ВРЕМЕННЫЕ ХАРАКТЕРИСТИКИ ОДНОЭЛЕКТРОННЫХ ФОТОУМНОЖИТЕЛЕЙ ФЭУ-175, ФЭУ-186 С ДЖИТТЕРОМ 0.4 нс
- Авторы: Ермалицкий Ф.А.1, Ермалицкая К.Ф.2, Лукьянов В.Н.3, Вязников А.Н.3, Кирпиченко Р.В.3, Мамаева Г.А.3, Радько А.Е.1, Самцов М.П.1, Филипова О.А.3
-
Учреждения:
- Институт прикладных физических проблем им. А.Н. Севченко БГУ
- Белорусский государственный университет
- ЦНИИ “Электрон”
- Выпуск: № 2 (2023)
- Страницы: 129-136
- Раздел: ЛАБОРАТОРНАЯ ТЕХНИКА
- URL: https://bakhtiniada.ru/0032-8162/article/view/138346
- DOI: https://doi.org/10.31857/S0032816223010147
- EDN: https://elibrary.ru/PVAFCP
- ID: 138346
Цитировать
Полный текст
Аннотация
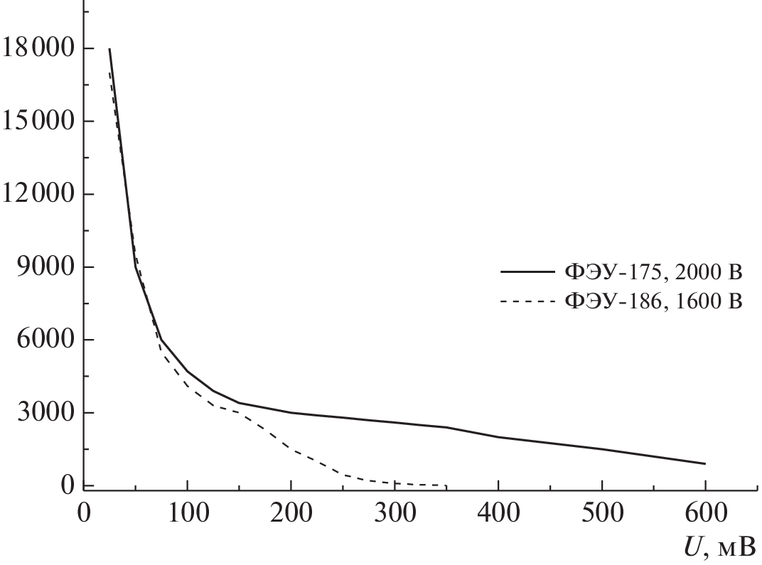
Представлены результаты исследований временных характеристик (счетных, распределений амплитуд одноэлектронных импульсов, разброса времени прохождения сигналов (джиттера) при воздействии излучением пикосекундных диодных лазеров в спектральном диапазоне 405–780 нм) быстродействующих фотоумножителей ФЭУ-175 и ФЭУ-186 производства АО ЦНИИ “Электрон” (Санкт-Петербург). ФЭУ-175 и ФЭУ-186 соответственно оснащены бищелочным и мультищелочным фотокатодами, их рабочий спектральный диапазон составляет 250–650 и 250–800 нм соответственно. Усиление сигналов обеспечивает 14‑динодная система умножения, при этом время нарастания импульсной характеристики ФЭУ не превышает 1.5 нс, а джиттер составляет около 0.4 нс. Данные ФЭУ могут использоваться в качестве фотодетекторов в одноквантовых кинетических спектрометрах с субнаносекундным разрешением и в других быстродействующих оптоэлектронных регистраторах.
Об авторах
Ф. А. Ермалицкий
Институт прикладных физических проблем им. А.Н. Севченко БГУ
Email: f.ermalitski@gmail.com
Беларусь, 220062, Минск, ул. Курчатова, 7
К. Ф. Ермалицкая
Белорусский государственный университет
Email: samtsov@mail.ru
Беларусь, 220050, Минск, просп. Независимости, 4
В. Н. Лукьянов
ЦНИИ “Электрон”
Email: samtsov@mail.ru
Россия, 194223, , Санкт-Петербург, просп. Тореза, 68, Литер Р
А. Н. Вязников
ЦНИИ “Электрон”
Email: samtsov@mail.ru
Россия, 194223, , Санкт-Петербург, просп. Тореза, 68, Литер Р
Р. В. Кирпиченко
ЦНИИ “Электрон”
Email: samtsov@mail.ru
Россия, 194223, , Санкт-Петербург, просп. Тореза, 68, Литер Р
Г. А. Мамаева
ЦНИИ “Электрон”
Email: samtsov@mail.ru
Россия, 194223, , Санкт-Петербург, просп. Тореза, 68, Литер Р
А. Е. Радько
Институт прикладных физических проблем им. А.Н. Севченко БГУ
Email: samtsov@mail.ru
Беларусь, 220062, Минск, ул. Курчатова, 7
М. П. Самцов
Институт прикладных физических проблем им. А.Н. Севченко БГУ
Email: samtsov@mail.ru
Беларусь, 220062, Минск, ул. Курчатова, 7
О. А. Филипова
ЦНИИ “Электрон”
Автор, ответственный за переписку.
Email: samtsov@mail.ru
Россия, 194223, , Санкт-Петербург, просп. Тореза, 68, Литер Р
Список литературы
- Demas J.N. Exited state lifetime measurements. NY., London: Academy Press, 1983. https://doi.org/10.1016/b978-0-12-208920-6.x5001-0
- Lakowicz J.R. Principles of fluorescence spectroscopy. 3rd ed. NY.: Springer, 2006. https://doi.org/10.1007/978-0-387-46312-4
- Hamamatsu. Photomultiplier tubes. Hamamatsu Photonics K.K. 2016.
- Ветохин С.С., Ермалицкий Ф.А., Мельников С.М., Суханин С.В., Шойтов М.А. // ПТЭ. 1998. № 2. P. 5.
- Ермалицкий Ф.А., Радько А.Е., Самцов М.П. // ПТЭ. 2020. № 6. С. 125. https://doi.org/10.31857/S0032816220060051
- Воропай Е.С., Ермалицкая К.Ф., Ермалицкий Ф.А., Радько А.Е., Ржеуцкий Н.В., Самцов М.П. // ПТЭ. 2022. № 1. С. 100. https://doi.org/10.31857/S0032816222010232
- Воропай Е.С., Ермалицкий Ф.А., Каплевский К.Н., Радько А.Е. // ПТЭ. 2016. № 4. С. 156. https://doi.org/10.7868/S0032816216040157
- Dendebera M., Chornodolskyy Ya., Gamernyk R., Antonyak O., Pashuk I., Myagkota S., Gnilitskyi I., Pankratov V., Vistovskyy V., Mykhaylyk V., Grinberg M., Voloshinovskii A. // Journal of Luminescence. 2020. V. 225. P. 117346. https://doi.org/10.1016/j.jlumin.2020.117346
- Белько Н.В., Самцов М.П., Тихомиров С.А., Буганов О.В. // Журнал прикладной спектроскопии. 2020. Т. 87. № 5. С. 752. https://doi.org/10.1007/s10812-020-01078-z
Дополнительные файлы










