 152.
- Finckenor M.M., Dooling D. Multilayer Insulation Material Guidelines. NASA/TP-1999-209263.
- Баранчиков В.А., Басов А.А., Клочкова М.А. // Известия РАН. Энергетика. 2019. № 2. C. 52.
- Бабичев А.П., Бабушкина Н.А., Братковский А.Н. и др. Физические величины. Справочник / под. ред. И.С. Григорьева, Е.З. Мейлихова. М.: Энергоатомиздат. 1991.
- Розанов Л.Н. Вакуумная техника. М.: Высшая школа, 1990.
- Уонг Х. Основные формулы и данные по теплообмену для инженеров. М.: Атомиздат, 1979.
- Семена Н.П. // Математическое моделирование и численные методы. 2018. № 1. C. 55. https://doi.org/10.18698/2309-3684-2018-1-556
补充文件









