A Laboratory Setup for Increasing the Technological Yield of 123I from a 124Xe Target under Proton Bombardment
- Authors: Artyukhov A.A.1, Zagryadskiy V.A.1, Kravets Y.M.1, Kuznetsova T.M.1, Malamut T.Y.1, Novikov V.I.1, Ryzhkov A.V.1, Skobelin I.I.1, Udalova T.A1
-
Affiliations:
- Kurchatov Institute National Research Center
- Issue: No 6 (2023)
- Pages: 119-125
- Section: ФИЗИЧЕСКИЕ ПРИБОРЫ ДЛЯ ЭКОЛОГИИ, МЕДИЦИНЫ, БИОЛОГИИ
- URL: https://bakhtiniada.ru/0032-8162/article/view/233269
- DOI: https://doi.org/10.31857/S0032816223060010
- EDN: https://elibrary.ru/XUZWTR
- ID: 233269
Cite item
Full Text
Abstract
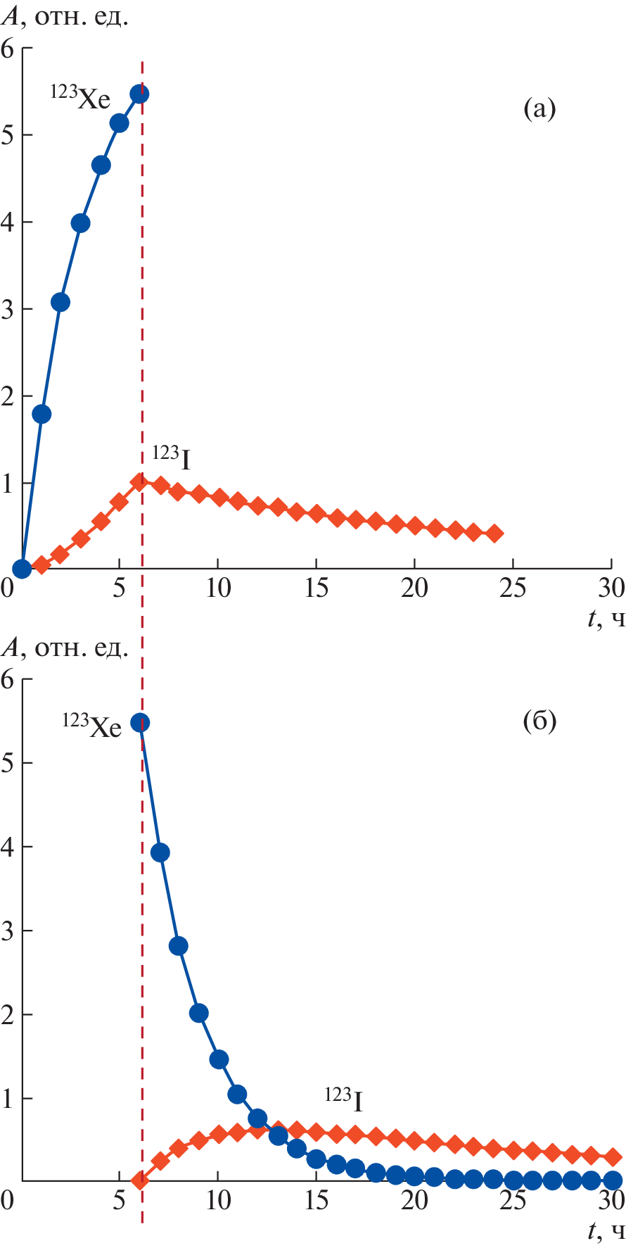
One of the methods for obtaining 123I is the bombardment of gaseous 124Xe with protons, in which nuclear reactions of production and decay of 123Xe and 123I isotopes occur. After irradiation, the gas phase is condensed from the target into a special “decay container,” in which the target isotope 123I is produced and accumulated during 123Xe decay. The amount of 123I produced in the target and deposited on its walls during the irradiation is comparable to the amount of 123I obtained in the decay container. A laboratory setup has been created and a process technology for extracting 123I from the walls of the target has been developed to increase the total yield of 123I. Organic solvents (acetone and diethyl ether) are used for this purpose. The proportion of the 123I extracted by washing off from the walls of the aluminum target is at least 84%. The loss during subsequent vacuum distillation of solvents does not exceed 5%. After vacuum distillation, the extracted 123I is dissolved in NaOH. At this stage, the efficiency of 123I washing-off with a 0.01 M NaOH solution is at least 95%. Nevertheless, even taking into account these losses, the proposed method makes it possible to additionally extract the 123I radionuclide from the target in an amount equal to or greater than the activity of the 123I produced using the existing technology.
About the authors
A. A. Artyukhov
Kurchatov Institute National Research Center
Email: udalova_ta@nrcki.ru
123182, Moscow, Russia
V. A. Zagryadskiy
Kurchatov Institute National Research Center
Email: udalova_ta@nrcki.ru
123182, Moscow, Russia
Ya. M. Kravets
Kurchatov Institute National Research Center
Email: udalova_ta@nrcki.ru
123182, Moscow, Russia
T. M. Kuznetsova
Kurchatov Institute National Research Center
Email: udalova_ta@nrcki.ru
123182, Moscow, Russia
T. Yu. Malamut
Kurchatov Institute National Research Center
Email: udalova_ta@nrcki.ru
123182, Moscow, Russia
V. I. Novikov
Kurchatov Institute National Research Center
Email: udalova_ta@nrcki.ru
123182, Moscow, Russia
A. V. Ryzhkov
Kurchatov Institute National Research Center
Email: udalova_ta@nrcki.ru
123182, Moscow, Russia
I. I. Skobelin
Kurchatov Institute National Research Center
Email: udalova_ta@nrcki.ru
123182, Moscow, Russia
T. A Udalova
Kurchatov Institute National Research Center
Author for correspondence.
Email: udalova_ta@nrcki.ru
123182, Moscow, Russia
References
- Левин В.И., Попович В.Б., Малинин А.Б., Куренков Н.В. SU671194A1. Советский патент 1980 года по МПК C01B7/00.
- Флеров Г.Н., Оганесян Ю.Г., Белов А.Г., Стародуб Г.Я. Препринт ОИЯИ № 18-85-750, 1985.
- Алексеев Е.Г., Гусельников В.С., Зайцев В.М. SU1709399A1. 1989. Советский патент 1992 года по МПК G21G1/10.
- Веников Н.И., Воробьев О.А., Новиков В.И., Себякин А.А., Соколов А.Ю., Фомичев Д.И., Шабров В.А. Препринт ИАЭ-4934/14, 1989 г.
- Веников Н.И., Себякин А.А. Патент SU 1661842. // Бюллетень № 25 от 07.07.1991 г.
- Firouzbakht M.L., Teng R.R., Schlyer D.J., Wolf A.P. // Radiochimica Acta. 1987. V. 41. P. 1. https://doi.org/10.1524/ract.1987.41.1.1
- Tarkanyi F., Quaim S.M., Stöcklin G., Sajjad M., Lambrecht R.M., Schweickert H. // Intern. J. Radiat. Appl. Instrument. Part A. Appl. Radiat. Isotop.1991. V. 42. P.221. https://doi.org/10.1016/0883-2889(91)90080-K
- Oberdorfer F., Meissner M., Tiede A., Schweickert H. IAEA-RC-1025.3 2009.
Supplementary files





