Focus Distortion in an Image-Converter Camera at High Scanning Speeds
- Authors: Zarovskii A.I.1, Andreev S.V.1, Vorobyev N.S.1, Gornostaev P.B.1
-
Affiliations:
- Prokhorov General Physics Institute, Russian Academy of Sciences
- Issue: No 2 (2023)
- Pages: 95-100
- Section: ОБЩАЯ ЭКСПЕРИМЕНТАЛЬНАЯ ТЕХНИКА
- URL: https://bakhtiniada.ru/0032-8162/article/view/138337
- DOI: https://doi.org/10.31857/S0032816223010305
- EDN: https://elibrary.ru/PWOIOL
- ID: 138337
Cite item
Full Text
Abstract
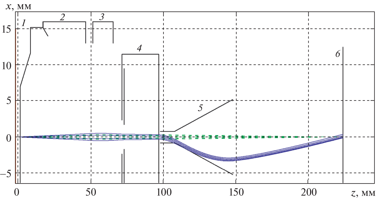
Measurements of the temporal and spatial resolution of a PS-1/S1 image-converter camera, depending on the scanning speed, were performed. The camera has a PIF-01 electron-optical converter with deflecting plates of the capacitor-type scan. It is shown that obtaining the minimum half-width of the space–time response function in two mutually perpendicular directions (time and space) can be achieved by selecting an optimal voltage at the focusing electrode. The difference between the optimal static and dynamic voltages of focusing in space and time was determined experimentally, which was 450 V for a scanning speed of 1.56 × 1010 cm/s. Computer modeling of the processes that affect the optimal resolution was performed.
About the authors
A. I. Zarovskii
Prokhorov General Physics Institute, Russian Academy of Sciences
Email: vor@kapella.gpi.ru
119991, Moscow, Russia
S. V. Andreev
Prokhorov General Physics Institute, Russian Academy of Sciences
Email: svandr56@mail.ru
119991, Moscow, Russia
N. S. Vorobyev
Prokhorov General Physics Institute, Russian Academy of Sciences
Email: vor@kapella.gpi.ru
119991, Moscow, Russia
P. B. Gornostaev
Prokhorov General Physics Institute, Russian Academy of Sciences
Author for correspondence.
Email: vor@kapella.gpi.ru
119991, Moscow, Russia
References
- Hamamatsu News. 2017. V. 02. P. 32.
- Прохоров A.М., Воробьев Н.С., Лозовой В.И., Смирнов А.В., Щелев М.Я. // Квантовая электроника. 2002. Т. 32. № 4. С. 283. https://doi.org/10.1070/QE2002v032n04ABEH002183
- Лебедев В.Б., Машковцев А.Н., Фельдман Г.Г. // Электронно-оптическое приборостроение ВНИИОФИ за 40 лет. Сб. статей Оптико-электронные измерения. М.: Университетская книга, 2005. С. 430.
- Воробьев Н.С., Горностаев П.Б., Лозовой В.И., Смирнов А.В., Щелев М.Я., Шашков Е.В. // ПТЭ. 2016. № 4. С. 72. https://doi.org/10.7868/S0032816216030289
- www.bifocompany.com.
- Kinoshita K., Kato T., Suzuki Y. // Труды 14-го Международного конгресса по высокоскоростной фотографии и фотонике. М.: Изд-во АПН, 1980. С. 228.
- Niu H., Sibbett W., Baggs M.R. // Rev. Sci. Instrum. 1982. V. 53. Iss. 5. P. 563.
- Агеева Н.Н., Броневой И.Л., Забегаев Д.Н., Кривоносов А.Н. // ЖЭТФ. 2013. Т. 143. № 4. С. 634. https://doi.org/10.7868/S0044451013040034
- Понарина М.В., Охримчук А.Г., Рыбин М.Г., Смаев М.П., Образцова Е.Д., Смирнов А.В., Жлуктова И.В., Камынин В.А., Долматов Т.В., Букин В.В., Образцов П.А. // Квантовая электроника. 2019. Т. 49. № 4. С. 365. https://doi.org/10.1070/QEL16983
- Гаранин С.Г., Бельков С.А., Рогожников Г.С., Рукавишников Н.Н., Романов В.В., Воронич И.Н., Воробьев Н.С., Горностаев П.Б., Лозовой В.И., Щелев М.Я. // Квантовая электроника. 2014. Т. 44. № 8. С. 798. https://doi.org/10.1070/QE2014v044n08ABEH015501
- Greenfield D.E., Monastyrskiy M.A., Tarasov V.A. // CPO-7 International Conference. UK, Cambridge, 2006. P. 23.
- Воробьев Н.С. Дис. …канд. физ.-мат. наук. М.: ФИАН, 1980. С. 20.
- Шульман М.Я. Измерение передаточных характеристик оптических систем. Л.: Машиностроение, 1980. С. 64.
- Воробьев Н.С., Горностаев П.Б., Комельков А.С., Лозовой В.И., Смирнов А.В., Шашков Е.В. // Квантовая электроника. 2018. Т. 48. № 11. С. 1067. https://doi.org/10.1070/QEL16800
- Зюзин Л.Н., Прянишников И.Г., Шувалов В.М. Патент RU 2228562 С2 МПК H01J31/50, 31/60 // Опубл. 10.05.2004. Бюл. № 13.
Supplementary files





