ВРЕМЕННОЕ И ЭНЕРГЕТИЧЕСКОЕ РАЗРЕШЕНИЯ ПРОТОТИПОВ ЭЛЕКТРОМАГНИТНОГО КАЛОРИМЕТРА НА ОСНОВЕ КРИСТАЛЛОВ ВОЛЬФРАМАТА СВИНЦА
- Авторы: Акиндинов А.В.1, Руфанов И.А.2, Будников Д.В.3, Грачев Д.В.3, Вихлянцев О.В.3, Деманов В.А.3, Завьялов Н.В.3, Курякин А.В.3, Тумкин А.Д.3, Фильчагин С.В.3, Петухов Ю.П.2, Номоконов П.В.2, Кузьмин Н.А.2, Балыгин К.А.1, Грищук Ю.В.1, Ипполитов М.С.1, Лебедев В.А.1, Манько В.И.1, Сибиряк Ю.Г.1, Арефьев В.А.2, Водопьянов А.С.2, Горбунов Н.В.2, Шмонин Г.А.3
-
Учреждения:
- Национальный исследовательский центр “Курчатовский институтˮ
- Объединенный институт ядерных исследований
- РФЯЦ–ВНИИ экспериментальной физики
- Выпуск: № 2 (2023)
- Страницы: 24-34
- Раздел: ТЕХНИКА ЯДЕРНОГО ЭКСПЕРИМЕНТА
- URL: https://bakhtiniada.ru/0032-8162/article/view/138319
- DOI: https://doi.org/10.31857/S0032816223010032
- EDN: https://elibrary.ru/PUQOZI
- ID: 138319
Цитировать
Полный текст
Аннотация
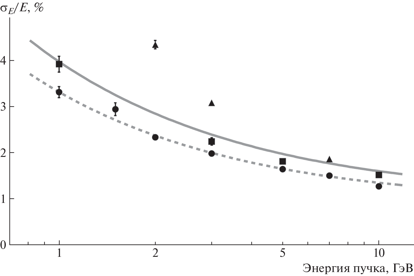
Приведены результаты измерений временного и энергетического разрешений для четырех прототипов электромагнитного калориметра PHOS эксперимента ALICE на Большом адронном коллайдере ЦЕРН. Каждый из прототипов состоит из девяти одинаковых детектирующих элементов, собранных в виде матрицы 3 × 3. Основой детектирующего элемента является неорганический сцинтиллирующий кристалл вольфрамата свинца PbWO4 длиной 180 мм с поперечным сечением 22 × 22 мм2, просматриваемый с торца фотодетектором. В качестве фотодетекторов использовались лавинные фотодиоды и кремниевые фотоумножители различной чувствительной площади (Hamamatsu, Япония). Измерения проведены при температуре 17.5°C на электронной компоненте вторичных пучков частиц протонного синхротрона PS в ЦЕРН в диапазоне импульсов от 1 до 10 ГэВ/с.
Об авторах
А. В. Акиндинов
Национальный исследовательский центр “Курчатовский институтˮ
Email: Mikhail.Ippolitov@cern.ch
Россия, 123182, Москва, пл. Академика Курчатова, 1
И. А. Руфанов
Объединенный институт ядерных исследований
Email: Mikhail.Ippolitov@cern.ch
Россия, 141980, Дубна, Московской обл., ул. Жолио-Кюри, 6
Д. В. Будников
РФЯЦ–ВНИИ экспериментальной физики
Email: Mikhail.Ippolitov@cern.ch
Россия, 607188, Саров, Нижегородской обл., просп. Мира, 37
Д. В. Грачев
РФЯЦ–ВНИИ экспериментальной физики
Email: Mikhail.Ippolitov@cern.ch
Россия, 607188, Саров, Нижегородской обл., просп. Мира, 37
О. В. Вихлянцев
РФЯЦ–ВНИИ экспериментальной физики
Email: Mikhail.Ippolitov@cern.ch
Россия, 607188, Саров, Нижегородской обл., просп. Мира, 37
В. А. Деманов
РФЯЦ–ВНИИ экспериментальной физики
Email: Mikhail.Ippolitov@cern.ch
Россия, 607188, Саров, Нижегородской обл., просп. Мира, 37
Н. В. Завьялов
РФЯЦ–ВНИИ экспериментальной физики
Email: Mikhail.Ippolitov@cern.ch
Россия, 607188, Саров, Нижегородской обл., просп. Мира, 37
А. В. Курякин
РФЯЦ–ВНИИ экспериментальной физики
Email: Mikhail.Ippolitov@cern.ch
Россия, 607188, Саров, Нижегородской обл., просп. Мира, 37
А. Д. Тумкин
РФЯЦ–ВНИИ экспериментальной физики
Email: Mikhail.Ippolitov@cern.ch
Россия, 607188, Саров, Нижегородской обл., просп. Мира, 37
С. В. Фильчагин
РФЯЦ–ВНИИ экспериментальной физики
Email: Mikhail.Ippolitov@cern.ch
Россия, 607188, Саров, Нижегородской обл., просп. Мира, 37
Ю. П. Петухов
Объединенный институт ядерных исследований
Email: Mikhail.Ippolitov@cern.ch
Россия, 141980, Дубна, Московской обл., ул. Жолио-Кюри, 6
П. В. Номоконов
Объединенный институт ядерных исследований
Email: Mikhail.Ippolitov@cern.ch
Россия, 141980, Дубна, Московской обл., ул. Жолио-Кюри, 6
Н. А. Кузьмин
Объединенный институт ядерных исследований
Email: Mikhail.Ippolitov@cern.ch
Россия, 141980, Дубна, Московской обл., ул. Жолио-Кюри, 6
К. А. Балыгин
Национальный исследовательский центр “Курчатовский институтˮ
Email: Mikhail.Ippolitov@cern.ch
Россия, 123182, Москва, пл. Академика Курчатова, 1
Ю. В. Грищук
Национальный исследовательский центр “Курчатовский институтˮ
Email: Mikhail.Ippolitov@cern.ch
Россия, 123182, Москва, пл. Академика Курчатова, 1
М. С. Ипполитов
Национальный исследовательский центр “Курчатовский институтˮ
Email: Mikhail.Ippolitov@cern.ch
Россия, 123182, Москва, пл. Академика Курчатова, 1
В. А. Лебедев
Национальный исследовательский центр “Курчатовский институтˮ
Email: Mikhail.Ippolitov@cern.ch
Россия, 123182, Москва, пл. Академика Курчатова, 1
В. И. Манько
Национальный исследовательский центр “Курчатовский институтˮ
Email: Mikhail.Ippolitov@cern.ch
Россия, 123182, Москва, пл. Академика Курчатова, 1
Ю. Г. Сибиряк
Национальный исследовательский центр “Курчатовский институтˮ
Email: Mikhail.Ippolitov@cern.ch
Россия, 123182, Москва, пл. Академика Курчатова, 1
В. А. Арефьев
Объединенный институт ядерных исследований
Email: Mikhail.Ippolitov@cern.ch
Россия, 141980, Дубна, Московской обл., ул. Жолио-Кюри, 6
А. С. Водопьянов
Объединенный институт ядерных исследований
Email: Mikhail.Ippolitov@cern.ch
Россия, 141980, Дубна, Московской обл., ул. Жолио-Кюри, 6
Н. В. Горбунов
Объединенный институт ядерных исследований
Email: Mikhail.Ippolitov@cern.ch
Россия, 141980, Дубна, Московской обл., ул. Жолио-Кюри, 6
Г. А. Шмонин
РФЯЦ–ВНИИ экспериментальной физики
Автор, ответственный за переписку.
Email: Mikhail.Ippolitov@cern.ch
Россия, 607188, Саров, Нижегородской обл., просп. Мира, 37
Список литературы
- ALICE Collaboration. Dellacasa G. et al. Alice Technical Design Report CERN/LHCC 99-4. ALICE TDR 2. 5 March 1999. ISBN 92-9083-138-3.
- The ALICE Collaboration. Aamodt K. et al. // J. Instrum. 2008. V. 3. P. S08002. https://doi.org/10.1088/1748-0221/3/08/S08002
- Wigmans R. Calorimetry. Energy Measurements in Particle Physics. Oxford: Claredon Press, 2008.
- The CMS Collaboration. Chatrchyan S. et al. // J. Instrum. 2008. V. 3. P. S08004. https://doi.org/10.1088/1748-0221/3/08/S08004
- The ATLAS Collaboration. Aad G. et al. // J. Instrum. 2008. V. 3. P. S08003. https://doi.org/10.1088/1748-0221/3/08/S08003
- URL: https://www.hamamatsu.com/eu/en/product/ optical-sensors/apd/si-apd/S8664-55.html (дата обращения: 24.04.2022)
- Aleksandrov D.V., Burachas S.F., Ippolitov M.S., Lebedev V.A., Manko V.I., Nikulin S.A., Nyanin A.S., Sibiriak I.G., Tsvetkov A.A., Vasiliev A.A., Vinogradov A.A., Bogolyubsky M.Yu., Kharlov Yu.V., Konstantinov S.A., Petrov V.S. и дp. // Nucl. Instrum. and Methods A. 2005. V. 550. P. 169. https://doi.org/10.1016/j.nima.2005.03.174
- Yin Z.B., Liu L.J., Muller H., Rohrich D., Sibiryak I., Skaali B., Vinogradov A., Wang D., Wang Y.P., Zhang F., Zhou D.C. // Journal of Physics: Conference Series. 2011. V. 293. P. 012019. https://doi.org/10.1088/1742-6596/293/1/012019
- ALICE Collaboration. Adam J. et al. // Phys. Lett. B. 2016. V. 754. p. 235. https://doi.org/10.1016/j.physletb.2016.01.020
- Балыгин К.А., Ипполитов М.С., Климов А.И., Лебедев В.А., Манько В.И., Мелешко Е.А., Сибиряк Ю.Г., Акиндинов А.В., Изучеев В.И., Арефьев В.А., Водопьянов А.С., Горбунов Н.В., Кузьмин Н.А., Номоконов П.В., Петухов Ю.П., Руфанов И.А. и др. // ПТЭ. 2018. № 5. С. 13. https://doi.org/10.1134/S003281621804016X
- URL: https://www.hamamatsu.com/content/dam/hamamatsu-photonics/sites/documents/99_SALES_LIBRARY/ssd/s12572-010_etc_kapd1045e.pdf (дата обращения: 24.04.2022)
- URL: https://cargille.com/mounting-media (дата обращения: 24.04.2022)
- URL: https://indico.jinr.ru/event/681/contributions/ 5565/attachments/4397/(дата обращения: 24.04.2022)
- URL: https://indico.jinr.ru/event/681/contributions/ 5565/attachments/4397/(дата обращения: 24.04.2022)
- URL: https://root.cern.ch/ (дата обращения: 24.02.2022)
- Ипполитов М.С., Балыгин К.А., Манько В.И., Сибиряк Ю.Г., Акиндинов А.В., Водопьянов А.С., Горбунов Н.В., Запорожец С.А., Номоконов П.В., Руфанов И.А. // ПТЭ. 2017. № 1. С. 33. https://doi.org/10.7868/S0032816217010025
- Bogolyubsky M., Ippolitov M., Kuryakin A., Manko V., Muller H., Nomokonov P., Punin V., Rohrich D., Sadovsky S., Sibiriak I., Skaali B., Sugitate T., Vasil’ev A., Vinogradov A., Vodopianov A., Zhou D. // Nucl. Instrum. and Methods A. 2009. V. 598. P. 702. doi.org/https://doi.org/10.1016/j.nima.2008.10.003
- Балыгин К.А., Ипполитов М.С., Климов А.И., Манько В.И., Мелешко Е.А., Сибиряк Ю.Г. // ПТЭ. 2017. № 1. С. 25. https://doi.org/10.7868/S0032816217010165
Дополнительные файлы










