Assessment of the Influence of environmental factors on carbon stock in forest soils of Bryansk Poles’e
- Authors: Kuznetsova A.I.1, Gavrilyuk E.A.1, Gornov A.V.1, Ruchinskaya E.V.1, Geraskina A.P.1, Nikitina A.D.1
-
Affiliations:
- Center for Forest Ecology and Productivity of the Russian Academy of Sciences
- Issue: No 1 (2025)
- Pages: 16–28
- Section: SOIL CHEMISTRY
- URL: https://bakhtiniada.ru/0032-180X/article/view/287023
- DOI: https://doi.org/10.31857/S0032180X25010025
- EDN: https://elibrary.ru/BYEHQT
- ID: 287023
Cite item
Full Text
Abstract
The search informative indicators of variation in soil carbon stock coniferous–broadleaf forest has a high predictive value. This article provides an assessment of the contribution of environmental factors to the variation of carbon stock in the forest soils. The study was carried out on the territory of the Bryansk Forest reserve on 45 sample plots located in different landscapes. Five groups of factors characterizing vegetation, macrofauna, landscape, relief, and history of environmental management were analyzed. Statistical relationships between carbon stock indicators and environmental factors were assessed using machine learning methods. The main factor determining the carbon stock in litter was the quality of litter, formed by the dominants of the trees, herbaceous and moss layers. Position in the landscape and other orographic characteristics were less informative. The highest carbon stock of the OL-subhorizon of the litter was in forests with a high proportion of pine. The most informative indicator for determining the variation in carbon stock FH-subhorizon of the litter was the projective cover of mosses. The results of regression analysis for the carbon stock in the A horizon and in the 0-30 cm layer demonstrated a significant contribution of indicators showing the increased hydromorphism, as well as characteristics connected with functional organization of forest ecosystems, namely the ecological-coenotic structure of plant communities (the proportion of nemoral species in the layer undergrowth and shrubs) and functional diversity of earthworms.
Full Text
Введение
Способность почв к депонированию углерода является их ключевой климаторегулирующей функцией и влияет на другие экологические функции почвы [38]. Основными драйверами динамики почвенного углерода в лесах являются абиотические факторы (климатические условия, рельеф), биота (растительность, животные и микроорганизмы), история природопользования [2, 7, 17].
Влияние климата на запасы почвенного углерода проявляется на региональном уровне [38] как напрямую, так и через влияние на биоту, включая растительность, ее видовой состав и продуктивность. Отмечается значимое влияние гидроморфизма на запасы углерода в лесных почвах [34], особенно подстилки [36]. При этом остается неясным вклад качества опада при разных условиях увлажнения [30]. При анализе деструкции в лабораторных экспериментах показано, что соотношение быстро- и медленноразлагаемых компонентов было более значимым фактором эффективности и скорости разложения органического вещества, чем уровни температуры и влажности, а также медленно разлагаемые растительные остатки были более чувствительны к увлажнению почвы [35].
Для хвойно-широколиственных лесов, формирующихся в автоморфных позициях ландшафтов, ранее в ряде работ дана оценка вклада климатических условий, почвообразующих пород, растительности и дождевых червей в варьирование запасов углерода [1, 29, 38]. Показано, что запасы почвенного углерода достигают максимальных значений в лесах с наибольшим богатством видов растений, образующих опад разного качества, т.е. в лесах с высоким функциональным разнообразием растений [3, 11].
Анализ современных зарубежных и отечественных работ позволяет заключить, что поиск информативных предикторов варьирования запасов почвенного углерода в лесах хвойно-широколиственной зоны является актуальной задачей в условиях возрастающего спроса на климаторегулирующие лесные экосистемные услуги [12].
Цель работы – выявить биотические и абиотические факторы, наиболее сильно влияющие на накопление почвенного углерода верхних органогенных горизонтов почв и слоя 0–30 см.
Объекты и методы
Пробные площади (ПП) размером 400 м2 заложены в 2020–2021 гг. в южной части Брянского полесья в пределах заповедника “Брянский лес” и его охранной зоны (рис. 1) на пространственно распределенных ключевых участках (n = 45). Они характеризуют группы типов леса, расположенные в разных ландшафтах. В пойме р. Нерусса (левый приток р. Десны) преобладают алювиальные серогумусовые почвы [10] – Umbric Fluvisols по WRB [39], в долинах малых рек и ручьев (Солька, Земля и др.) аллювиальные перегнойно-глеевые [10] – Histic Fluvisols по WRB [39]. В пределах террасного, полесского и предполесского ландшафтов доминируют дерново-подзолы [10] – Umbric Podzols (Arenic) по WRB [39], а также серогумусовые – Haplic Umbrisols по WRB [39] на флювиогляциальных песках (супесях) и глинистом элювии кремнистой опоки [15]. Встречаются процессы оглеения, торфообразования, признаки антропогенных нарушений. В наименее нарушенных территориях заповедника отмечаются признаки буроземообразования [9]. Характеристика мощности, содержания и плотности основных почвенных горизонтов представлена в табл. 1.
Рис. 1. Территория исследования: 1 – пробные площади в черноольшаниках нитрофильно-травяных, 2 – в березняках кустарничково-зеленомошных, 3 – в березняках неморальнотравных, 4 – в сосняках сложных, 5 – в сосняках кустарничково-зеленомошных, 6 – в широколиственных неморальнотравных лесах, 7 – граница заповедника “Брянский лес”, 8 – моренно-зандровый ландшафт, 9 – зандровый ландшафт, 10 – терраса, 11 – пойма, 12 – поймы малых рек, 13 – прочие типы ландшафта, 14 – постоянные водотоки. Обозначения стран и административных единиц на карте-врезке даны согласно ISO-3166.
Таблица 1. Характеристика мощности, содержания и плотности основных почвенных горизонтов.
Тип почв | Горизонт | Мощность, см | Содержание углерода, % | Плотность (запас)* | |||
x– | Sx– | x– | Sx– | x– | Sx– | ||
Алювиальные серогумусовые почвы (n = 5) | OL | 0.8 | 0.3 | 35.4 | 10.27 | 0.04 | 0.02 |
(OFH) | 0.5 | 0.0 | 35.5 | 0.92 | 0.06 | 0.01 | |
AY1 | 13 | 12.6 | 7.6 | 4.03 | 0.70 | 0.42 | |
AY | 23 | 15.9 | 2.9 | 0.98 | 0.90 | 0.22 | |
AYC | 17 | 14.8 | 0.6 | 0.28 | 1.19 | 0.32 | |
Алювиальная перегнойно-глеевая (n = 3) | OL | 1 | 0.0 | 43.8 | 1.25 | 0.04 | 0.02 |
Н1 | 21 | 13.9 | 28.7 | 10.42 | 0.13 | 0.09 | |
Н2 | 41 | 27.1 | 17.4 | 10.2 | 0.32 | 0.14 | |
G | 22 | 10.6 | 2.4 | 0.84 | 1.07 | – | |
CG | 22 | 11.3 | 0.13 | 0.0 | 1.07 | – | |
Перегнойно-темногумусовая (n = 2) | OL | 1 | 0.0 | 50.1 | 0.21 | 0.09 | 0.05 |
OFH | 3 | 1.41 | 46.2 | 2.62 | 0.31 | 0.25 | |
AH1 | 4 | 1.41 | 24.3 | 5.09 | 0.31 | 0.06 | |
AH | 7 | – | 5.4 | – | 0.74 | – | |
Chi | 11 | 1.41 | 0.9 | 0.18 | 1.22 | 0.07 | |
C | 33.5 | 9.19 | 0.4 | 0.34 | 1.54 | – | |
Дерново-подзол (n = 22) | OL | 0.9 | 0.4 | 46.6 | 3.35 | 0.06 | 0.028 |
OFH | 2.2 | 2.2 | 37.3 | 4.89 | 0.13 | 0.127 | |
AY1 | 6 | 3.5 | 4.9 | 2.39 | 0.78 | 0.212 | |
AY | 12 | 6.6 | 1.5 | 0.99 | 1.27 | 0.19 | |
E | 20 | 12.6 | 0.3 | 0.16 | 1.43 | 0.17 | |
BF | 17 | 4.4 | 0.4 | 0.22 | 1.29 | 0.47 | |
Серогумусовая (n = 13) | OL | 0.9 | 0.6 | 46.1 | 1.85 | 0.05 | 0.03 |
OFH | 1.3 | 1.6 | 37.5 | 5.08 | 0.10 | 0.07 | |
AY1 | 5 | 2.9 | 5.8 | 4.03 | 0.83 | 0.37 | |
AY | 18 | 7.8 | 1.3 | 0.42 | 1.21 | 0.15 | |
AYC | 20 | 8.1 | 0.5 | 0.36 | 1.37 | 0.16 | |
Примечание. n – объем выборки, x– – среднее, Sx– – стандартное отклонение, прочерк – нет данных. В скобках указаны горизонты, присутствие которых не обязательно.
*Для горизонтов OL, OFH определяли запас подстилки, г/см2, для остальных горизонтов – плотность, г/см3.
Предварительные места закладки ПП выбирали на основе сопряженного экспертного анализа ландшафтной карты [8], лесоустроительных материалов, и результатов тематической обработки спутниковых изображений [4], доступных для территории заповедника таким образом, чтобы расстояние между соседними ПП составляло не менее 1 км. Окончательное расположение ПП корректировали в процессе выполнения полевых работ. На всех ПП проводили оценку состава растительности, макросапрофагов общепринятыми методами, описание которых доступно в дополнительных материалах ESM_1.docx.
На всех ПП описывали видовой состав растительных сообществ (описание метода см. ESM_1.docx). Внутри ПП случайным образом были заложены 3 полуямы размером 25 × 25см, глубиной 30 см. При этом соблюдалось расстояние между отборами – не менее 10 м, а также фиксировалось расположение полуямы относительно деревьев (подкрон или межкрон). Весь почвенный материал, изъятый из полуям, использовался для количественного учета почвенных беспозвоночных методом раскопки и ручного разбора почвенно-зоологических проб (описание метода см. ESM_1.docx).
Подстилку для определения ее запасов отбирали с наименее нарушенной стенки полуямы с использованием рамки 0.25 × 0.25 м. Подстилку разбирали на подгоризонты опада OL- и нижний OFH-подгоризонт без его дифферренциации. Далее стенки полуямы зачищали, фотографировали, отмечали границы горизонтов. Поскольку до глубины 30 см, как правило, полностью вскрывается только гумусовый горизонт, последовательность дальнейших горизонтов и характер почвообразующих пород определяли почвенным буром Эдельмана для комбинированных почв (до глубины 100 см). В случае если на ПП установлено присутствие дерново-подзола, то полуяму расширяли до глубины 50(80) см для фиксации нижних границ основных почвенных горизонтов. После описания почв для определения плотности с использованием режущих колец ПГ-100 последовательно отбирали образцы со стенки полуямы с глубины 20–30, 5–15 см с указанием типа горизонта. Более гумифицированную верхнюю часть горизонта А1 отбирали с поверхности, оставшейся после отбора монолита подстилки. Параллельно с отбором образцов на плотность отбирали индивидуальные образцы для химического анализа. Далее три индивидуальные пробы одинаковых горизонтов с одинаковых глубин отбора из 3 разных полуям смешивали в одну смешанную пробу.
В лаборатории почвенные образцы высушивали и просеивали через сито 2 мм. Оценку содержания углерода и азота проводили на CHN-анализаторе (ЕА 1110 (CHNS-O)). Образцы, отобранные для определения запасов подстилки и плотности, взвешивали, определяли коэффициент гигроскопии. Для почв заповедника характерна невысокая доля крупнозема (от 1 до 5%, встречается в трети проб), не влияющая значительно на запасы почвенного углерода [13].
Запасы углерода в OL-, OFH-подгоризонтах подстилки рассчитывали путем умножения запаса подгоризонта на содержание углерода в нем. Запасы углерода в горизонтах почвы рассчитывали путем умножения плотности, содержания углерода и мощности слоя [14]. Запасы углерода в горизонта А1 рассчитывали путем суммы запасов его верхней и нижней части. Запасы в слоях почвы 0–10 и 0–30 см рассчитывали исходя из пропорциональных вкладов горизонтов, образующих эти слои.
В контексте влияния факторов среды проанализировано пять показателей, характеризующих запасы углерода в лесных почвах: запасы в OL- и OFH-подгоризонтах подстилки (CstL и CstFH), в верхних слоях почвы мощностью 10 см (Cst10) и 30 см (Cst30), в верхнем (CstА) горизонте А1 (Н, АН, AY в зависимости от типа почв).
Статистический анализ полученных показателей всех ПП вместе (табл. 2) свидетельствует о высокой неоднородности выборок (коэффициент вариации >40%).
Таблица 2. Описательная статистика запасов почвенного углерода хвойно-широколиственных лесов Брянского Полесья, т/га
Показатель | Среднее | Медиана | Минимум | Максимум | 1-й квартиль | 3-й квартиль | s | КВ |
Запасы углерода (n = 45) | ||||||||
CstL | 2.4 | 1.9 | 0.5 | 6.1 | 1.1 | 3.6 | 1.5 | 61.9 |
CstFH | 4.3 | 2.4 | 0.0 | 21.9 | 1.7 | 4.2 | 5.2 | 121.9 |
Cst10 | 31.8 | 29.9 | 7.6 | 62.9 | 20.8 | 41.7 | 13.1 | 41.1 |
Cst30 | 59.5 | 49.7 | 14.5 | 182.5 | 35.6 | 70.7 | 36.0 | 60.5 |
CstA | 67.6 | 44.3 | 13.0 | 362.9 | 29.1 | 66.2 | 74.9 | 110.8 |
Примечание. n – объем выборки; s – стандартное отклонение; КВ – коэффициент вариации показателя, %; CstL – запас углерода OL-подгоризонта подстилки; CstFH – запас углерода OFH-подгоризонта подстилки; Cst0–10 – запас углерода в слое 0–10 см; Cst0–30 – запас углерода в слое 0–30 см; CstA – запас углерода в горизонте А.
Факторы среды. Проанализировали пять групп факторов, каждая из которых была формализована через набор качественных и/или количественных признаков, характеризующих ландшафт, растительность, почвенную макрофауну, рельеф местности и историю природопользования в местах закладки ПП.
С использованием ландшафтной карты ПП были соотнесены с пятью базовыми типами ландшафтов заповедника: (1) моренно-зандровый, (2) зандровый, (3) террасный, (4) поймы малых рек и (5) поймы крупных рек. В качестве дополнительного показателя, характеризующего приуроченность к водным объектам, использовали величину расстояния от ПП до ближайшего водоема или водотока.
На основе геоботанических описаний ПП были стратифицированы на шесть обобщенных групп типов леса: (1) сосняки кустарничково-зеленомошные (Ск-з), (2) сосняки сложные неморально-бореальнотравные (Ссл), (3) березняки кустарничково-зеленомошные (Бк-з), (4) березняки неморальнотравные (Бн), (5) черноольшаники нитрофильно-травяные (ЧОн-т), (6) широколиственные неморальнотравные леса (Шн). Описание выделенных групп представлено в приложении (ESM_2.docx).
В качестве индикаторов качества опада использовали показатели возраста древостоев, сомкнутости (для ярусов A, B), проективного покрытия (C, D) и видового разнообразия (A, B, C), а также параметры функционального разнообразия, выраженные через сомкнутость отдельных видов деревьев (А) и эколого-ценотических групп видов (B, C): опушечных, бореальных, неморальных и нитрофильных.
Помимо перечисленных факторов, для всех рассмотренных показателей запасов почвенного углерода, кроме CstL, в качестве химической характеристики качества опада использовали величину отношения содержания углерода к азоту в OL-подгоризонте подстилки.
Для характеристики макрофауны почв применяли показатели видового разнообразия и биомассы с подразделением по разным трофическим группам: сапрофагов (с выделением функциональных групп дождевых червей), хищников, фитофагов, миксофагов. Описание выделенных групп представлено в приложении.
Базовые морфометрические характеристики рельефа местности рассчитывали по цифровой модели рельефа с пространственным разрешением 10 м, сформированной в результате интерполяции значений высот по горизонталям топографической карты масштаба 1 : 50 000 (высота сечения рельефа – 5 м). В качестве признаков для анализа рассматривали показатели абсолютной высоты над ур. м. (для территории исследования изменяется в диапазоне 134–188 м, в среднем – 155 м), крутизны (95% территории имеют уклоны менее 1°, в среднем – 0.3°), ориентации и кривизны склона, индексы шероховатости поверхности и относительного положения участка на склоне, а также морфометрическую классификацию форм рельефа. Морфометрические показатели рассчитывали с использованием пакета MultiscaleDTM [27] в программной среде R [33]. При расчетах для сбора статистики использовали скользящее окно размером 5 × 5 пикселей (50 × 50 м). При статистическом анализе измерения с ПП сопоставляли с медианными значениями морфометрических показателей в окне радиусом 25 м вокруг точки заложения.
Для индикатора антропогенного воздействия использовали отмеченные при полевых описаниях почвенного профиля типы нарушений – признаки искусственного лесовосстановления (нарезка борозд), послепожарные остатки углей больше 1 см.
Полный список из 57 проанализированных признаков доступен в табл. ESM_3.docx.
Статистическая обработка. Статистические взаимосвязи между показателями запасов углерода и признаками, характеризующими факторы среды, оценивали с использованием методов машинного обучения. Для этого строились серии регрессионных моделей, где показатели запасов углерода выступали в качестве зависимых переменных, а различные признаки, характеризующие факторы среды, – в качестве независимых.
Все признаки подвергали предварительному статистическому анализу на предмет целесообразности включения их в модели. Для качественных признаков (типы ландшафта, группы типов леса, типы нарушений, формы рельефа) применяли стандартный попарный ранговый тест Вилкоксона [18] для определения наличия или отсутствия статистически значимых различий в показателях запасов углерода между отдельными категориями этих переменных. Использовали программную реализацию теста в среде R (функция pairwise.wilcox.test из пакета stats) с коррекцией p-значений по методу Бенджамини и Йекутиэли [19]. Категории, продемонстрировавшие значимые отличия (p < 0.05) от всех остальных категорий внутри признака, преобразовывали в бинарные переменные (1 означает присутствие признака, а 0 – его отсутствие) для полноценного включения в регрессионный анализ, остальные признаки и/или их отдельные категории отбрасывали. Количественные признаки отбирали на основе значений их попарной корреляции с использованием функционала R-пакета klaR [37]. Среди переменных методом иерархического кластерного анализа выделяли группы со значениями взаимной корреляции >0.9, после чего из каждой такой группы выбирали только один признак с минимальным средним значением корреляции относительно переменных соседних кластеров.
Очевидно, что наилучшие (с точки зрения эффективности предсказаний) регрессионные модели могут быть получены только на основе сочетания признаков, в наибольшей степени согласованных с анализируемой зависимой переменной, а степень этой согласованности может быть проинтерпретирована как теснота их взаимосвязей. В контексте машинного обучения влияние переменных на эффективность модели обычно характеризуется показателями информативности (значимости). Для определения значимости переменных использовали один из наиболее простых и универсальных методов – прямой последовательный поиск признаков (Sequential Forward Feature Selection, SFFS) [25]. Он позволяет получить ранжированную в порядке убывания значимости последовательность признаков, одновременно с показателями эффективности соответствующих регрессионных моделей. При этом разница в последовательных значениях показателей эффективности напрямую характеризует вклад каждой новой переменной, добавляемой в модель в процессе анализа.
Для построения регрессионных моделей в процессе SFFS применяли метод опорных векторов (Support Vector Machine, SVM) [20]. В отличие от классических линейных моделей, SVM позволяет получать надежные результаты при числе признаков большем, чем количество измерений, а также он не накладывает дополнительных условий на характер распределения значений в выборке и относительно устойчив к выбросам. В то же время использование современных ансамблевых (случайные леса, градиентный бустинг) и нейросетевых методов для моделирования в настоящем случае нецелесообразно из-за малого объема обучающих данных. Для достижения наилучших результатов SVM требует настройки.
Более подробно метод SFFS и особенности его применения в рамках данной работы, а также принципы оптимизации параметров SVM описаны в дополнительных материалах.
Оценки эффективности моделей, как в процессе SFFS, так и в процессе настройки SVM, проводили методом кросс-валидации по исходной выборке. Использовали схему кросс-валидации “leave-one-out”, когда в качестве изолированного тестового набора данных поочередно рассматривается каждое отдельное измерение выборки. В качестве меры эффективности моделей использовали классический коэффициент детерминации (R2), который наиболее явным образом характеризует долю вариации зависимой переменной, объясняемую признаками, заложенными в модель. Значимость отдельных переменных оценивали как разность значений R2 до и после их включения в модель. Для начальных моделей, построенных на основе одной переменной, в качестве точки отсчета использовали значения R2 базовой статистической модели (Base), которая всегда предсказывает среднее значение по выборке.
В качестве дополнительного (контрольного) показателя эффективности рассчитывали стандартную для регрессионного анализа величину квадратного корня из средней квадратической ошибки (aka RMSE) кросс-валидационных предсказаний модели. Для получения величины ошибки в относительном выражении (%) значения RMSE нормировали на средние значения запасов углерода по исходной выборке.
Результаты
Предварительный отбор признаков. По результатам предварительного статистического анализа качественных признаков среды, значимые различия в значениях запасов углерода были выявлены только для отдельных категорий ландшафта и групп типов леса.
ПП, расположенные в поймах малых и крупных рек (рис. 2), значимо отличаются от ПП во всех прочих ландшафтах (но не между собой) по показателю CstA (p в диапазоне 0.032–0.042) и на около значимом уровне по Cst30 (p = 0.065). Учитывая этот результат, для последующего регрессионного анализа признак типов ландшафта был заменен на бинарную переменную, отражающую нахождение ПП в пойме.
Рис. 2. Диаграмма рассеяния нормализованных значений запасов углерода (ординация) для (а) типов ландшафта: 1 – моренно-зандровый, 2 – зандровый, 3 – террасный, 4 – пойма малых рек, 5 – пойма р. Нерусса; (b) типов леса: 6 – черноольшаники нитрофильно-травяные, 7 – березняки кустарничково-зеленомошные, 8 – березняки неморальнотравные, 9 – сосняки сложные, 10 – сосняки кустарничково-зеленомошные, 11 – широколиственные неморальнотравные леса.
ПП, расположенные в сосняках кустарничково-зеленомошных, значимо отличались от ПП в неморальнотравных березняках и широколиственных лесах (но не от других групп типов леса) по показателям CstL (p = 0.024) и CstFH (p = 0.02). ПП в неморальнотравных широколиственных лесах на около значимом уровне отличались от ПП в черноольшаниках и сложных сосняках по показателю Cst10 (p = 0.051). Учитывая, что ни одна группа типов леса не отличается от всех остальных на статистически значимом уровне, а также то, что типология лесов косвенно характеризуется множеством количественных признаков из исходного набора (различные показатели проективного покрытия видов и групп видов по ярусам), качественный признак принадлежности ПП к группам типов леса не использовался в последующем регрессионном анализе.
Для категорий признаков антропогенного воздействия и форм рельефа не было обнаружено значимых различий ни по одному из показателей запасов углерода, соответственно, эти качественные переменные были исключены из последующего анализа.
Среди количественных признаков по результатам корреляционного анализа были отброшены показатели общего числа видов по всем ярусам (коррелирован с числом видов в ярусе C), общей биомассы макрофауны и общей биомассы дождевых червей (оба коррелированы с биомассой сапрофагов).
Таким образом, по результатам предварительной статистической обработки для последующего регрессионного анализа было отобрано 50 переменных.
Результаты регрессионного анализа. В табл. 3 приведены оптимальные сочетания переменных и показатели эффективности лучших моделей, которые удалось получить в процессе регрессионного анализа.
Таблица 3. Результаты регрессионного анализа
Показатель | Оптимальный набор переменных* | R2 | RMSE, т/га | RMSE, % |
CstL | VEG_pine_A, VEG_den_C, VEG_emla_A | 0.50 | 1.0 | 43.1 |
CstFH | VEG_den_D, SMF_sapr | 0.36 | 4.2 | 96.6 |
Cst10 | VEG_alnus_A | 0.23 | 11.3 | 35.7 |
Cst30 | VEG_nitr_B, SMF_ngr, LSC_fp, VEG_nem_B VEG_pine_A | 0.57 | 23.3 | 39.1 |
CstA | VEG_alnus_A, VEG_nitr_B, SMF_ngr | 0.85 | 29.1 | 43.1 |
Примечание. Значения RMSE, % нормировали на средние значения запасов углерода по исходной выборке. CstL – запас углерода OL-подгоризонта подстилки; CstFH – запас углерода OFH-подгоризонта подстилки; Cst0–10 – запас углерода в слое 0–10 см; Cst0–30 – запас углерода в слое 0–30 см; CstA – запас углерода в горизонте А.
* VEG_pine_A – доля сосны в древесном ярусе, %; VEG _ emla_A – суммарная доля вяза, клена, липы и ясеня в древесном ярусе, %; VEG_alnus_A – доля ольхи черной в древесном ярусе, %; VEG_den_C – проективное покрытие травяного яруса, %; VEG_den_D – проективное покрытие мохового яруса, %; VEG_nitr_B – доля нитрофильных видов в ярусе подроста и кустарников, %, VEG_nem_B – доля неморальных видов в ярусе подроста и кустарников, %, SMF_sapr – биомасса сапрофагов, г/м2; SMF_ngr – число групп дождевых червей, LSC_fp – расположение в поймах рек.
Наилучшие с точки зрения эффективности модели были получены для показателей запаса углерода в OL-подгоризонте подстилки, верхнем слое почвы толщиной 30 см и гумусовом горизонте: все они характеризуются коэффициентом детерминации 0.5 и выше и относительной ошибкой около 40% от среднего. Для показателей запасов углерода в OFH-подгоризонте подстилки и верхнем слое почвы мощностью 10 см эффективность моделирования заметно ниже: относительная ошибка для CstFH составила около 97% от среднего, а коэффициент детерминации для Cst10 составлял только 0.23.
В целом наиболее значимыми признаками при регрессионном моделировании запасов почвенного углерода были различные характеристики растительности, дополненные отдельными свойствами почвенной макрофауны. При этом абиотические признаки, характеризующие ландшафт и рельеф местности, оказались малоинформативны.
Для OL-подгоризонта подстилки наиболее значимым признаком, объясняющим 42% вариации запасов углерода, является доля сосны в древесном ярусе (рис. 3). Характер взаимосвязи показателей – положительный (относительно высокие значения доли сосны соответствуют большим значениям запасов углерода, а относительно низкие – меньшим). Показатели проективного покрытия травяного яруса и суммарной доли вяза, клена, липы и ясеня в древесном ярусе добавляют еще примерно по 4% объясненной вариации. Взаимосвязь запаса углерода с этими признаками носит отрицательный характер.
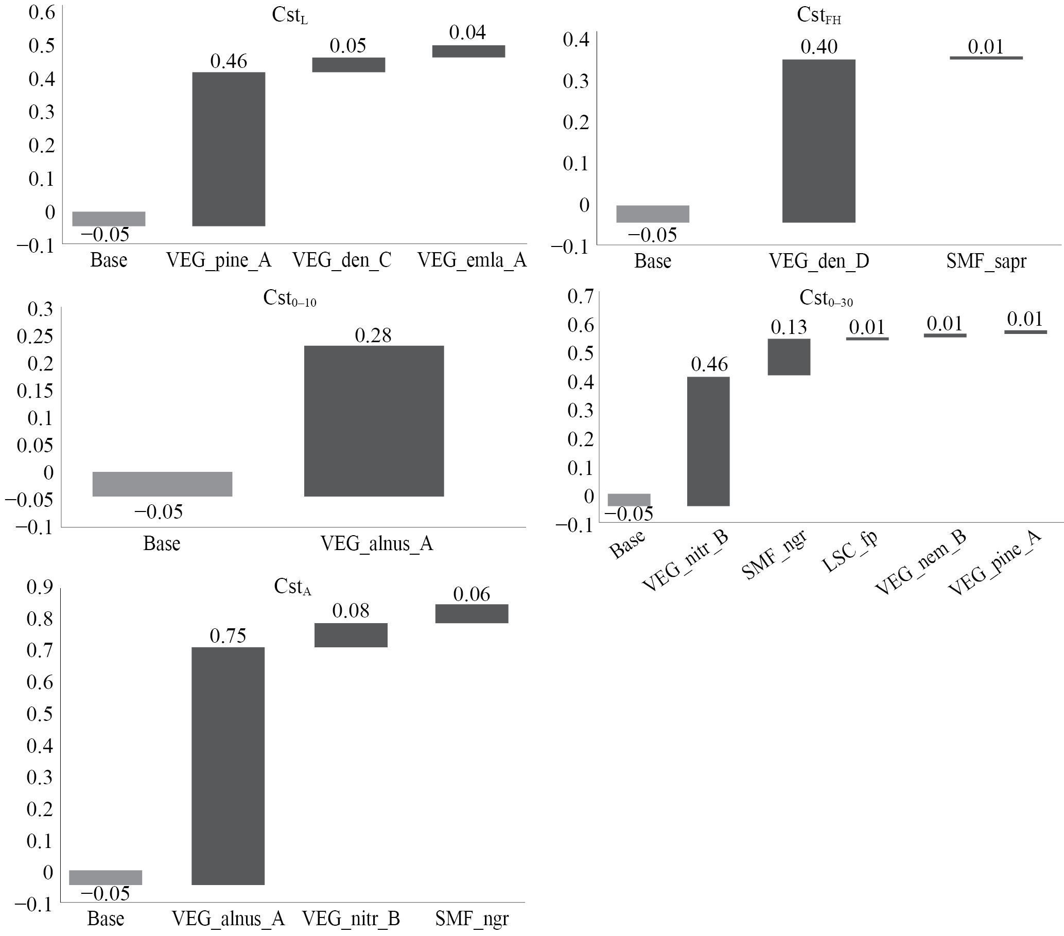
Рис. 3. Изменение коэффициента детерминации модели множественной регрессии с отражением эффекта от добавления переменной в модель. CstL – запас углерода OL – подгоризонта подстилки; CstFH – запас углерода ОFH – подгоризонта подстилки; Cst0-10 – запас углерода в слое 0–10 см; Cst0-30 – запас углерода в слое 0–30 см; CstA – запас углерода горизонта А. Вертикальная ось графиков – коэффициент детерминации (R2). Данные подписаны величиной эффекта от добавления переменной на значение R2. Горизонтальная ось – переменные, где Base – базовая статистическая модель. VEG_pine_A – доля сосны в древесном ярусе,%; VEG_emla_A – суммарная доля вяза, клена, липы и ясеня в древесном ярусе, %; VEG_alnus_A – доля ольхи черной в древесном ярусе, %; VEG_den_C – проективное покрытие травяного яруса, %; VEG_den_D – проективное покрытие мохового яруса, %; VEG_nitr_B – доля нитрофильных видов в ярусе подроста и кустарников, %; VEG_nem_B – доля неморальных видов в ярусе подроста и кустарников, %; SMF_sapr – биомасса сапрофагов, г/м2; SMF_ngr – число групп дождевых червей, LSC_fp – расположение в поймах рек.
Для OFH-подгоризонта подстилки наиболее значимым признаком, объясняющим 35% вариации запасов углерода, является проективное покрытие мохового яруса. Характер взаимосвязи показателей – положительный. Также информативной была переменная, характеризующая биомассу сапрофагов. Этот показатель имеет отрицательную связь с запасами углерода подстилки.
Для почвенного слоя 0–10 см наиболее значимым признаком, объясняющим 23% вариации запасов углерода, является сомкнутость ольхи черной в древесном ярусе. Характер взаимосвязи показателей – положительный.
Для почвенного слоя 0–30 см наиболее значимым признаком, объясняющим 42% вариации запасов углерода, является доля нитрофильных видов в ярусе подроста и кустарников. Число экологических групп дождевых червей увеличивает коэффициент детерминации на 13%. Также информативной была переменная, характеризующая расположение в поймах рек. Взаимосвязь запаса углерода с этими признаками носит положительный характер. Доля сосны в древесном ярусе, доля неморальных видов в ярусе подроста и кустарников добавляют еще 2% объясненной вариации. Характер взаимосвязи показателей – отрицательный.
Для горизонта А наиболее значимым признаком, объясняющим 71% вариации запасов углерода, является сомкнутость ольхи черной в древесном ярусе. Доля нитрофильных видов в ярусе подроста и кустарников, число экологических групп дождевых червей добавляют еще по 8 и 6% объясненной вариации соответственно. Характер взаимосвязи показателей – положительный.
Обсуждение
Вклад факторов среды в варьирование запасов углерода подстилки хвойно-широколиственных лесов. Ведущим фактором, определяющим запасы углерода в подстилке, являются биотические факторы. Качество опада регулируется составом растительности и является информативным показателем запаса углерода подстилки [31].
Наибольшие запасы углерода OL-подгоризонта подстилки характерны для лесов с высокой долей участия сосны, поскольку ее опад медленно перерабатывается почвенной биотой и характеризуется как опад низкого качества для почвенных сапрофагов [16, 26, 32]. Показатели проективного покрытия травяного яруса и сомкнутости широколиственных видов деревьев (вяза, клена, липы и ясеня) характеризуют вклад легкоразлагаемого опада, отрицательно связаны с запасами углерода подстилки. Травяной ярус на всех площадках характеризовался показателями покрытия от 20 (березняки неморальнотравные) до 97% (черноольшаники). Вяз, клен, липа и ясень в древесном ярусе встречались в сообществах с более неморальным составом растительности: сосняках сложных, березняках неморальнотравных, широколиственных неморальнотравных лесах.
Из предложенных индикаторов качества опада наиболее информативным для определения вариации запасов углерода OFH-подгоризонта подстилки оказался показатель проективного покрытия мхов. Формирование мохового яруса характерно для групп типов леса, которые отличаются преобладанием раннесукцессионных видов деревьев (сосны, березы). В сосняках зеленомошных покрытие мхов на почве достигает 90%, в березняках – в среднем 40%. Исследования показывают, что мхи способствуют секвестрации углерода [28], особенно в верхнем органогенном горизонте песчаных почв (5 см) [24].
Также для запаса углерода в OFH-подгоризонте подстилки информативной была переменная, характеризующая биомассу сапрофагов. Самые высокие показатели биомассы сапрофагов выявлены в широколиственных неморальнотравных лесах и в березняках неморальнотравных. Однако активность сапрофагов ограничена в песчаных почвах [22], поэтому в целом макросапрофаги не сильно влияют на запасы углерода подстилки.
Таким образом, для подстилки ведущим фактором, определяющим запасы углерода в ней, является качество опада, формируемое доминантами древесного, травяного и мохового яруса. Растительность наиболее полно отражает изменения почвенно-грунтовых условий, поэтому более информативно предсказывает вариабельность запасов углерода верхних органогенных горизонтов почв. Ранее успешно продемонстрирован опыт геопространственного моделирования содержания и запасов N и C по характеристикам растительности [5].
Абиотические факторы среды (некоторые характеристики рельефа) в данном исследовании оказались малоинформативны, поскольку территория заповедника представляет собой пологую песчаную равнину, почвы которой хорошо дренируются [8]. В выраженных гидроморфных условиях (пойма р. Нерусса) в широколиственных неморальнотравных лесах, отличающихся высоким функциональным разнообразием растений, а значит и опадом разного качества [11], создаются благоприятные условия для высокой активности макрофауны, формируется маломощная подстилка, отличающаяся низким запасом. Таким образом, подтверждается, что для территорий, где увлажнение является лимитирующим фактором, усиление гидроморфизма может способствовать увеличению скорости разложения опада [30] за счет создания благоприятных условий для деструкторов опада и накоплению углерода в минеральных горизонтах почв.
Вклад факторов среды в варьирование запасов углерода слоев 0–10, 0–30 см и горизонта А почв хвойно-широколиственных лесов. Результаты попарного сравнения и регрессионного анализа для запаса углерода как в слое 0–10 см, так и в слое 0–30 см и горизонте А продемонстрировали высокий вклад индикаторов, указывающих на наличие повышенной гидроморфности, при этом более чувствительными были не предложенные характеристики рельефа, а наземные оценки проективного покрытия отдельных видов.
Например, ольха черная обычно заселяет переувлажненные места, поскольку другие древесные растения не могут существовать в таких условиях. Этот вид можно считать индикатором повышенной гидроморфности. Она преобладает в поймах малых рек, но единичные особи были также отмечены в березняках кустарничково-зеленомошных и в широколиственном неморальнотравном лесу, что может быть связано с образованием локальных понижений.
С другой стороны, отмечен вклад факторов, связанных с функциональной организацией лесных экосистем, а именно эколого-ценотической структуры растительных сообществ (доля неморальных видов в ярусе подроста и кустарников) и функционального разнообразия дождевых червей. Состав подроста является индикатором направления изменений в составе растительности, поскольку с увеличением участия в подросте неморальных видов (деревьев и кустарников) со временем повышается вероятность смены доминантов древесного яруса. Соответственно, меняется и качество поступающего опада, что отражается на изменении функционального разнообразия сапрофагов. В сосняках кустарничково-зеленомошных дождевые черви представлены в основном подстилочной группой, биомасса почвенно-подстилочных червей крайне низкая. В сосняках сложных неморальнотравных, как и в березняках кустарничково-зеленомошных, обитают только две группы дождевых червей – подстилочные и почвенно-подстилочные. В березняках неморальнотравных обитают три группы дождевых червей: подстилочные, почвенно-подстилочные и собственно почвенные дождевые черви. Наибольшее функциональное разнообразие дождевых червей представлено в широколиственных неморальных лесах в моренно-зандровом ландшафте (три группы) и в пойме р. Нерусса (четыре группы, включая норных червей). Черноольшанники нитрофильно-травяные характеризуются тремя морфо-экологическими (функциональными группами): подстилочные, почвенно-подстилочные и собственно почвенные.
Ранее показано, что информативными предикторами варьирования запасов углерода до глубины 50 см могут служить показатели качества опада (содержание основных катионов, соотношение C/N) [11, 21, 29]. Вероятно, при исключении пойменных ландшафтов из выборки удалось бы найти другие информативные предикторы варьирования запасов углерода, например, возраст, C/N в горизонте опада.
Результаты попарного сравнения запасов почвенного углерода демонстрируют особенности использования качественных признаков, характеризующих тип ландшафта, тип леса, тип нарушений. Определенные классификационные единицы становятся информативными только в контрастных условиях, поскольку запасы почвенного углерода имеют широкий диапазон пересекающихся значений в разных типах леса.
Решение этой проблемы может быть получено при разработке функциональной классификации лесов [11], отражающей не доминантно-видовую структуру сообщества, а функциональную, основанную на изменении качества опада [3]. Это подтверждают результаты регрессионного анализа, где в качестве информативных индикаторов выступают характеристики, связанные с функциональной организацией лесных экосистем, а именно индикаторы качества опада, эколого-ценотической структуры сообщества и функционального разнообразия основных сапрофагов. В ряде исследований также показано, что функциональные особенности растений [23] и животных [6] контролируют процессы накопления углерода в почве.
Заключение
Показано, что наибольший вклад биотических факторов, связанных с растительностью, в вариацию запасов углерода обнаружен в подстилке, а положение в ландшафте и другие орографические характеристики (например, кривизна склона) были менее информативны.
Для лесов, где доминирует или содоминирует сосна, развит моховой покров и отмечена наименьшая биомасса почвенных сапрофагов, характерны высокие запасы подстилки. Для подстилки ведущим фактором, определяющим запасы углерода в ней, является качество опада, формируемое доминантами древесного, травяного и мохового яруса. Предложенные информативные индикаторы могут быть успешно использованы в качестве переменных для моделирования свойств подстилки.
Для аккумулятивных позиций ландшафта, в которых формируются черноольшанники нитрофильно-травяные, характерны высокие запасы углерода в слое 0–30 см и горизонте А. Ведущими факторами, определяющими запасы почвенного углерода, являются наличие гидроморфности, а также индикаторы функционального разнообразия дождевых червей и особенности эколого-ценотической структуры растительных сообществ (доля неморальных видов в ярусе подроста и кустарников).
Настоящее исследование показывает, что запас почвенного углерода тесно связан с функциональной организацией лесных экосистем, поэтому определение функционального разнообразия растений и сапрофагов может иметь ключевое значение в вопросах оценки и регулирования накопления почвенного углерода.
Благодарность
Авторы выражают благодарность чл.-корр. РАН, д.б.н., проф. Н.В. Лукиной за идею данного исследования и содействие на всех этапах его проведения, сотрудникам заповедника “Брянский лес” за помощь в организации полевых работ, научному сотруднику факультета почвоведения МГУ им. М.В. Ломоносова М.В. Кадулину за помощь по сбору материала по почвенной макрофауне, научному сотруднику ЦЭПЛ РАН С.А. Ермолову за помощь в определении почвенных беспозвоночных, лаборанту-исследователю ЦЭПЛ РАН В.Н. Ивановой за техническую помощь. Выражаем благодарность коллективу экоаналитической лаборатории ЦКП “Хроматография” (регистрационный номер 3297) ИБ Коми НЦ УрО РАН (аттестат аккредитации № РОСС RU.0001.511257) за выполнение количественного анализа углерода и азота.
Финансирование работы
Работа выполнена в рамках реализации проекта “Разработка системы наземного и дистанционного мониторинга пулов углерода и потоков парниковых газов на территории Российской Федерации, обеспечение создания системы учета данных о потоках климатически активных веществ и бюджете углерода в лесах и других наземных экологических системах” (рег. № 123030300031-6).
Соблюдение этических стандартов
В данной работе отсутствуют исследования человека или животных.
Конфликт интересов
Авторы заявляют об отсутствии конфликта интересов.
Дополнительная информация
Онлайн-версия содержит дополнительные материалы, доступные по адресу https://doi.org/10.31857/S0032180X25010025
About the authors
A. I. Kuznetsova
Center for Forest Ecology and Productivity of the Russian Academy of Sciences
Author for correspondence.
Email: nasta472288813@yandex.ru
Russian Federation, Moscow, 117997
E. A. Gavrilyuk
Center for Forest Ecology and Productivity of the Russian Academy of Sciences
Email: nasta472288813@yandex.ru
Russian Federation, Moscow, 117997
A. V. Gornov
Center for Forest Ecology and Productivity of the Russian Academy of Sciences
Email: nasta472288813@yandex.ru
Russian Federation, Moscow, 117997
E. V. Ruchinskaya
Center for Forest Ecology and Productivity of the Russian Academy of Sciences
Email: nasta472288813@yandex.ru
Russian Federation, Moscow, 117997
A. P. Geraskina
Center for Forest Ecology and Productivity of the Russian Academy of Sciences
Email: nasta472288813@yandex.ru
Russian Federation, Moscow, 117997
A. D. Nikitina
Center for Forest Ecology and Productivity of the Russian Academy of Sciences
Email: nasta472288813@yandex.ru
Russian Federation, Moscow, 117997
References
- Аккумуляция углерода в лесных почвах и сукцессионный статус лесов / Под ред. Лукиной Н.В. М.: Товарищество научных изданий КМК, 2018. 232 с.
- Баева Ю.И., Курганова И.Н., Почикалов А.В., Кудеяров В.Н. Физические свойства и изменение запасов углерода серых лесных почв в ходе постагрогенной эволюции (юг Московской области) // Почвоведение. 2017. № 3. C. 345–353. https://doi.org/10.7868/S0032180X17030029
- Басова Е.В., Лукина Н.В., Кузнецова А.И., Горнов А.В., Шевченко Н.Е., Тихонова Е.В., Гераськина А.П., Браславская Т.Ю., Тебенькова Д.Н., Луговая Д.Л. Качество древесного опада как информативный индикатор функциональной классификации лесов // Вопросы лесной науки. 2022. Т. 5. № 3. С. 1–21. https://doi.org/10.31509/2658-607x-202252-113
- Гаврилюк Е.А., Горнов А.В., Ершов Д.В. Оценка пространственного распределения видов деревьев заповедника “Брянский лес” и его охранной зоны на основе разносезонных спутниковых данных Landsat // Бюл. Брянского отделения РБО. 2018. № 3(15). С. 13–23. https://doi.org/10.22281/2307-4353-2018-3-13-23
- Гаврилюк Е.А., Кузнецова А.И., Горнов А.В. Геопространственное моделирование содержания и запасов азота и углерода в лесной подстилке на основе разносезонных спутниковых изображений Sentinel-2 // Почвоведение. 2021. №. 2. С. 168–182.
- Гераськина А.П. Влияние дождевых червей разных морфо-экологических групп на аккумуляцию углерода в лесных почвах // Вопросы лесной науки. 2020. Т. 3. № 2. С. 1–20.
- Демаков Ю.П., Исаев А.В., Нуреев Н.Б., Митякова И.И. Границы и причины вариабельности запасов гумуса в почвах лесов Среднего Поволжья // Вестник Поволжского государственного технологического университета. Сер. Лес. Экология. Природопользование. 2018. № 3. С. 30–49. https://doi.org/10.15350/2306-2827.2018.3.30
- Евстигнеев О.И., Федотов Ю.П., Кайгородова Е.Ю. Природа Неруссо-Деснянского Полесья. Брянская область. Редкие растения. Библ. 49, илл.223. Брянск: Десна, 2000. 159 с.
- Киселева Ю.А. Особенности формирования почв полесий на примере заповедника “Брянский лес” (вновь к вопросу о буроземо- и подзолообразовании) // Роль почв в биосфере. Тр. Ин-та почвоведения МГУ РАН. М. 2002. Вып. 1. С. 56–78.
- Классификация и диагностика почв России. Смоленск: Ойкумена. 2004. 342 с.
- Лукина Н.В., Гераськина А.П., Горнов А.В., Шевченко Н.Е., Куприн А.В., Чернов Т.И., Чумаченко С.И., Шанин В.Н., кузнецова А.И., Тебенькова Д.Н., Горнова М.В. Биоразнообразие и климаторегулирующие функции лесов: актуальные вопросы и перспективы исследований // Вопросы лесной науки. 2020. Т. 3. № 4. С. 1–90.
- Лукина Н.В., Гераськина А.П., Кузнецова А.И., Смирнов В.Э., Горнов А.В., Шевченко Н.Е., Тихоновa Е.В., Тебенькова Д.Н., Басова Е.В. Функциональная классификация лесов: актуальность и подходы к разработке // Лесоведение. 2021. №. 6. С. 566–580. https://doi.org/10.31857/S0024114821060085
- Лукина Н.В., Кузнецова А.И., Гераськина А.П., Смирнов В.Э., Иванова В.Н., Тебенькова Д.Н., Горнов А.В., Шевченко Н.Е., Тихонова Е.В. Неучтенные факторы, определяющие запасы углерода в лесных почвах // Метеорология и гидрология. 2022. №.10. С. 92–110.
- Распоряжение Министерства природных ресурсов и экологии РФ от 30 июня 2017 г. № 20-р “О методических указаниях по количественному определению объема поглощения парниковых газов” https://www.garant.ru/products/ipo/prime/doc/71612096/ (дата обращения 01.07.2021).
- Соколов Л.А. К вопросу классификации почвообразующих и подстилающих горных пород Брянского лесного массива // Вклад ученых и специалистов в национальную экономику. Брянск, 1998. Т. 2. 125 с.
- Стриганова Б.Р. Питание почвенных сапрофагов. М.: Наука, 1980. C. 8–15.
- Телеснина В.М., Курганова И.Н., Овсепян Л.А., Личко В.И., Ермолаев А.М., Мирин Д.М. Динамика свойств почв и состава растительности в ходе постагрогенного развития в разных биоклиматических зонах // Почвоведение. 2017. № 12. С. 1514–1534. https://doi.org/10.7868/S0032180X17120115
- Bauer D.F. Constructing confidence sets using rank statistics // J. Am. Statistical Association. 1972. V. 67. P. 687–690. https://doi.org/10.1080/01621459.1972.10481279
- Benjamini Y., Yekutieli D. The control of the false discovery rate in multiple testing under dependency // Annals of Statistics. 2001. V. 29. P. 1165–1188. https://doi.org/10.1214/aos/1013699998
- Cortes C., Vapnik V. Support-vector networks // Machine Learning. 1995. V. 20. № 3. P. 273–297.
- Cotrufo M.F., Ranalli M.G., Haddix M.L. Soil carbon storage informed by particulate and mineral-associated organic matter // Nat. Geosci. 2019. V. 12. P. 989–994. https://doi.org/10.1038/s41561-019-0484-6
- Curry J.P. Factors affecting the abundance of earthworms in soils. In Earthworm Ecology. Boca Raton: CRC Press FL, 1994.
- De Deyn G.B., Cornelissen J.H., Bardgett R.D. Plant functional traits and soil carbon sequestration in contrasting biomes // Ecology Lett. 2008. V. 11. № 5. P. 516–531.
- Eldridge D.J., Guirado E., Reich P.B. et al. The global contribution of soil mosses to ecosystem services. // Nat. Geosci. 2023. V. 16. P. 430–438. https://doi.org/10.1038/s41561-023-01170-x
- Ferri F.J., Pudil P., Hatef M., Kittler J. Comparative study of techniques for large-scale feature selection // Pattern Recognition in Practice IV. 1994. P. 403–413.
- Huang W., Gonzalez G., Zou X. Earthworm abundance and functional group diversity regulate plant litter decay and soil organic carbon level: A global meta-analysis // Appl. Soil Ecology. 2020. V. 150. P. 1–15.
- Ilich A.R., Misiuk B., Lecours V., Murawski S.A. MultiscaleDTM: An open-source R package for multiscale geomorphometric analysis // Transactions in GIS. 2023. V. 27. №. 4. https://doi.org/10.1111/tgis.13067
- Kasimir Å., He H., Jansson P-E., Lohila A., Minkkinen K. Mosses are important for soil carbon sequestration in forested peatlands // Front. Environ. Sci. 2021. V. 9. P. 680430. https://doi.org/10.3389/fenvs.2021.680430
- Kuznetsova A.I., Geraskina A.P., Lukina N.V., Smirnov V.E., Tikhonova E.V., Shevchenko N.E., Gornov A.V., Ruchinskaya E.V., Tebenkova D.N. Linking vegetation, soil carbon stocks, and earthworms in upland coniferous–broadleaf forests // Forests. 2021. V. 12. P. 1179. https://doi.org/10.3390/f12091179
- Liu Y., Shangguan Z., Deng L. Vegetation type and soil moisture drive variations in leaf litter decomposition following secondary forest succession // Forests. 2021. V. 12. P. 1195. https://doi.org/10.3390/f12091195
- Maes S.L., Blondeel H., Perring M.P., Depauw L., Brūmelis G., Brunet J., Verheyen K. Litter quality, land-use history, and nitrogen deposition effects on topsoil conditions across European temperate deciduous forests // Forest Ecology and Management. 2019. V. 433. P. 405–418.
- Prescott C.E., Zabek L.M., Staley C.L., Kabzems R. Decomposition of broadleaf and needle litter in forests of British Co-lumbia: influences of litter type, forest type, and litter mixtures // Can. J. Forest Res. 2000. V. 30. P. 1742–1750.
- R Core Team R: A Language and Environment for Statistical Computing. R Foundation for Statistical Computing. Vienna, 2023. URL: https://www.R-project.org/ (дата обращения 03.10.2023).
- Ryzhova I.M., Podvezennaya M.A., Telesnina V.M. assessment of carbon stock and CO2 production potential for soils of coniferous-broadleaved forests // Eurasian Soil Science. 2023. V. 56. P. 1317–1326. https://doi.org/10.1134/S1064229323601166
- Semenov V.M., Lebedeva T.N., Zinyakova N.B. dependence of soil organic matter and plant residues decomposition on temperature and moisture in the long-term incubation experiments // Eurasian Soil Science. 2022. V. 55. P. 926–939. https://doi.org/10.1134/S1064229322070080
- Telesnina V.M., Semenyuk O.V., Bogatyrev L.G. Litters and living ground cover as informational characteristics of biogeocenoses for the small-leaved forests in moscow oblast forests // Eurasian Soil Science. 2023. V. 56. P. 841–853. https://doi.org/10.1134/S1064229323600513
- Weihs C., Ligges U., Luebke K., Raabe N.R. analyzing german business cycles // Data Analysis and Decision Support. Berlin: Springer-Verlag, 2005. P. 335–343.
- Wiesmeier M., Urbanski L., Hobley E., Lang B., von Luetzow M., Marin-Spiotta E., van Wesemael B., Rabot E., Ließ M., Garcia-Franco N., Wollschläger U., VogelfIngrid H.-J., Kögel-Knabner I. Soil organic carbon storage as a key function of soils – a review of drivers and indicators at various scales // Geoderma. 2019. V. 333. P. 149–162.
- World Reference Base for Soil Resources 2014. International soil classification system for naming soils and creating legends for soil maps. World Soil Resources Reports / IUSS Working Group. Rome: FAO, 2015. 203 p.
Supplementary files





