Capability Enhancement of a Magnetometer with Hemispherical Pole Pieces
- Authors: Sandulyak A.A.1, Sandulyak D.A.1, Polismakova M.N.1, Ershova V.A.1, Sandulyak A.V.1
-
Affiliations:
- MIREA Russian Technological University
- Issue: No 4 (2023)
- Pages: 116-122
- Section: ОБЩАЯ ЭКСПЕРИМЕНТАЛЬНАЯ ТЕХНИКА
- URL: https://bakhtiniada.ru/0032-8162/article/view/138444
- DOI: https://doi.org/10.31857/S0032816223030102
- EDN: https://elibrary.ru/ISGMKU
- ID: 138444
Cite item
Full Text
Abstract
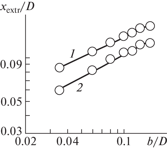
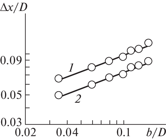
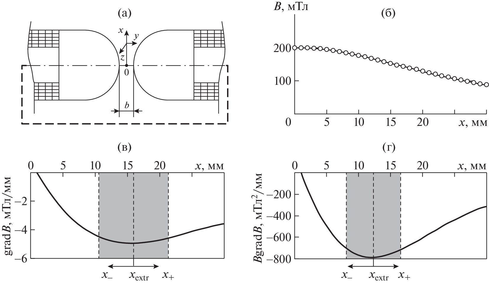
The work describes an updated magnetometer based on the ponderomotive principle in which specially used hemispherical pole pieces create an inhomogeneous magnetic field with zones of virtually constant values of the magnetic gradient (MG) and/or the magnetic force factor (MFF) in the vicinities of the extrema of the coordinate dependences of the MG and MFF. These zones (MGconst and MFFconst) are fixed in the magnetometer by limiters in the form of controllable (laser) markers and have individual values of the coordinates of their conditional centers xextr and lengths ∆x with a permissible error of changes in the MG and MFF data within such zones. It is shown that, at various mutual distances between the hemispherical pole pieces with the diameter D, the MFFconst zone is located almost a third closer to the center-to-center line of the hemispheres (according to xextr/D) in comparison with the MGconst zone and is less extended (according to Δx/D) to the same extent.
About the authors
A. A. Sandulyak
MIREA Russian Technological University
Email: d.sandulyak@mail.ru
107076, Moscow, Russia
D. A. Sandulyak
MIREA Russian Technological University
Email: d.sandulyak@mail.ru
107076, Moscow, Russia
M. N. Polismakova
MIREA Russian Technological University
Email: d.sandulyak@mail.ru
107076, Moscow, Russia
V. A. Ershova
MIREA Russian Technological University
Email: d.sandulyak@mail.ru
107076, Moscow, Russia
A. V. Sandulyak
MIREA Russian Technological University
Author for correspondence.
Email: d.sandulyak@mail.ru
107076, Moscow, Russia
References
- Liu Y.-L., Li D.-W., He J., Xie X.-Z, Chen D., Yan E.-K., Ye Y.-J., Yin D.-C. // Rev. Scient. Instrum. 2018. V. 89. P. 105103. https://doi.org/10.1063/1.5016570
- Zeng J., Tong X., Yi F., Chen L. // Minerals. 2019. V. 9 (9). P. 509. https://doi.org/10.3390/min9090509
- Hu K., Sun J., Guo Z., Wang P., Chen Q., Ma M., Gu N. // Advanced Materials. 2015. V. 27. P. 2507. https://doi.org/10.1002/adma.201405757
- Mariani G., Fabbri M., Negrini F., Ribani P.L. // Separation and Purification Technology. 2010. V. 72. P. 147. https://doi.org/10.1016/j.seppur.2010.01.017
- Xue Z., Wang Y., Zheng X., Lu D., Li X. // Separation and Purification Technology. 2020. V. 237. P. 116375. https://doi.org/10.1016/j.seppur.2019.116375
- Baik S.K., Ha D.W., Ko R.W., Kwon J.M. // Physica C: Superconductivity. 2012. V. 480. P. 111. https://doi.org/10.1016/j.physc.2012.04.036
- Hosu B.G., Jakab K., Bánki P., Toth F.I., Forgacs G. // Rev. Scient. Instrum. 2003. V. 74 (9). P. 41583. https://doi.org/10.1063/1.1599066#
- Казин П.Е., Кульбакин И.В. Методы исследования магнитных свойств материалов. М.: МГУ, 2011.
- Cape J.A., Young R.A. // Rev. Scient. Instrum. 1971. V. 42 (7). P. 1061. https://doi.org/10.1063/1.1685279
- Quinn R.K., Knauer R.C. // Rev. Scient. Instrum. 1972. V. 43 (10). P. 1543.
- Petersson L., Ehrenberg A. // Rev. Scient. Instrum. 1985. V. 56 (4). P. 575.
- Marcon P., Ostanina K. // PIERS Proceedings. Malaysia, Kuala Lumpur, March 27−30. 2012. P. 420.
- Сандуляк А.А., Сандуляк А.В., Полисмакова М.Н., Киселев Д.О., Ершова В.А., Сандуляк Д.А. // ПТЭ. 2018. № 1. С. 109. https://doi.org/10.7868/S0032816218010342
- Sandulyak A.A., Sandulyak A.V., Polismakova M., Ershova V., Sandulyak D., Kiselev D. // Applied Physics, System Science and Computers (APSAC 2017). Lecture Notes in Electrical Engineering. V. 428. Springer, 2017.
- Сандуляк А.А., Сандуляк Д.А., Горпиненко Ю.О., Ершова В.А., Сандуляк А.В. // Российский технологический журнал. 2021. Т. 9. № 5. С. 36. https://doi.org/10.32362/2500-316X-2021-9-5-36-44
- Sandulyak A.A., Polismakova M.N., Sandulyak D.A., Sandulyak A.V., Ershova V.A. // Glass and Ceramics. 2021. V. 78 (3). P. 104. https://doi.org/10.1007/s10717-021-00356-2
- Сандуляк А.А., Киселев Д.О., Полисмакова М.Н., Сандуляк А.В., Сандуляк Д.А. // Сборник материалов III Международной научно-практической конференции “Актуальные направления научных исследований: перспективы развитияˮ. Челябинск: ЦНС “Интерактив плюсˮ, 2017. С. 137.
- Сандуляк А.А., Киселев Д.О., Сандуляк А.В., Полисмакова М.Н., Сандуляк Д.А. // Приборы. 2017. № 10. С. 4.
- Сандуляк А.А., Сандуляк А.В., Полисмакова М.Н., Киселев Д.О., Сандуляк Д.А. // Российский технологический журнал. 2017. Т. 5. № 2. С. 57. https://doi.org/10.32362/2500-316X-2017-5-2-57-69
Supplementary files







